1/14
Looks like no tags are added yet.
Name | Mastery | Learn | Test | Matching | Spaced |
|---|
No study sessions yet.
Adenine (A)

Guanine (G)

Cytosine (C)

Uracil (U)

Thymine (T)

Ribose (Rib)

Glucose (Glc)

Galactose (Gal)

Fructose (Fru)


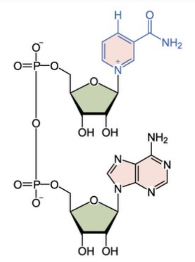
NAD+

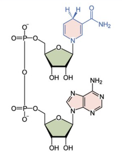
NADH

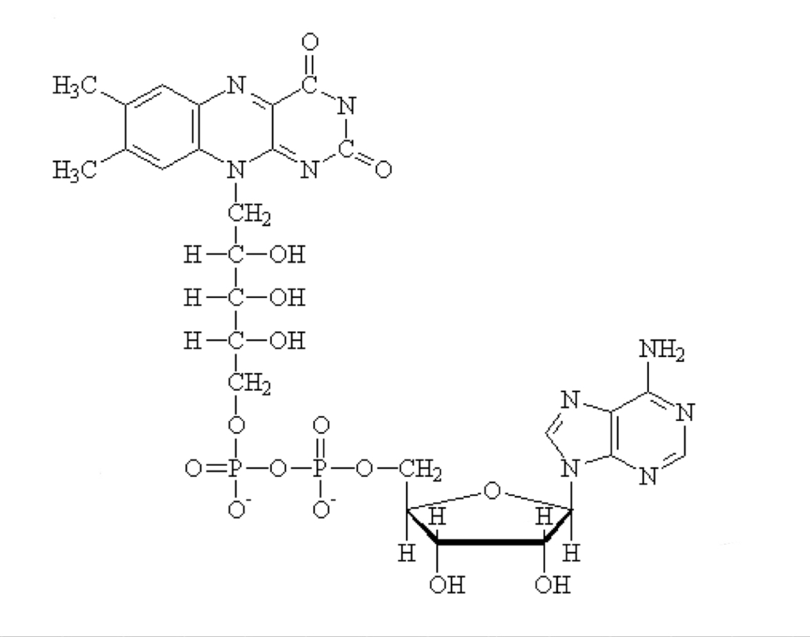
FAD

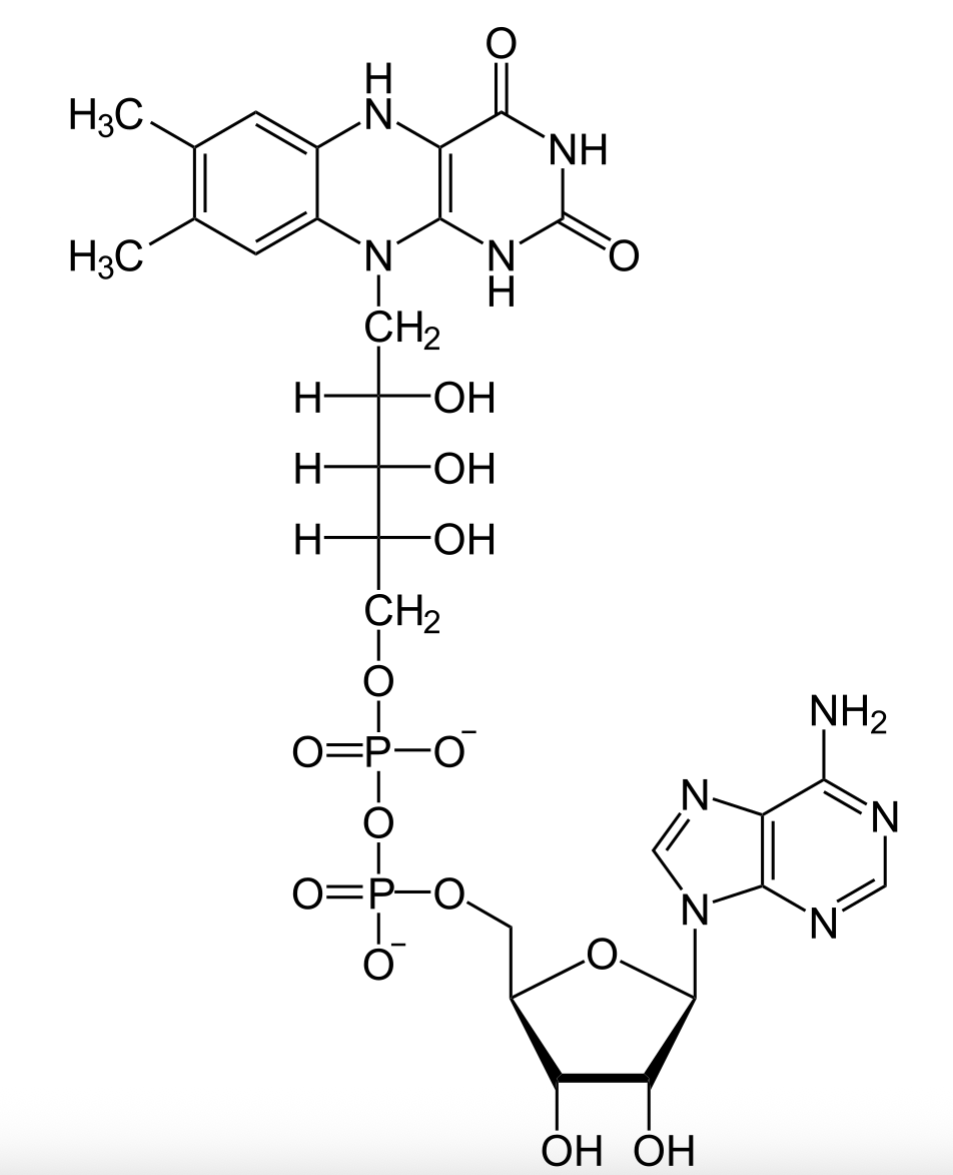
FADH2

NADP+

NADPH