1/24
Looks like no tags are added yet.
Name | Mastery | Learn | Test | Matching | Spaced | Call with Kai |
|---|
No study sessions yet.
The perfectly competitive firm represented in the graph on the right is experiencing a __________.
profit in the short run
WHAT YOU NEED TO KNOW:
The perfectly competitive firm represented in the graph on the right is experiencing a profit in the short run.
The firm will produce where marginal cost intersects marginal revenue. At that point, the marginal revenue is higher than average total cost which means the firm is making an economic profit. In the long run, these profits will attract other producers to this market and the price will fall until it equals the average total cost.

In the short run, the firm should:
Operate if price > average variable cost.
A firm in perfect competition earns profit if:
price is greater than average total cost
At which price in this graph is the perfectly competitive firm earning negative economic profit?
$250

As the market demand shifts to the left, how will the firm's level of output change?
The firm will decrease its output and suffer losses.

In perfect competition, when a firm is making positive economic profit in the short run, then new firms enter the market causing the market supply curve to __________ and the market price to __________.
shift rightward, decrease
WHAT YOU NEED TO KNOW:
In perfect competition, when a firm is making positive economic profit in the short run, then new firms enter the market causing the market supply curve to shift rightward and the market price to decrease.
Freedom of market entry and exit will ensure that in the long-run economic profits will be zero. As firms make economic profits, it will attract new entrants to this market and shift the supply curve to the right. This increase in supply pushes price lower until the long-run equilibrium price is established where all firms make zero economic profit.
Which graph best depicts an industry in which the firm's average costs decrease as the industry expands production?
The graph on the left
WHAT YOU NEED TO KNOW:
The graph on the left best depicts an industry in which the firm's average costs decrease as the industry expands production. In the long run, competition will force the price of the product to fall to the level of the new lower average cost of the typical firm. In this case, the long-run supply curve will slope downward. Industries with downward-sloping long-run supply curves are called decreasing cost industries.

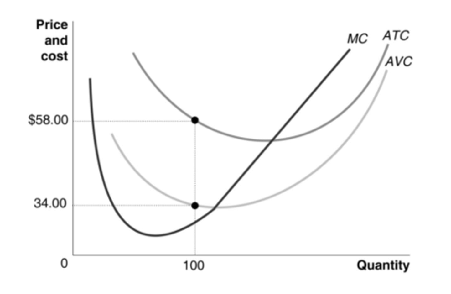
According to the graph, what is the value of total fixed cost for this perfectly competitive firm?
$2,400
WHAT YOU NEED TO KNOW:
According to the graph, the value of total fixed cost for this perfectly competitive firm is $2,400. At 100 units of output, the firm is generating $5,800 in total costs, of which $3,400 is variable cost. Therefore, the fixed cost is the difference of $5,800 - $3,400 = $2,400.

Long-run equilibrium in perfect competition results in:
both productive and allocative efficiency
What is the term given to a cost that has already been paid and cannot be recovered?
Sunk costs
A buyer or seller that is unable to affect the market price is called a __________.
price taker
In reference to the graph, at what level of output does this perfectly competitive firm maximize profit?
Q3

According to the graphs, which of the following is likely to happen in this market in the long run?
No other firms will enter this market
WHAT YOU NEED TO KNOW:
Firms will enter a market only if they expect to make an economic profit. Firms will leave a market if they are suffering losses. In this case, the price is equal to the average cost at the chosen quantity, so there is zero economic profit, and therefore, no incentive to enter or exit the market.

According to the graph, if a perfectly competitive firm is producing at point A, which of the following is true?
The firm earns zero economic profit.

If the average total cost curve is above the demand curve, then this firm is:
having economic losses
According to the data in the table, what level of output maximizes profit?
8 units of output
WHAT YOU NEED TO KNOW:
The marginal principle tells us that the firm will maximize profit by choosing the quantity at which marginal revenue (the market price) equals marginal cost. As long as marginal revenue is greater than the marginal cost, the firm will benefit by increasing the output.

In perfect competition, the marginal revenue is the same as:
Price
WHAT YOU NEED TO KNOW:
Marginal revenue is always the amount of revenue you receive from selling one more unit. In perfectly competitive markets: Marginal revenue = marginal benefit = price.
Firms in competitive markets:
must accept the market price.
What does the shaded area in the graph represent for a perfectly competitive firm that produces at output level Q?
Negative economic profit
WHAT YOU NEED TO KNOW:
At that level of output, the average total cost is higher than the price the firm receives for the product. Therefore, the distance between price and average total cost multiplied by the number of units sold (the shaded area) is the total loss for this firm.
The total cost of producing Q is equal to ATC x Q. Positive economic profits will only occur if price is higher than ATC.

According to the graph, which demand curve is associated with the shutdown point for this perfectly competitive firm?
Demand curve 2
WHAT YOU NEED TO KNOW:
At Demand 2, the firm is at the point where marginal revenue exactly equals average variable cost so there is no reason to continue production.
In the short run, the firm will continue to produce as long as marginal revenue exceeds average variable cost since the difference will at least cover a portion of fixed costs. However, when marginal revenue falls below average variable cost the firm is losing money with each additional unit of output so it will not be producing at this point which is consistent with Demand 1.
At Demand 4, the firm is making zero economic profit since marginal revenue equals average total cost. The firm will continue to produce at this point.

According to the graph, which level of output maximizes profit?
8 shirts per minute

Which of the following is a characteristic of a perfectly competitive market?
There are large numbers of buyers and sellers.
(Firms should be freely to enter and exit the market).
According to the data in the table, when the price is $4, the firm would produce:
Four units of output, although it would suffer a loss from doing so

In this graph, the market is initially in long-run equilibrium at point A. If this is a constant-cost industry, after the decrease in demand, which point is likely to be a short-run equilibrium and which point is likely to be the next long-run equilibrium?
Point D is a short-run equilibrium and point C is the new long-run equilibrium.
WHAT YOU NEED TO KNOW:
When demand shifts to the left, the new equilibrium price will be $7 at point D. As time passes, firms will begin to exit this market since they are experiencing economic loss. The exit of these firms will shift the supply curve to the left and push prices back up to $10 at the long-run equilibrium point C.

According to the graph the shut-down point corresponds to:
Point d
