Organic Chemistry functional groups, Organic Chemistry: Functional Groups

0.0(0)
studied byStudied by 0 people
full-widthCall with Kai
GameKnowt Play
learnLearn
examPractice Test
spaced repetitionSpaced Repetition
heart puzzleMatch
flashcardsFlashcards
Card Sorting

1/27

encourage image

There's no tags or description

Looks like no tags are added yet.

Study Analytics
Name
Mastery
Learn
Test
Matching
Spaced

No study sessions yet.

28 Terms

1
New cards

Alcohol

-OH (hydroxy group)

<p>-OH (hydroxy group)</p>
2
New cards

Aldehyde

C=O (carbonyl group with hydrogen

<p>C=O (carbonyl group with hydrogen</p>
3
New cards

Alkane

single bond (not functional group)

<p>single bond (not functional group)</p>
4
New cards

Alkene

double bond

<p>double bond</p>
5
New cards

Alkyne

triple bond

<p>triple bond</p>
6
New cards

Amide

-CONH2, -CONHR, -CONR2

<p>-CONH2, -CONHR, -CONR2</p>
7
New cards

Amine

-NH2 (amino group)

<p>-NH2 (amino group)</p>
8
New cards

Anhydride

knowt flashcard image
9
New cards

Arene

aromatic ring

<p>aromatic ring</p>
10
New cards

Carboxylic acid

-COOH

<p>-COOH</p>
11
New cards

Ester

-COOR

<p>-COOR</p>
12
New cards

Ether

-OR (alkoxy group)

<p>-OR (alkoxy group)</p>
13
New cards

Ketone

-C=O (carbonyl group)

<p>-C=O (carbonyl group)</p>
14
New cards

Aldehyde

knowt flashcard image
15
New cards

Halide

-F

- Cl

- Br

- I

<p>-F</p><p>- Cl</p><p>- Br</p><p>- I</p>
16
New cards

hydroxyl

R-OH

<p>R-OH</p>
17
New cards

Carbonyl

C=O

<p>C=O</p>
18
New cards

Imine

C=N

<p>C=N</p>
19
New cards

Nitrile

C triple bond N

<p>C triple bond N</p>
20
New cards

Ketone

RCOR

<p>RCOR</p>
21
New cards

Sulfoxide

knowt flashcard image
22
New cards

Thiol

R-SH

<p>R-SH</p>
23
New cards

Sulfide

R-S-R

<p>R-S-R</p>
24
New cards

Disulfide

R-S-S-R

<p>R-S-S-R</p>
25
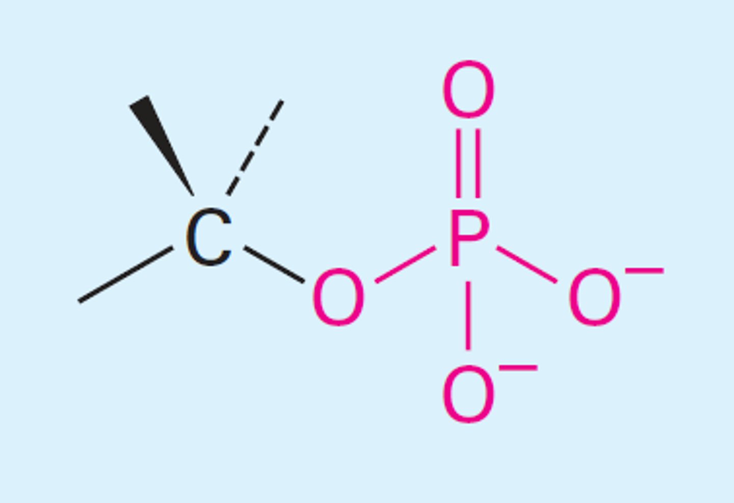
New cards

Monophosphate

knowt flashcard image
26
New cards

Diphosphate

knowt flashcard image
27
New cards

Thioester

R-C(=O)-S-R

<p>R-C(=O)-S-R</p>
28
New cards

Acid Chloride

R-C=O-Cl

<p>R-C=O-Cl</p>