1/56
Looks like no tags are added yet.
Name | Mastery | Learn | Test | Matching | Spaced |
|---|
No study sessions yet.
neutronen
neutraal
protonen
positief geladen
elektronen
negatief geladen
ladingshoeveelheid
Q (grootheid)
Coulomb
C (eenheid)
aantrekken
+ en -
afstoten
- en - of + en +
tribo-elektrisch effect
lijst van materialen op basis van hun neiging om statische elektriciteit op te wekken
grootte van de lading is afhankelijk van
de plaats van de stoffen in de tribo-elektrische reeks
de grootte van het contactoppervlak
de wrijvingssnelheid
de wrijvingskracht en de omgevingscondities
(lage relatieve vochtigheid is ideaal)
meten en aantonen van ladingen
elektroscoop en coulombmeter
elektroscoop
aanwezigheid van ladingen aantonen, maar niet tekenen en de grootte
coulombmeter
ladingshoeveelheid meten, teken en grootte van de lading bepalen
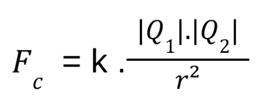
wet van coulomb
formule

coulombkracht
Fc
constante
k
lading 1
Q1
lading 2
Q2
(fysieke) afstand tussen 2 ladingen
r
coulombkracht=
de kracht die een elektrische lading uitoefent op een andere elektrische lading
het aangrijpingspunt
de lading waarop de kracht wordt bepaald
de richting
de verbindingslijn tussen de puntladingen
de zin
afhankelijk van het teken van beide ladingen (aantrekking - afstoting)
de grootte
kun je berekenen met de wet van Coulomb
permanente magneten
altijd magnetisch
elektromagneet
enkel magnetisch wanneer er stroom door loopt
magnetiet
natuurlijke erts (°oudheid) en permanente magneet
AlNiCo
° 19e eeuw en kunstmatige magneet
Neodymium
nu: sterkste magneet
natuurlijke magneet
ertsen die voorkomen in de natuur en magnetische eigenschappen bezitten
kunstmatige magneet
door de mens vervaardigd
AlNiCo-magneten worden gebakken en zijn zeer broos
krachtige magneten worden tegenwoordig gemaakt uit neodymium
magneet bezit twee polen
N en Z
gelijknamige polen
stoten elkaar af
ongelijknamige polen
trekken elkaar aan
ferromagnetische stoffen
enkel deze worden door een magneet aangetrokken
magnetische influentie
We maken van een stof die geen magneet is, eventjes een magneet. Dit blijft echter niet duren en de magnetische krachtwerking is niet zo sterk. (vb. naaldjes)
aan de polen van de magneet
sterkste magneet punt
elektrische bel en afval sortering
technische toepassingen van magneten en elektromagneten
elektrische bel stappen
stap 1: schakelaar ingedrukt -> stroom door kring -> elektromagneet ingeschakeld
stap 2: bel trekt metalen staafje (hamer) aan
stap 3: er is geen contact meer met het metalen staafje en de onderbreker
stap 4: de stroomkring is open, de elektromagneet wordt uitgeschakeld
stap 5: daarna wordt de stroomkring terug gesloten, en herhaalt alles zich opnieuw
magnetische zuidpool
noordpool
magnetische noordpool
zuidpool
veldlijnen
magnetische NP-> magnetische ZP
magnetische veldlijnen
Magnetische krachten kunnen we niet zien. Soms kunnen we ze wel zichtbaar maken door gebruik te maken van ijzervijlsel (=ijzerpoeder) of kompasnaalden.
van noordpool naar zuidpool
magnetische veldlijnen buiten de magneet
van zuidpool naar noordpool
magnetische veldlijnen in de magneet
kenmerken veldlijnen
De magnetische veldlijnen lopen buiten een magneet altijd van de noordpool naar zuidpool.
De veldlijnen zullen elkaar nooit kruisen of overlappen.
Hoe dichter de veldlijnen bij elkaar liggen, hoe sterker het magnetisch veld.
tweede regel van de rechterhand
in de spoel: Z →N en veldlijnen evenwijdig en dus even sterk
buiten de spoel: van N → Z en veldlijnen niet overal even sterk
MRI scanner (elektromagneet en radiogolven)
toepassing van het magnetisch veld
Lorentzkracht
= is de kracht die door een magnetisch veld op een geleider met stroom wordt uitgeoefend
Fl= B . I . L
Lorentzkracht formule
stroom
I
magnetisch veld (veldlijnen)
B
lengte van geleider
L
zin verandert wnr
hoefijzermagneet omgedraaid wordt (veldlijnen lopen ook anders)
de stroom verandert wordt
kracht wordt groter
stroom of magnetisch veld wordt groter of sterker
Lorentzkracht voorbeelden
gelijkstroommotor (tandenborstel) en luidspreker
elektromagnetische inductie
door een magneet te bewegen in een spoel ontstaat elektriciteit
elektromagnetische inductie voorbeeld
inductiekookplaat en fietsdynamo