1/31
Name | Mastery | Learn | Test | Matching | Spaced | Call with Kai |
|---|
No analytics yet
Send a link to your students to track their progress
explains living processes in terms of the chemical substances involved
can form four covalent bonds
allows a diversity of stable compounds to exist
Life is based on carbon
Examples:
carbohydrates
lipids
proteins
nucleic acids
the web of all the enzyme-catalyzed reactions in a cell or organism
Catabolism: the breakdown of complex molecules → simpler molecules
the hydrolysis of macromolecules into monomers
Anabolism: the synthesis of simpler molecules → complex molecules
formation of macromolecules from monomers by condensation reactions
Theory of Vitalism believed vital forces gave living things life
urea is found in urine
believed to only be created through vital forces
Wöhler creates it artificially using silver isocyanate and ammonium chloride
begins disproving vitalism

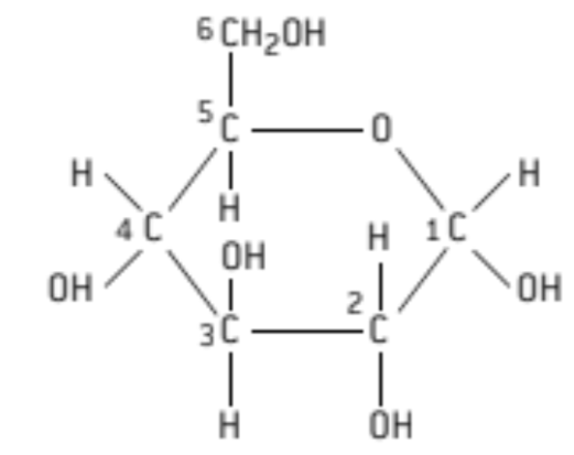
hexagon
5Cs and 1O
C #5 has a CH2OH
C #3 has a OH on top

pentagon (4C and 1O)
side chain with one -OH and 2 -H
side chan with lone H

can also be written as:
H-(CH₂)n-COOH

H = hydrogen atom
NH or NH₂ amine group
(-COOH) = carboxyl group
R = r group or radical

have two or three hydrocarbon chains
the quadruple ring structure of steroids
Hydrocarbon chains often shown as a zigzag line
rings of carbon atoms shown as hexagons or pentagon
H = hydrogen atom
NH or NH₂ = amine group
(-COOH) = carboxyl group
R = r group or radical
Look for bond between N-H (peptide bond)
