1/25
Looks like no tags are added yet.
Name | Mastery | Learn | Test | Matching | Spaced | Call with Kai |
|---|
No study sessions yet.
Converging lens
a convex lens in which light rays that enter it parallel to its axis converge at a single point on the opposite side
Converging Mirror
a concave mirror in which light rays that strike it parallel to its axis converge at one or more points along the axis
Corner Reflector
an object consisting of two mutually perpendicular reflecting surfaces, so that the light that enters is reflected back exactly parallel to the direction from which it came
Critical Angle
incident angle that produces an angle of refraction of 90º
Dispersion
spreading of white light into its full spectrum of wavelengths
Diverging lens
a concave lens in which light rays that enter it parallel to its axis bend away (diverge) from its axis
Diverging mirror
a convex mirror in which light rays that strike it parallel to its axis bend away (diverge) from its axis
Fiber optics
transmission of light down fibers of plastic or glass, applying the principle of total internal reflection
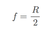
focal length
distance from the center of a lens or curved mirror to its focal point
focal point
for a converging lens or mirror, the point at which converging light rays cross; for a diverging lens or mirror, the point from which diverging light rays appear to originate
geometric optics
part of optics dealing with the ray aspect of light
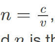
index of refraction
for a material, the ratio of the speed of light in vacuum to that in the material

law of reflection
angle of reflection equals the angle of incidence
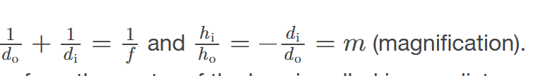
magnification
ratio of image height to object height
mirror
smooth surface that reflects light at specific angles, forming an image of the person or object in front of it
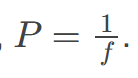
power
inverse of focal length

rainbow
dispersion of sunlight into a continuous distribution of colors according to wavelength, produced by the refraction and reflection of sunlight by water droplets in the sky
ray
straight line that originates at some point
real image
image that can be projected
refraction
changing of a light ray’s direction when it passes through variations in matter
virtual image
image that cannot be projected
zircon
natural gemstone with a large index of refraction
speed of light in a vacuum
the maximum speed at which light travels in empty space, approximately 299,792 kilometers per second (km/s)

Snell’s Law
a principle that relates the angle of incidence and the angle of refraction when light passes between different media, defined by the equation n1 sin(θ1) = n2 sin(θ2).

Thin lens equations
formulas that describe the relationship between the object distance, image distance, and focal length of a thin lens, including the equation ( \frac{1}{f} = \frac{1}{do} + \frac{1}{di} ).

Image length
half the radius of curvature.The distance from the lens to the image formed by the lens.
