1/36
Looks like no tags are added yet.
Name | Mastery | Learn | Test | Matching | Spaced | Call with Kai |
|---|
No analytics yet
Send a link to your students to track their progress
Acyl Halide

Alcohol

Aldehyde

Alkene

Alkyl Halide

Alkyne

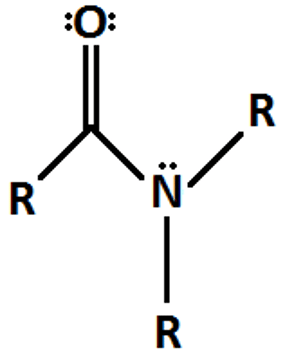
Amide

Amine

Anhydride

Aromatic (Arene)

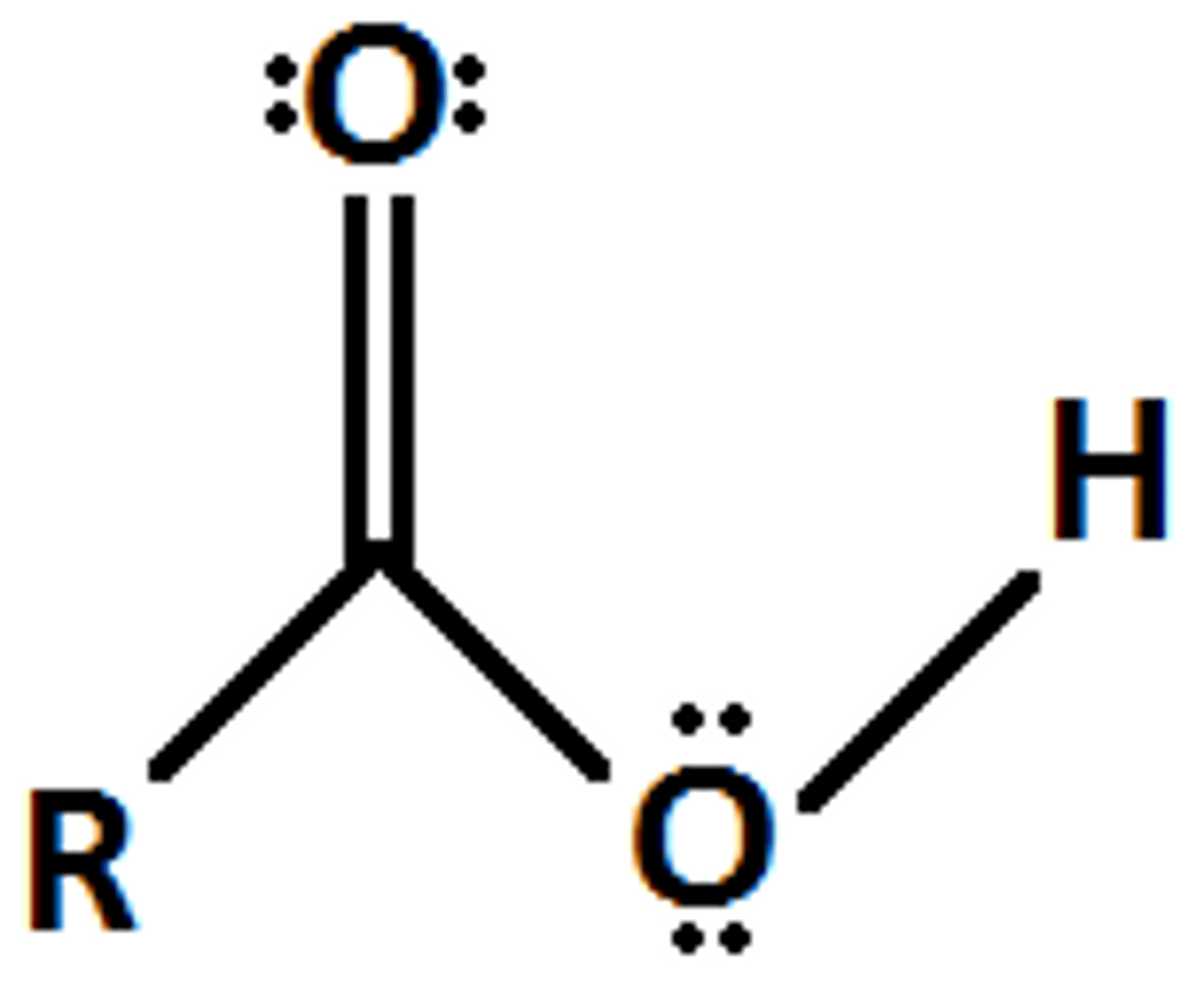
Carboxylic Acid

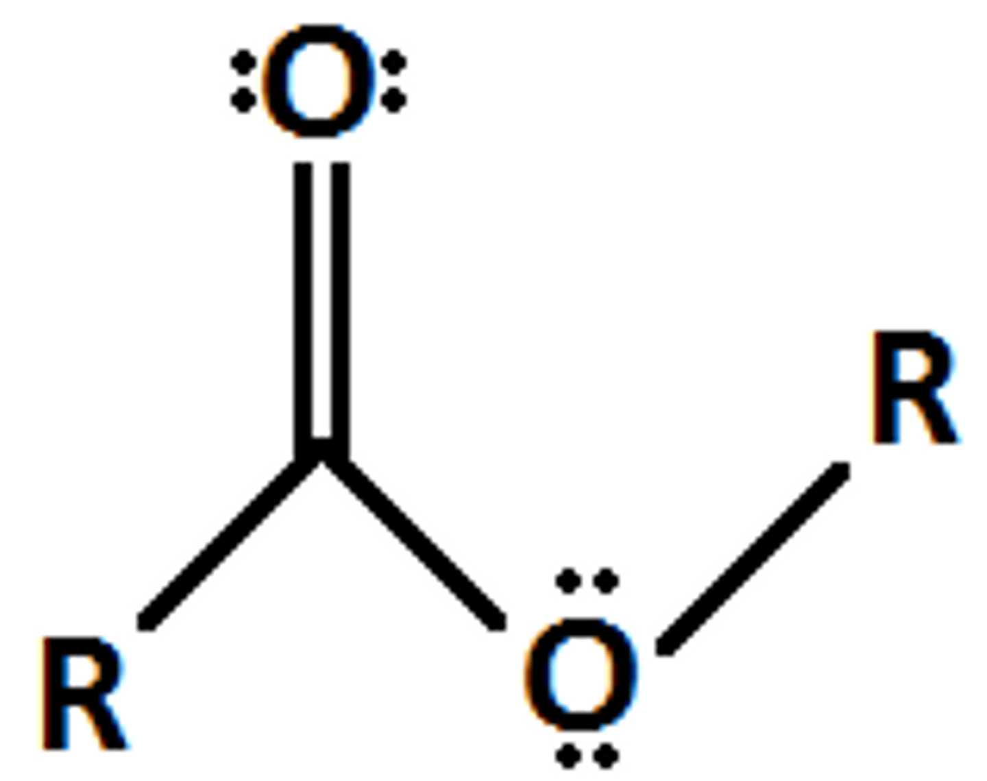
Ester

Ether

Ketone

Sulfide

Thiol

Alkene

Alkyne

Alkyl halide

Alcohol

Ether

Aldehyde

Ketone

Carboxylic acid

Ester

Amine

Amide

methane
CH4
Ethane
C2H6
Propane
C3H8
Butane
C4H10
Pentane
C5H12
Hexane
C6H14
Heptane
C7H16
Octane
C8H18
Nonane
C9H20
Decane
C10H22