1/17
Name | Mastery | Learn | Test | Matching | Spaced | Call with Kai |
|---|
No analytics yet
Send a link to your students to track their progress
d/dx sin(x)
cos(x)
d/dx cos(x)
-sin(x)
d/dx tan(x)
sec²(x)
d/dx cot(x)
-csc²(x)
d/dx sec(x)
sec(x)tan(x)
d/dx csc(x)
-csc(x)cot(x)
Integrate cos(x) dx
sin(x) +c
Integrate sec²(x) dx
tan(x) +c
Integrate sec(x)tan(x) dx
sec(x) +c
Integrate sin(x) dx
-cos(x) +c
Integrate csc²(x) dx
-cot(x)+c
Integrate csc(x)cot(x) dx
-csc(x) +c
Integrate tan(x) dx
-ln|cos(x)| +c
Integrate cot(x) dx
ln|sin(x)| +c
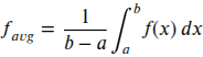
Average Value of a Function (from point a to b) Formula
Integral from a to b of f(x) dx divided by (b-a)

d/dx arcsin(x)
1 / sqrt(1-x²)
d/dx arccos(x)
-1 / sqrt(1-x²)
d/dx arctan(x)
1 / 1+x²