 Call Kai
Call Kai Learn
Learn Practice Test
Practice Test Spaced Repetition
Spaced Repetition Match
Match1/15
Looks like no tags are added yet.
| Name | Mastery | Learn | Test | Matching | Spaced | 
|---|
No study sessions yet.
What are the functions of the nucleic acids?
DNA- stores and carries hereditary information
DNA- provides directions for its replication
RNA- has structural roles
Describe the structure of a nucleotide.
Contains a sugar, phosphate and a base
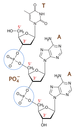
Describe the structure and function of a phosphodiester bond:
Adjacent nucleotides are joined together by a phosphodiester (PO4) which creates a sugar phosphate backbone

Describe the structure of DNA and RNA:
RNA- Single stranded, Thymine is replaced by Uricil
DNA- Double stranded, contains Thymine
How does the form relate to the function of each nucleic acid (DNA, RNA, TRNA, MRNA)
DNA with its double helix structure makes it so it's genetic code is protected
The diverse single stranded nucleic acids (e.g rNA, tRNA and mRNA) have specific functions for protein synthesis
What is meant by base pairing and how it contributes to the structure of DNA?
Complimentary base pairing rule: A-T( or U in rNA) G-C
Purine (A or G) (Double Ringed)
Pyramidine (C or T)
The more G-C means the stronger as it contains 3 Hydrogen bonds rather than 2
Why is the double-stranded structure of DNA and base pairing rules are important for DNA replication?
Makes it so DNA can create two genetical copies of each DNA in a cell ready to divide
Difference in base and sugar of DNA and RNA
DNA has 1 hydroxyl whereas RNA has 2. DNA contains thymine. RNA contains uricil.

How does the form relate to the function of each nucleic acid RNA?
RNA- responsible for transcripting code from DNA to mRNA, single stranded which allows it to fold into complex 3D shapes
How does the form of tRNA help its function?
TRNA- contains anticodons that are complimentary to mRNA and it is connected to a amino acid which is attached to growing protein chain, meaning that the correct amino acid can then be joined together to form a protein
What is a nucleotide?
A monomer of nucleic acids.
How are nucleotides joined together and what does it form?
Joined together by a phosphodiester bond, creating the backbone of sugar-phosphate
What nucleotides are purines?
A or G
What nucleotides are pyramidines?
C or T
What kind of nucleotides are A, G, C,T?
-Purine (A or G)
-Pyramidine (C or T)
How does the form of mRNA help it function?
MRNA- transports code from rNA to ribosome
Being single stranded allows for mRNA to easily pass through membranes
Single stranded means it is readily accessible with complimentary base pairing with tRNA anticodons during translation