1/15
Looks like no tags are added yet.
Name | Mastery | Learn | Test | Matching | Spaced |
|---|
No study sessions yet.

What is this equation for and define the terms
Percent removal for type I sedimentation
P=Percent of particles removed
Vs=settling velocity
Vo=overflow velocity/rate

What is this equation for and define the terms
Overflow velocity/rate for sedimentation
Vo=overflow velocity/rate
h=height
td=detention time
Q=flow rate
V=volume of basin
I=length of basin
w=width
As=surface area of basin

What is this equation for and define the terms
Removal percentage for Type II sedimentation settling column
Rₜ₀ = Total percent solids removal at settling time t0t_0t0
Rₐ, Rb, Rc, ... = Removal percentages at different depths
H₁, H₂, ... = Heights between isoconcentration lines (m)
H = Total column height (m)

What is this equation for and define the terms
Head loss through filter media (granular media filtration)
hL=head loss through filter
va=approach velocity
D=depth of filter bed
phi=shape factor of particles
g=acceleration due to gravity
epsilon=porosity
CD=Coefficient of drag
f=volume fraction of each media layer
dg=geometric mean diameter of particles

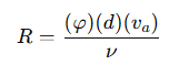
What is this equation for and define the terms
Resistance for granular media filtration
R = Resistance to flow through media (dimensionless or in m⁻¹)
φ (phi) = Shape factor
d = Particle diameter (m)
va = Approach velocity (m/s)
ν (nu) = Kinematic viscosity of water (m²/s

What is this equation for and define the terms
Effective particle diameter (granualar media filtration)

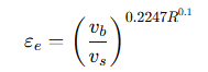
What is this equation for and define the terms
porosity correction (granular media filtration)
εₑ = Expanded bed porosity
vb = Backwash velocity (m/s)
vs = Settling velocity (m/s)
R = Dimensionless Reynolds-like parameter (empirical exponent)

What is this equation for and define the terms
Stokes law for settling velocity (type I sedimentation)
vₛ = Particle settling velocity (m/s)
g = Acceleration due to gravity (9.81 m/s²)
ρₚ = Particle density (kg/m³)
ρw = Water density (kg/m³)
dₚ = Particle diameter (m)
μ = Dynamic viscosity of water (Pa·s)

What is this equation for and define the terms
Overflow velocity/rate for sedimentation (alt form)
Ac = Cross-sectional area of settling tank (m²)
H = Height of column (m)
ti = Time to reach bottom (s or d)

What is this equation for and define the terms
Geometric mean particle diameter (granular media filtration)
dg = Geometric mean diameter (m)
d₁, d₂ = Lower and upper particle diameters in the size range (m)

Which color of equations is for Granular Media Filtration
Blue

Which color of equations is for Type II sedimentation
Red

Which color of equations is for Type I Sedimentation
Yellow

Given this flow balance equation for ion exchange, what is the mass balance equation
