IB Exam (Unit 2)
2.1 Molecules to Metabolism
Understanding
U1 Molecular biology explains living processes in terms of the chemical substances involved
U2 Carbon atoms can form four covalent bonds allowing a diversity of stable compounds to exist
U3 Life is based on carbon compounds including carbohydrates, lipids, proteins and nucleic acids
U4 Metabolism is the web of all the enzyme-catalyzed reactions in a cell or organism
U5 Anabolism is the synthesis of complex molecules from simpler molecules including the formation of macromolecules from monomers by condensation reactions
U6 Catabolism is the breakdown of complex molecules into simpler molecules including the hydrolysis of macromolecules into monomers
Application
A1 Urea as an example of a compound that is produced by living organisms but can also be artificially synthesized
Theory of Vitalism believed vital forces gave living things life
urea is found in urine
believed to only be created through vital forces
Wöhler creates it artificially using silver isocyanate and ammonium chloride
begins disproving vitalism

Skills
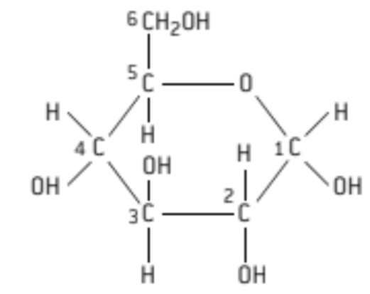
S1 Drawing molecular diagrams of glucose, ribose, a saturated fatty acid and a generalized amino acid
Glucose

Ribose

S 2 Identification of biochemical such as sugars, lipids, or amino acids from molecular drawings
Saturated Fatty Acid
