1/47
Looks like no tags are added yet.
Name | Mastery | Learn | Test | Matching | Spaced |
|---|
No study sessions yet.

Core concept: Amino acids are ______ with many metabolites in core energy metabolism (pyruvate and TCA pathways)
Interchangeable

Amino acids are interconverted with?
Carboxylic acid intermediates
What needs to be removed from an amino acid in order to be catabolized?
Amino group
When is amino acids consumed/used?
When organismal carbohydrate levels are low or there is an excess of amino acids (amino acids are oxidized for energy)

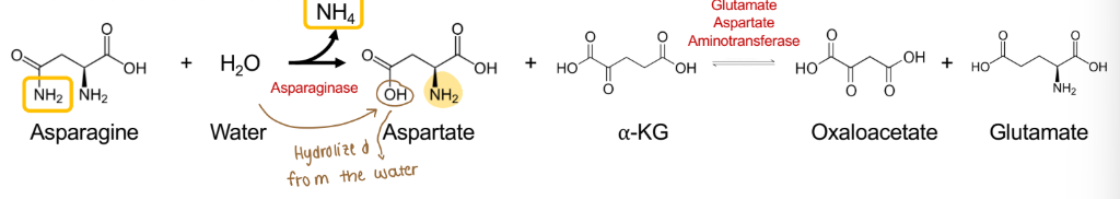
What are the two rxns that can be utilized to remove the nitrogen from amino acids?
Transamination: movement of amino group from once carbon skeleton to another
Deamination: Removal of free ammonium

What is transamination?
Movement of amino group from one carbon skeleton to another

What is deamination?
Removal of free ammonium
What ae the two fates amino acids are catabolized into?
Glucogenic: enters a pathway that can lead to formation of glucose
Both: enter pathways that can either glucose or ketones
Ketogenic: enters a pathway that can lead to the formation of ketones
What can glucogenic amino acids become?
Become glucose

Glucogenic
Enters a pathway that can lead to formation of glucose
Yields pyruvate or oxaloacetate (reverse rxns in glycogenesis=glucose)
Can all enter the TCA cycle
When gluconeogenic amino acids become glucose, what does it yield?
Pyruvate or oxaloacetate
What can gluconeogenic amino acids do in the TCA cycle?
They can all enter the TCA cycle
What can ketogenic amino acids cannot become?
CAN NOT be glucose

Ketogenic
Enters a pathway that can lead to the formation of ketones
Yields acetyl-CoA or acetoacetyl-CoA
Still requires a ≥4 carbon intermediate to enter TCA
What do ketogenic amino acids yield?
Acetyl-CoA
Acetoacetyl-CoA
What do ketogenic amino acids require for the TCA cycle?
They still require ≥4 carbon intermediate to enter

Why does ketogenic amino acids need a ≥4 carbon intermediate to enter the TCA?
Acetyl-CoA requires a molecules of oxaloacetate to enter TCA cycle
Two carbons are fully oxidized and lost as CO2 during reactions 3 and 4 (not acetyl-CoA carbons in the first cycle)
Net addition(2)/loss(2) of carbon each cycle = 0
Acetyl-CoA can never become oxaloacetate without a ≥4 carbon intermediate to bring it into the cycle

What does Acetyl-CoA require to enter the TCA cycle?
Oxaloacetate

What is oxidized and lost in the TCA cycle?
2 carbons are fully oxidized and lost as CO2 during rxns 3 and 4
(not acetyl-CoA carbons in the first cycle)

What is the net addition and loss of carbon in each cycle of the TCA?
Net additions: +2
Loss: -2
Total carbon: 0

What allows acetyl-CoA to become oxaloacetate?
It needs a ≥4 carbon intermediate to bring it into the cycle

What happens if there is no ≥4 carbon intermediate?
Acetyl-CoA will never become oxaloacetate and won’t be able to enter the TCA cycle

Amino acids that are glucogenic
Aspartate
Glutamate
Asparagine
Glutamine
Alanine
Arginine
Glycine
Proline
Serine
Histidine
Threonine
Valine
Cysteine
Methionine

Amino acids that are both glucogenic and ketogenic
Phenylalanine
Tyrosine
Tryptophan
Isoleucine

Amino acids that are ketogenic
Leucine
Lysine
How does the body deal with nitrogenous waste?
When pH<pka, molecules become protonated to NH4 (ammonium)

What happens deamination occurs at high rates?
Metabolic alkalosis
What does high ammonium (NH4) push forward?
Glutamate and glutamine synthesis rxn
Glutamate: works as a stimulatory neurotransmitter (this is why we get increased heart rates bc of muscle contraction)
Removes alpha-ketoglutarate from TCA (this stalls the TCA)
Glutamate works as what?
Functions as a stimulatory neurotransmitter (this is why we get increased heart rates bc of muscle contraction)

How do mammals excrete nitrogen?
Urea (urea cycle)
Alpha-ketoglutarate (AKG)
A crucial intermediate in the urea cycle, linking amino acid breakdown to nitrogen detoxification. It acts as a "nitrogen scavenger," accepting amino groups from amino acids to form glutamate, which then releases toxic ammonia into the urea cycle for conversion into less harmful urea. AKG is also vital because if the urea cycle fails, it can be depleted by high ammonia levels, which impairs the citric acid cycle in the brain and can cause neurological damage.

What is the main pathway of nitrogen elimination?
Urea cycle

Where does the urea cycle take place in the cell?
Mitochondria and cytosol

Where do the two nitrogen in urea come from?
First nitrogen is from carbamoyl-P
Synthesized in mitochondria
Carbamoyl-Phosphate is formed via condensation of free ammonium (from deamination) and CO2
Requires two ATP per carbamoyl-P formed (carbamoyl-phosphate synthetase)
Ornithine reacts with carbamoyl-P to form citrulline
Citrulline (carries the 1 nitrogen) exported to the cytosol
Second nitrogen is from aspartate
Aspartate reacts with citrulline (ATP→ AMP, which = 2 ATP) to form arginosuccinate
Arginosuccinate split to form arginine and fumarate
Arginine is hydrolyzed to form Urea (2 nitrogens) and regenerates ornithine
Ornithine transported back into mitochondria

Where is the first nitrogen coming from in the urea cycle?
carbamoyl-P

Where does the second nitrogen come from in the urea cycle?
Aspartate

First nitrogen is from carbamoyl-P
Synthesized in mitochondria
Carbamoyl-Phosphate is formed via condensation of free ammonium (from deamination) and CO2
Requires two ATP per carbamoyl-P formed (carbamoyl-phosphate synthetase)
Ornithine reacts with carbamoyl-P to form citrulline
Citrulline (carries the 1 nitrogen) exported to the cytosol

Second nitrogen is from aspartate
Aspartate reacts with citrulline (ATP→ AMP, which = 2 ATP) to form arginosuccinate
Arginosuccinate split to form arginine and fumarate
Arginine is hydrolyzed to form Urea (2 nitrogens) and regenerates ornithine
Ornithine transported back into mitochondria

What is the net cost of the urea cycle?
4 ATP
2 ATP to form carbamoyl-P
2 ATP to form arginosuccinate (ATP to AMP)

Fumarate can enter where?
Can enter the TCA cycle

When Fumarate enters the TCA cycle what can it become?
Fumarate can become oxaloacetate

What happens when fumarate enter the TCA cycle and becomes oxaloacetate?
Produces one NADH
Yields ~2.5 ATP in ETC, ~half of the energy needed for Urea Cycle

Oxaloacetate can be transaminated to what?
Aspartate (nitrogen from glucose)

What can aspartate do in the urea cycle?
It can bring it’s nitrogen back and produce another fumarate molecule.
Which two reactions prepare the carbon skeletons of amino acids for oxidation?
Transamination
Deamination
What is a gluconeogenic intermediate of TCA cycle?
Oxaloacetate (intermediate)
What is a ketogenic intermediate of TCA cycle?
Acetyl-CoA (intermediate)
Which metabolites link the Urea and TCA cycles?
Fumarate, aspartate, NADH