1/124
Name | Mastery | Learn | Test | Matching | Spaced | Call with Kai |
|---|
No analytics yet
Send a link to your students to track their progress
Endogene Variable
Eine Variable, die von anderen Variablen im Modell abhängt und damit modellendogen bestimmt wird. Zudem beeinflusst sie andere Variablen im Modell.
Exogene Variable
Eine Variable, die innerhalb des Modells nicht erklärt wird, sondern als gegeben angenommen wird. Sie beeinflusst andere Variablen im Modell.
Rezession
die Produktion einer Volkswirtschaft schrumpft zwei Quartale in Folge im Vergleich zum Vorjahr
Nominal
“zu laufenden Preisen gemessen”
Nominale Größen sind in den Preisen der gerade betrachteten Periode
Das nominale BIP
“BIP in jeweiligen Preisen”
ist die Summe aller verkauften Endprodukte, bewertet zu den jeweiligen Preisen, d.h. zu den Preisen der gerade betrachteten Periode
Das Nominale BIP kann aus zwei Gründen zunehmen:
1. Die Produktion der meisten Güter nimmt im Zeitablauf zu.
2. Aber auch die Preise der meisten Güter steigen
Real
“zu konstanten Preisen gemessen (inflationsbereinigt)”
Reale Größen bereinigen nominale Größe um die Preissteigerung über die Zeit
Das reale BIP
“BIP zu konstanten Preisen” oder “BIP in Preisen des Basisjahres”
gibt die Summe aller verkauften Endprodukte, bewertet zu konstanten (nicht zu den jeweiligen) Preisen an
nominales BIP korrigiert um die Inflationsrate
BIP
Bruttoinlandsprodukt ist ein Maß für die gesamtwirtschaftliche Produktion in einem bestimmten Zeitraum
Es gibt drei Wege zur Bestimmung des BIP:
1. Entstehungsseite: Das BIP erfasst die gesamte Wertschöpfung aller Waren und Dienstleistungen für den Endverbrauch, die in einem bestimmten Zeitraum in einem Land hergestellt werden.
2. Verteilungsseite: Das BIP ist die Summe aller Einkommen in einem bestimmten Zeitraum in einem Land.
▪Y = Arbeitseinkommen der Inländer: d.h. Löhne
▪ K = Kapitaleinkommen: Unternehmens- und Vermögenseinkommen
▪ T(ind) - Z = Indirekte Steuern abzüglich staatlicher Subventionen
▪ A = Abschreibungen
▪ Einnahmen der Ausländer im Inland abzüglich der Einnahmen der Inländer im Ausland
3. Verwendungsseite: Das BIP entspricht dem Wert aller Ausgaben in einem bestimmten Zeitraum in einem Land, also der gesamtwirtschaftlichen Nachfrage.
▪ C = Private Konsumausgaben: Von den Konsumenten gekaufte Güter und Dienstleistungen
▪ G = Konsumausgaben des Staates (ohne Sozialtransfers): Ausgaben für öffentliche Güter
▪ I = Bruttoinvestitionen
▪ X - IM = Außenbeitrag: Exporte - Importe
BIP ein unvollkommener Indikator?
−Marktverzerrungen, z.B. unfreiwillige Arbeitslosigkeit
− alle Aktivitäten ohne Marktpreise werden nur unvollkommen erfasst
− ggf. Verbrauch von (Umwelt-)Ressourcen wird nicht erfasst
Nettoinlandsprodukt
=Bruttoinladsprodukt - Abschreibungen
Bruttonationaleinkommen (BNE)
“Inländerkonzept”
Einkommen aller Inländer (engl. GNP)
BNE=BIP+Saldo der Primäreinkommen
Saldo Primäreinkommen
im Ausland erzielte Primäreinkommen der Inländer abzüglich im Inland erzielte Primäreinkommen der Ausländer
Nettonationaleinkommen (NNE)
entspricht den verfügbaren Ressourcen aller Inländer inkl. Staat
NNE= BNE - Abschreibungen
Verfügbares Einkommen der Haushalte
gibt Auskunft über das Nettoeinkommen, das für Konsum und Ersparnis zur Verfügung steht
=NNE zu Marktpreisen +Saldo Sekundäreinkommen
Volkseinkommen
“NNE zu Faktorpreisen”
berechnet sich aus Nettonationaleinkommen minus Produktions- und Importabgaben (indirekte Steuern) abzgl. Subventionen
=NNE - T(ind) + Z
Arbeitnehmerentgeld
(Einkommen aus unselbstständiger Arbeit)
Volkseinkommen – (Unternehmens- und Vermögenseinkommen).
=Volkseinkommen - Einkommen aus Unternehmertätigkeit - Zins- und Mieteinkünfte
Der BIP-Deflator
ist eine sogenannte Indexzahl – sie wird in der Regel für ein Basisjahr (in Deutschland aktuell 2020) gleich 100 gesetzt
Die Wachstumsrate des BIP-Deflators entspricht der Inflationsrate

Die Wachstumsrate des (realen) BIP
hier: Y = reales BIP

Der Verbraucherpreisindex (VPI)
misst den Durchschnittspreis aller Konsumgüter. Früher wurde er als Preisindex der Lebenshaltung bezeichnet
Inflation
ist ein anhaltender Anstieg des allgemeinen Preisniveaus
Die Inflationsrate (π)
“Wachstumsrate des Preisniveaus (in %)"
bezeichnet die prozentuale Veränderung des Preisniveaus von einer Periode t zur nächsten Periode t+1:
Deflation
ist ein anhaltender Rückgang des allgemeinen Preisniveaus; dies entspricht einer negativen Inflationsrate
Hedonischer Preisindex
Der Versuch, die Inflationsrate um Preissteigerungen zu bereinigen, die auf Qualitätsverbesserungen beruhen.
Er behandelt Güter als eine bestimmte Mischung von Charakteristika und versucht, die mit einem bestimmten Produkt verbundenen nutzenstiftenden Eigenschaften der unterschiedlichen Charakteristika zu erfassen.
…versucht, Effekte von Qualitätsverbesserungen (Nutzengewinn) aus dem Preisindex herauszurechnen
(Effekt der) Änderung einer Variable:
partielle Ableitung
Güternachfrage (Z)
lässt sich wie folgt darstellen: Z ≡ C + I + G + X - IM
In einer geschlossenen Volkswirtschaft mit X = IM = 0, gilt: Z ≡ C + I + G
(Effekt der) Änderung mehrere Variablen:
totales Differential (Summe aller partiellen Ableitungen)
Gleichung für den Gütermarkt
Y = c0 + c1(Y - T) + I + G
Autonomer Konsum
Der Teil des Konsums, der unabhängig von der Höhe des Einkommens ist
Marginale Konsumneigung
Der marginale Effekt (c1), den eine zusätzliche Einheit verfügbares Einkommen auf den Konsum hat.
Marginale Sparneigung
Der marginale Effekt (1-c1), den eine zusätzliche Einheit verfügbares Einkommen auf die Ersparnis hat.
Zusammenhang zwischen marg. Sparquote (s) und marg. Konsum (c1)
c1 + s =1
Multiplikator
Das Verhältnis der Änderung einer endogenen Variablen zur Änderung einer exogenen Variablen (etwa dem Anstieg der Produktion relativ zum Anstieg der Staatsausgaben).
Steuermultiplikator
(od. T steigt um eine Einheit)
▪ Zunächst Gleichung nach Y auflösen:
Y = 1 /(1−𝑐1) ∗ (𝑐0 − 𝑐1 ∗ 𝑇 + 𝐼 + 𝐺)
▪ Ableiten nach T:
𝜕𝑌/𝜕𝑇 = − 𝑐1 /1 − 𝑐1
▪ Der Steuermultiplikator gibt an, wie stark die Produktion bei einer Erhöhung der Steuern um eine marginale Einheit zurückgeht.
▪ Je größer die marginale Konsumneigung c1, desto stärker geht die Produktion zurück.
▪ Wirkungskette: T↑ → Yv↓ → C↓ → Z↓ → Y↓ → Yv↓ usw.
Staatsausgabenmultiplikator
▪ Partielle Ableitung nach G: 𝜕𝑌/ 𝜕𝐺 = 1/ 1−𝑐1
▪ Eine Veränderung der Staatsausgaben wirkt sich stärker auf die Einkommen aus als eine Veränderung der Steuern. ▪ Dies ist der Fall, da G sofort nachfragewirksam ist und T die Produktion nur indirekt über den Konsum beeinflusst
Haavelmo-Theorem
1.Nach Y auflösen
2. T durch G ersetzen
3.Partielle Ableitung nach G
▪ Von einer Erhöhung der Staatsausgaben G, die vollständig über zusätzliche Steuern T finanziert wird, geht eine Erhöhung des Einkommens (bzw. der Produktion) Y im neuen Gleichgewicht aus, die so groß ist wie die Erhöhung der Staatsausgaben bzw. der zu ihrer Finanzierung notwendigen Steuererhöhung, also: ΔY = ΔG = ΔT.
▪ Also kann der Staat das gesamtwirtschaftliche/Inlandsprodukt erhöhen, indem er mehr Steuern erhebt und diese Einnahmen sofort wieder voll ausgibt (so genannte Budgetverlängerung).
Bestandsgrößen
werden zu einem bestimmten Zeitpunkt gemessen
(z.B Vermögen; Staatsverschuldung)
Stromgrößen
werden pro Zeiteinheit gemessen
(z.B Ersparnis; Bufgetdefizit)
Ersparnis
ist der Teil des Einkommens nach Abzug der Steuern, der nicht ausgegeben wird. (Stromgröße)
Motive der Geldhaltung (nach Keynes):
Transaktionsmotiv
man braucht Geld, um Güter zu kaufen
Spekulationsmotiv
Anlage in festverzinslichen Wertpapieren ergibt Zinseinnahmen (in Abhängigkeit vom Zinssatz)
Geldpolitik
Alle Maßnahmen, mit denen die Zentralbank den Geldumlauf und die Geld- und Kreditversorgung der Wirtschaft steuert
Fiskalpolitik
Die Festlegung von Steuern und Staatsausgaben durch die Regierung
Expansive Geldpolitik (Offenmarktoperation)
Erhöhung der Geldmenge, Zinssenkung Zentralbank kauft Wertpapiere im Tausch gegen Zentralbankgeld
Effekt: Zinssatz sinkt, da Nachfrage nach Wertpapieren steigt
Kontraktive bzw. restriktive Geldpolitik (Offenmarktoperation)
Verringerung der Geldmenge, Zinserhöhung, Zentralbank verkauft Wertpapiere
Effekt: Zinssatz steigt, da Nachfrage nach Wertpapieren sinkt
Geldmarktgelichgewicht
M=PYL(i)
Gleichung stellt das Gleichgewicht auf dem Geldmarkt dar, indem die Geldnachfrage gleich dem Geldangebot der Zentralbank ist (Ms=Md)
Die Geldnachfrage hängt vom Preisniveau, der Produktion und einer Funktion des Effektivzinses für Wertpapiere ab (Md = PYL(i))
PY=Nominaleinkommen,
L(i)= Liquiditätspräferenz in Abhängigkeit des Zinssatzes i
▪ Das Preisniveau P beeinflusst die Geldnachfrage MD positiv: Je höher die Preise, desto höher ist die Nachfrage nach Geld, um Transaktionen tätigen zu können.
▪ Das Realeinkommen Y beeinflusst die Geldnachfrage MD positiv: Je höher das Einkommen, desto mehr Transaktionen werden durchgeführt, da durch höheres Einkommen auch die Nachfrage steigt.
▪ Die Funktion des Effektivzinses L(i) beeinflusst die Geldnachfrage Md negativ: Je höher der Zins, desto höher die Opportunitätskosten der Bargeldhaltung (bei einem höherem Zinsniveau wird attraktiver, in Wertpapiere zu investieren)

Erläutern Sie die Situation auf dem Geldmarkt verbal und grafisch, wenn der Zinssatz höher ist als der gleichgewichtige Zinssatz.
i > i0 / Ms=M exogen / Md abhängig von i
Bei gegebenem Geldangebot, Preisniveau und Nominaleinkommen ist der Geldmarkt bei Zinssatz i1 nicht im Gleichgewicht.
Bei i1 ist die Geldnachfrage Md geringer als das Geldangebot Ms. Es herrscht ein Überschussangebot an Geld.
Für die Wirtschaftssubjekte ist es bei einem Zins über den Gleichgewichtszins i0 attraktiver Wertpapiere zu halten. Daher ist das Überschussangebot an Geld gleichbedeutend mit einer Überschussnachfrage nach Wertpapieren.
Aufgrund der Überschussnachfrage nach Wertpapieren steigen die Wertpapierkurse (-preise) und somit sinkt die effektive Verzinsung. Dies dauert an bis die Überschussnachfrage abgebaut ist.
Mit sinkendem Zins steigt wiederum die Geldnachfrage bis das Gleichgewicht erreicht ist.


Darstellung des Geldmarktes:
Nehmen Sie an, dass das Einkommen Y in der Volkswirtschaft steigt. Erläutern Sie verbal und grafisch die Auswirkungen auf die Geldnachfrage und den Zinssatz!
▪ Mit steigendem Einkommen steigt die Konsumnachfrage und es werden mehr Transaktionen durchgeführt.
▪ Aufgrund der höheren gewünschten Transaktionskasse steigt die Geldnachfrage (A -> B). ▪ In B ist Md > Ms, der Geldmarkt ist also nicht im Gleichgewicht. Es herrscht eine Überschussnachfrage nach Geld.
▪ Wirtschaftssubjekte verkaufen Wertpapiere, um an Geld zu kommen. Hierdurch entsteht ein Überschussangebot an Wertpapieren auf dem Finanzmarkt und die Wertpapierkurse sinken.
▪ Durch die fallenden Wertpapierkurse steigt die Effektivverzinsung. Damit sinkt die gesamtwirtschaftliche Geldnachfrage bis Ms = Md (B -> C).

Zinssteuerung
Bei einer direkten Zinssteuerung legt die Zentralbank einen bestimmten Zinssatz i0 fest; die Zentralbankgeldmenge passt sich dann endogen an die Geldnachfrage an. Das Geldangebot wird endogen bestimmt.
▪ Zentralbank bestimmt i
▪ Geldmenge wird von Zentralbank benutzt um i konstant zu halten
▪ Ms ist hier endogen
▪ LMZins : i=i0

Geldmengensteuerung
Bei einer Geldmengensteuerung legt die Zentralbank die Geldmenge fest; der Zinssatz bestimmt sich endogen aus Geldangebot und Geldnachfrage.
▪ Zentralbank bestimmt Ms
▪ i ist endogen und bringt Geldmarkt ins Gleichgewicht bis Ms = Md
▪ LMGeld : M/P= YL(i)
Veränderungen im Modell: Geldmarkt
Gehen Sie von einer Geldmengensteuerung seitens der Zentralbank aus. In der Volkswirtschaft kommt es nun durch einen externen Schock zu einer Absenkung des allgemeinen Preisniveaus. Erläutern Sie verbal und zeigen Sie grafisch, was auf dem Geldmarkt passiert.
P↓
▪ Mit dem Rückgang des allgemeinen Preisniveaus sinkt das nominal Einkommen PY
▪ Aufgrund der geringeren gewünschten Transaktionskasse sinkt die Geldnachfrage (A -> B).
▪ In B ist Md < Ms, der Geldmarkt ist also nicht im Gleichgewicht. Es herrscht ein Überschussangebot an Geld.
▪ Wirtschaftssubjekte kaufen vermehrt Wertpapiere, da der Zins über dem Gleichgewichtszins liegt. Die Wertpapierkurse steigen.
▪ Durch die steigenden Wertpapierkurse sinkt die Effektivverzinsung. Damit steigt die gesamtwirtschaftliche Geldnachfrage bis Ms = Md (B -> C).

Gütermarktgleichgewicht
Auf dem Gütermarkt herrscht Gleichgewicht, falls die Produktion Y gleich der Güternachfrage Z ist.
Mit Y=Produktion,
I=Investition,
G=Staatsausgaben,
T=Steuern,
𝑐1=marginale Konsumneigung,
𝑐0 = autonomer Konsum.

IS-Kurve
Geometrischer Ort aller Kombinationen vom Zinssatz i und realem Einkommen (Produktion) Y, bei denen der Gütermarkt im Gleichgewicht ist (Güterangebot = Güternachfrage)
Sie hat einen fallenden Verlauf
LM-Kurve
Geometrischer Ort aller Kombinationen vom Zinssatz i und realem Einkommen (Produktion) Y, bei denen Geld- und Finanzmärkte im Gleichgewicht sind. (Geldangebot = Geldnachfrage)
Bei einer Zinssteuerung ist die LM-Kurve eine horizontale Gerade. Sie ist bestimmt durch den von der Zentralbank festgelegten Zinssatz.
Bei einer Geldmengensteuerung hat die LM-Kurve idR einen steigenden Verlauf.
Politik-Mix
Die Kombination von geld- und fiskalpolitischen Maßnahmen
Übersicht: Wirkung von Fiskal- und Geldpolitik

Nominalzins
Zinsen, die in einer Währungseinheit ausgedrückt werden.
Realzins
Zinsen, die in Einheiten eines Warenkorbs ausgedrückt werden.
Um den Realzins zu bestimmen, müssen wir vom Nominalzins die erwartete Inflationsrate abziehen.

Effektivverzinsung / Rendite
Der Quotient des tatsächlichen Ertrags eines Investments (Geldanlage/Wertpapier) und dem Preis des Investments.
Der tatsächliche Ertrag wird berechnet in Abhängigkeit von Laufzeit, Nominalwert, Nominalzins, Einmalzahlungen und Preis des Investments.
▪ iB … effektive Verzinsung der Wertpapiere
▪ PB … Preis der Wertpapiere
▪ NW … Nennwert / Rückzahlungsbetrag bei Fälligkeit
▪ i0 … Nominalzins

Risikoprämie (x)
Der Unterschied zwischen der Rendite einer unsicheren Anlage und der Rendite einer sicheren Anlage, der einen Anleger indifferent zwischen beiden Anlagen macht.
Kreditzins
Der Kreditzins ist der Zins der Banken, den Schuldner bei der Kreditaufnahme zahlen müssen.
Leitzins
Der Leitzins wird von der Zentralbank kontrolliert und ist der Zins, bei dem Banken sich von der Zentralbank Geld leihen können.
IS-LM-Modell Analyse (Üb4):
Nehmen Sie an, dass Südland seine Einkommenssteuer reduziert. Erläutern Sie grafisch und verbal die Auswirkungen dieser expansiven Fiskalpolitik auf Zinssatz, Geldmenge, Produktion und die Komponenten des BIP
Fall Geldmengensteuerung*
1.Grafisch
2.Verbal:
Gütermarkt:
▪ Bei der expansiver Fiskalpolitik wird für jedes Zinsniveau mehr nachgefragt (T↓ → Yv ↑ → C ↑ → Z ↑).
▪ Daher steigt auch die Produktion von Y0 auf Y1 und die IS-Kurve wird nach rechts verschoben (IS0 → IS1).
▪ Der Gütermarkt befindet sich in “B” im Gleichgewicht.
Geldmarkt:
“B” ist jedoch kein gesamtwirtschaftliches Gleichgewicht.
▪ Ein höheres Einkommen führt zu einer höheren Transaktionskassennachfrage und letztlich Geldnachfrage (Y ↑ → Md ↑).
▪ Da die Haushalte mehr Bargeld halten möchten, verkaufen sie Wertpapiere auf dem Finanzmarkt, deren Kurse sinken.
▪ Durch die gefallen WP-Kurse steigt die effektive Verzinsung (i ↑).
Erneute Reaktion auf Gütermarkt:
▪ Durch die steigenden Zinsen werden nun vermehrt Investitionen unattraktiv, die gesamtwirtschaftliche Nachfrage und damit auch die Produktion sinken (I ↓ → Z ↓ → Y ↓) (Y1 → Y2).
▪ Wir bewegen uns auf der IS1 bis wir das neue gesamtwirtschaftliche Gleichgewicht in “C” erreicht haben
Geldmarkt:
▪ Während das Einkommen sinkt, sinkt auch die Geldnachfrage.
▪ Mehr Wirtschaftssubjekte wollen nun wieder Wertpapiere kaufen.
▪ Damit wird das Überangebot an Wertpapieren abgebaut und der Wertpapierpreis sinkt langsamer bis in “C” wieder ein Gleichgewicht auf dem Geldmarkt herrscht.

IS-LM-Modell Analyse (Üb4):
Nehmen Sie an, dass Südland seine Einkommenssteuer reduziert. Erläutern Sie grafisch und verbal die Auswirkungen dieser expansiven Fiskalpolitik auf Zinssatz, Geldmenge, Produktion und die Komponenten des BIP
Fall Zinssteuerung*
1.Grafisch
2.Verbal:
Gütermarkt:
(In Klausur verbal in ganzen Sätzen erklären!)
▪ T↓ → Yv ↑ → C ↑ → Z ↑ → Y ↑ (Y0 → Y1 , IS nach rechts verschieben)
Geldmarkt:
▪ Y ↑ → Md ↑ → Nachfrage nach Bargeld ↑
→ Nachfrage nach WP < Angebot an WP → eigentlich müssten WP-Preise sinken, doch Zentralbank möchte i konstant halten. Daher müssen auch WP-Preise konstant bleiben.
→ ZB kauft WP → M ↑ → Geldmarkt im Gleichgewicht in “B”

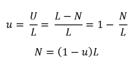
Die Arbeitslosenquote (u)
Quotient der Zahl der Arbeitslosen und der Zahl der Erwerbspersonen.
auch Arbeitslosenquote: Verhältnis von Arbeitslosen zu Erwerbspersonen
→ u=U/L
N=Beschäftigung(sniveau)*

Erwerbspersonen (L)
=Erwerbstätige (N) + Arbeitslose (U)
→ L = N + U
Reservationslohn
Der Lohn, bei dem der Erwerbstätige gerade indifferent ist zwischen Erwerbstätigkeit und Arbeitslosigkeit.
Preissetzungsgleichung (PS)
𝑃 = (1 + 𝜇)𝑊
Mit P=Preis, 𝜇=Marktmacht der Unternehmen/ Gewinnaufschlag(mü) und W=Lohn.
Annahme hinter der Preissetzungsgleichung
Y = A∙N … die Produktion benötigt nur einen Inputfaktor: Arbeit
mit A = 1 … die Produktivität liegt konstant bei 1
womit Y = N … Beschäftigung
▪ Die Kosten der Produktion sind ausschließlich Lohnkosten.
▪ Die Grenzkosten für eine zusätzliche Einheit Output Y sind die Lohnkosten W für eine zusätzliche Arbeitseinheit N.

Reallohn, der durch das Preissetzungsverhalten impliziert wird
Preissetzungsverhalten = Entscheidung der Unternehmen, wie sie ihre Preise festlegen
Ein höherer Gewinnaufschlag…
führt dazu, dass die Unternehmen ihre Preise bei gegebenen Nominallöhnen erhöhen.
Dies bedeutet aber gleichzeitig einen Rückgang des Reallohns (W/P)

Lohnsetzungsgleichung (WS)
W= Pe∗F(u,z)
Mit W=Lohn, 𝑃e=erwartetes Preisniveau, u=Arbeitslosenquote und z= Sammelvariable.
Sinkender Verlauf der Lohnsetzungskurve
Ein Anstieg der Arbeitslosenquote führt zu einem Sinken der Löhne.
▪ Je höher die Arbeitslosenquote, desto mehr Arbeitnehmer konkurrieren um eine ausgeschriebene Stelle.
▪ Die Wahrscheinlichkeit einen Job zu finden sinkt; die Verhandlungsposition der Arbeitnehmer wird schlechter und sie sind gezwungen, niedrigere Löhne zu akzeptieren.
▪ Die Lohnforderungen W sinken (bei konstantem Preisniveau P)
Annahme für das Gleichgewicht auf dem Arbeitsmarkt
Ein Gleichgewicht auf dem Arbeitsmarkt stellt sich dann ein, wenn der Reallohn, der im Rahmen der Lohnsetzung festgelegt wird, dem Reallohn entspricht, der durch die Preissetzung impliziert wird.
un = die gleichgewichtige Arbeitslosenquote wird natürliche Arbeitslosenquote genannt
Zwei Annahmen dahinter:
▪ erstens haben wir Gleichgewicht auf dem Arbeitsmarkt unterstellt;
▪ zweitens haben wir angenommen, dass das tatsächliche Preisniveau dem erwarteten Preisniveau entspricht

Natürliche Arbeitslosenquote (un)
Die Arbeitslosenquote, bei der Preis- und Lohnentscheidungen miteinander konsistent sind.
Das heißt, die erwarteten Preise entsprechen den tatsächlichen Preisen.

Veränderungen
Zeigen Sie anhand einer grafischen Darstellung des Arbeitsmarktes und diskutieren Sie kurz, wie sich die natürliche Arbeitslosenquote ändert, wenn das Arbeitslosengeld gesenkt wird
z↓
1.Grafisch
2.Verbal
▪ Ein niedrigeres Arbeitslosengeld erhöht den Druck Arbeit zu finden (Reservationslohn sinkt).
▪ Bei gegebener Arbeitslosigkeit würde der Reallohn sinken. (Bei steigender Nachfrage, sinkt der W/P, aufgrund des Markzuwachs der Unternehmen (A→B))
▪ Um den Reallohn auf dem Niveau zu halten, das Unternehmen bereit sind zu zahlen, muss die natürliche Arbeitslosenquote sinken. (un→un’)
▪ Die Wirtschaft bewegt sich entlang der Geraden PS, von A nach A' (B→A’)
*Antwort gilt auch für den Fall: “immer weniger Arbeitnehmer gewerkschaftlich organisiert sind”

Phillipskurve
Die Kurve, die die empirische Beziehung zwischen Inflationsrate und Arbeitslosenquote abbildet.
Die ursprüngliche Phillipskurve erfasst die Beziehung zwischen Inflationsrate und Arbeitslosenquote. Die modifizierte Phillipskurve erfasst die Beziehung zwischen Veränderungen der Inflationsrate und Arbeitslosenquote.
Theta (θ)
Gewicht, welches angibt, wie stark die Inflationsrate der letzten Periode πt-1 bei der Bildung der Inflationserwartungen πe t berücksichtigt wird. (mit 0 ≤ θ ≤ 1)
“Erwartungsbildung”

Gesetz von Okun/ Okun’sches Gesetz
Definition:
Der (negative) Zusammenhang zwischen Produktionswachstum und der Veränderung der Arbeitslosenquote.
Formel:
Veränderung der Arbeitslosenquote gegenüber der Wachstumsrate des BIP
*Wenn sich das Wachstum des Bruttoinlandprodukts erhöht, sinkt die Arbeitslosigkeit.

Wachstumsrate des Produktionspotenzials (ḡY)
Produktionswachstumsrate, die benötigt wird, um eine konstante Arbeitslosenquote zu gewährleisten
ḡY = gA + gL
Ergibt sich aus dem Wachstum der Arbeitsproduktivität gA und dem Wachstum der Erwerbsbevölkerung gL , sofern Y = AN.
Koeffizient β
Maß für die Stärke des Effekts, den ein Anstieg des Produktionswachstums über das Wachstum des Produktionspotenzials hinaus auf die Arbeitslosenquote hat.
Wächst die Produktion stärker als normal, kommt es zu einem Rückgang der Arbeitslosenquote; im umgekehrten Fall steigt die Arbeitslosenquote an.

Produktionspotenzial /
Natürliches Produktionsniveau
Das Produktionsniveau, das sich bei natürlichen Beschäftigungsniveau ergibt, d.h. wenn die Arbeitslosenquote auf ihrem natürlichen Niveau liegt.
Statische Erwartungen
Die Bildung von Erwartungen, bei denen der Wert der aktuellen Periode auch für zukünftige Periode angenommen wird.
θ=1 // π et= (1-θ) π* + θ πt-1
→ π et= π t-1
Fest Verankerte Erwartungen
θ=0 // π et= (1-θ) π* + θ πt-1
→ π et= π*
Adaptive Erwartungen
Eine Methode, Erwartungen zu bilden, indem die Erwartungen (rückwärts gewandt) an Fehler aus der Vergangenheit angepasst werden.
*Individuen vergleichen ihre früheren Erwartungen mit der Realität und passen entsprechend an.
Rationale Erwartungen
Die Bildung von Erwartungen auf der Basis von Prognosen, die alle verfügbaren Informationen über die zukünftige Entwicklung der relevanten Variablen verwenden.
Im Durchschnitt (auf Basis des Erwartungswertes) sind die Erwartungen dann korrekt.
Konsistente Erwartungen
Die Bildung von Erwartungen unter perfekter Voraussicht.
PC-Kurve
Die Kurve, die die Phillipskurve (die Beziehung zwischen Inflationsrate und Arbeitslosenquote) abbildet und in ein Diagramm mit der Abweichung der tatsächlichen von der erwarteten Inflationsrate und dem realen Einkommen überträgt.
Sie hat einen steigenden Verlauf.
Outputlücke
Die Lücke, die sich zwischen Produktionspotenzial und tatsächlicher Produktion befindet.
Positive Outputlücke
Wenn die Produktion über dem Produktionspotenzial liegt
→ Inflation steigt → ZB würde Leitzins erhöhen, um Produktion zu dämpfen
IS-LM-PC-Modell
Übung 7/1a
Eine Volkswirtschaft, die durch das IS-LM-PC-Modell beschrieben werden kann, befindet sich in der Ausgangssituation im mittelfristigen Gleichgewicht. Gehen Sie davon aus, dass die Zentralbank eine Geldmengensteuerung betreibt und die Wirtschaftssubjekte statische Inflationserwartungen bilden
a) Nehmen Sie an, der Staat erhöht im Rahmen seiner Fiskalpolitik seine Ausgaben. Analysieren Sie die kurzfristigen Auswirkungen grafisch und verbal mit Hilfe des IS-LM-PC-Modells.
I. Ausgangssituation:
In der Ausgangssituation (A) befinden sich der Güter-, Geld- und Arbeitsmarkt im mittelfristigen GG.
Es besteht die Annahme; dass Y=Yn ist.
Die Inflationsrate ist im Punkt A konstant.
II. Erster Schock: Expansive Fiskalpolitik
Im ersten schock führt die ZB eine expansive Fiskalpolitik durch. Dadurch steigen die Staatsausgaben (G), die Güternachfrage (Z) und letztlich das Einkommen Y. (Yn → Y’)
Die IS-Kurve verschiebt sich nach rechts. (A→B)
Der Gütermarkt befindet sich nun wieder im GG. Um den Geldmarkt ebenfalls ins GG zu bringen, muss die Nachfrage nach Geld sinken.
Durch das gestiegene Einkommen Y ist die Nachfrage nach Geld Md ist auch gestiegen (Transaktionsmotiv).
In B also: Md>Ms
Überschussnachfrage nach Geld ist gleichbedeutend mit Überschussangebot an Wertpapieren, da die HH ihre WP verkaufen, um an Geld zu kommen.
Die WP-Kurse fallen und der Effektivzins steigt. (i↑)
Die Md ist gesunken (Spekulationsmotiv).
Da der Effektivzins (i) gestiegen ist, steigt auch der Realzins (r0 → r1).
Weniger Investitionen sind dadurch rentabel, weshalb sie Sinken und somit auch die Gesamtgüternachfrage Z und das Einkommen Y. (Y’ → Y’’)
Die Md sinkt soweit bis Md=Ms bei Y’’
Das neue GG liegt bei Y’’ im Punkt C.
Güter und Geldmarkt sind jetzt im GG, aber der Arbeitsmarkt noch nicht, da Y’’>Yn.
Wenn die ALQ größer ist als die natürliche ALQ, dann verbessert sich die Verhandlungsmacht der Arbeitnehmer und die Reallohnforderungen steigen.

IS-LM-PC-Modell
Übung 7/1a
Eine Volkswirtschaft, die durch das IS-LM-PC-Modell beschrieben werden kann, befindet sich in der Ausgangssituation im mittelfristigen Gleichgewicht. Gehen Sie davon aus, dass die Zentralbank eine Geldmengensteuerung betreibt und die Wirtschaftssubjekte statische Inflationserwartungen bilden
a.a) Nehmen Sie an, dass die Zentralbank anschließend eine expansive Geldpolitik durchführt. Ergänzen Sie ihre Grafik und beschreiben Sie die Auswirkungen der expansiven Geldpolitik
III. Zweiter Schock: Expansive Geldpolitik
Im zweiten Schock erhöht die Zentralbank die reale Geldmenge (Ms↑), wodurch das Angebot an Geld größer als die Nachfrage an Geld ist (Ms>Md).
Haushalte kaufen WP wegen überschüssigem Bargeld. Die Nachfrage nach WP ist im Überschuss. Damit steigen die WP-Kurse↑ und der Effektivzins (i) sinkt. Die Nachfrage nach Geld (Md) steigt nun wieder wegen des Spekulationsmotiv.
LM-Kurve verschiebt sich nach rechts (LM → LM‘).
Der Realzins (r) sinkt aufgrund des gesunkenen Effektivzins (i). Investitionen sind wieder rentabel. Die Gesamtgüternachfrage Z und das Einkommen Y steigen (r1 → r2).
Die Nachfrage nach Geld (Md) steigt bis Md=Ms bei Y’’ (Transaktionsmotiv).
Das neue GG von Geld und Gütermarkt liegt bei Y’’ im Punkt D.
Der Arbeitsmarkt ist nicht im GG, da die ALQ kleiner als die natürliche ALQ ist.
Die Verhandlungsmacht der Arbeitnehmer und die Reallohnforderungen steigen.

IS-LM-PC-Modell
Übung 7/1b
Eine Volkswirtschaft, die durch das IS-LM-PC-Modell beschrieben werden kann, befindet sich in der Ausgangssituation im mittelfristigen Gleichgewicht. Gehen Sie davon aus, dass die Zentralbank eine Geldmengensteuerung betreibt und die Wirtschaftssubjekte statische Inflationserwartungen bilden
b) Erläutern Sie die mittelfristigen Auswirkungen der Politikkombination aus a) auf die Inflation anhand der Phillipskurve. Nutzen Sie hierfür eine Grafik im (π,u)-Raum (Tragen Sie die Inflation π auf der Y-Achse und die Arbeitslosenquote u auf der X-Achse ab)
Ausgangsituation: beschreiben
Mittelfristiges Gleichgewicht in Punkt A:
▪ u=un
▪ Arbeitsmarkt im Gleichgewicht
▪ Inflationsrate konstant bei 𝜋0
Erster Schock: Expansive Fiskalpolitik (G↑)
▪ G↑ → Z↑ → Y ↑ →u ↓ (un→u1 ) →W ↑ → 𝜋 ↑ (𝜋0 → 𝜋1 ; Punkt B)
▪ Inflationserwartungen aktualisieren sich (𝜋 e =𝜋1 ) →PC-Kurve verschiebt sich nach oben
Zweiter Schock: Expansive Geldpolitik
▪ Ms ↑ → Ms >Md → Haushalte kaufen Wertpapiere (überschüssiges Bargeld) → Überschussnachfrage nach Wertpapieren → Wertpapierkurse ↑ → i ↓ → r ↓ → I ↑ →Z ↑ →Y ↑ →u ↓ (u1 →u2 ) →W ↑ → 𝜋 ↑ (𝜋1 → 𝜋2 ; Punkt C)
▪ Inflationserwartungen aktualisieren sich (𝜋e =𝜋2 ) →PC-Kurve verschiebt sich nach oben

Kaufkraftparität
(Purchasing Power Parity, PPP)
Die Hypothese, dass Arbitrage bei freiem Warenhandel zu gleichen Preisen für in- und ausländische Güter führt (das Gesetz des einheitlichen Preises).
“Lebensstandardsvergleich”
Lebensstandard /Produktion pro Kopf : BIP geteilt durch die Bevölkerungszahl
Humankapital
Kenntnisse und Fähigkeiten der Beschäftigten in einer Volkswirtschaft
Die Produktion je Beschäftigten (Y/N)
hängt sowohl von der physischen Kapitalintensität (K/N), als auch vom Bestand an Humankapital (H/N) ab. Die Produktionsfunktion lässt sich wie folgt modifizieren: *Bild
Die Produktion je Beschäftigten nimmt mit steigender Kapitalintensität und mit dem durchschnittlichen Ausbildungsniveau zu

Kapitalintensität
Bezeichnet die Menge des eingesetzten Kapitals je Beschäftigten (K/N)
*Kapitalstock/ Zahl der Erwerbstätigen
Skalenerträge
Eine Eigenschaft der aggregierten Produktionsfunktion. Skalenerträge geben die Veränderung der Produktion an, wenn alle Produktionsfaktoren um denselben Faktor erhöht (reduziert) werden.
Bei steigenden Skalenerträgen erhöht (reduziert) sich die Produktion um mehr als die Erhöhung (Reduzierung) der Produktionsfaktoren.
Bei konstanten Skalenerträge erhöht (reduziert) sich die Produktion um denselben Faktor.
Bei sinkenden Skalenerträgen wird die Produktion nur um einen kleineren Faktor gesteigert (reduziert).
Technischer/technologischer Fortschritt
Verbesserung im Stand der Technik
*Technischer Fortschritt kann so aufgefasst werden, dass er bei gegebenem Einsatz von Kapital und Arbeit mehr Produktion ermöglicht
gA= Rate des technischen Fortschritts
Höheres Wachstum kann zwei Ursachen haben:
Höhere Rate des technischen Fortschritts im Steady State: Je höher gA , desto höher ist im Steady State die Wachstumsrate der Produktion je Beschäftigten (gY/N = gA ).
Höhere Kapitalakkumulation, die zu stärkerem Wachstum entlang der Anpassung zum Steady State führt
Unter Annahme konstanter Skalenerträge lautet die Beziehung von Produktion je beschäftigten wie folgt:


Gleichung (1)
Beschreibt wie Kapital über Produktionsfunktion die Produktion bestimmt
*Für Zeitraum t unter Annahme, dass Bevölkerungsgröße, Erwerbsquote und Arbeitslosenquote konstant ist, zudem wird technologischer Fortschritt ignoriert