1/8
Looks like no tags are added yet.
Name | Mastery | Learn | Test | Matching | Spaced |
|---|
No study sessions yet.
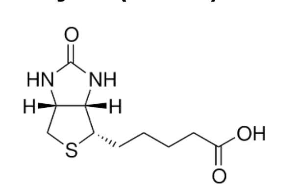
biotin
CO₂ activation using amine group

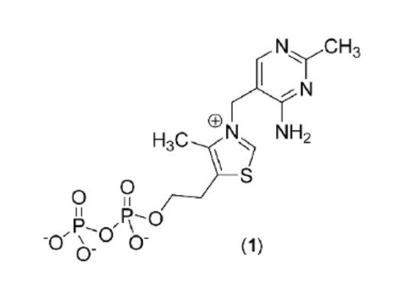
TPP
Transfer of aldehyde groups

NAD+/ NADH
Reduction by 1 electron

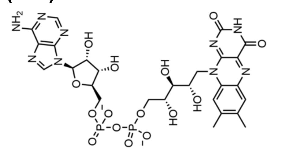
FAD
Reduction by 1 or 2 electrons

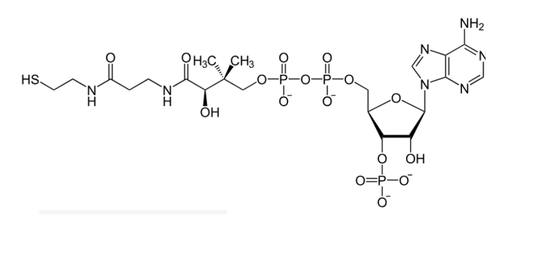
Coenzyme A (CoA-SH)
Transfers acyl groups

Lipoic Acid (lipoate)
Redox cofactor in TCA cycle

folate/ THF
transfers 1-carbon unit

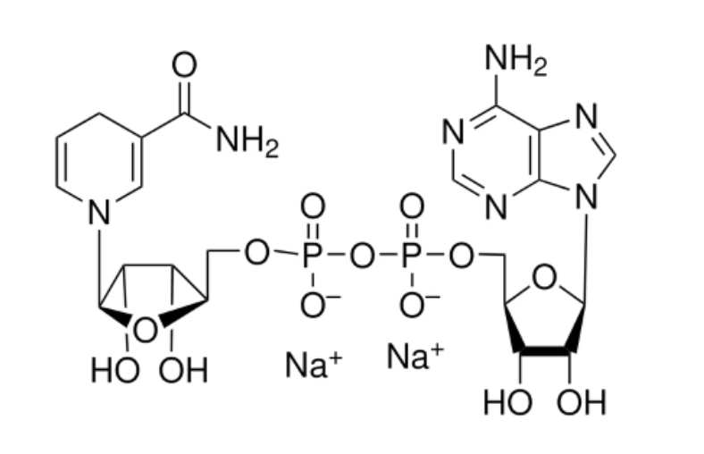
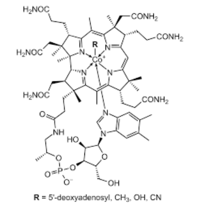
5′ -Deoxyadenosylcobalamin (Coenzyme B₁₂)
Transfers methyl groups and rearrangements

Pyridoxal phosphate (PLP)
Amino acid metabolism (transamination)
