MATH 227: 11.10 (Taylor & Maclaurin Series)

0.0(0)
studied byStudied by 0 people
full-widthCall with Kai
GameKnowt Play
learnLearn
examPractice Test
spaced repetitionSpaced Repetition
heart puzzleMatch
flashcardsFlashcards
Card Sorting

1/5

encourage image

There's no tags or description

Looks like no tags are added yet.

Study Analytics
Name
Mastery
Learn
Test
Matching
Spaced

No study sessions yet.

6 Terms

1
New cards
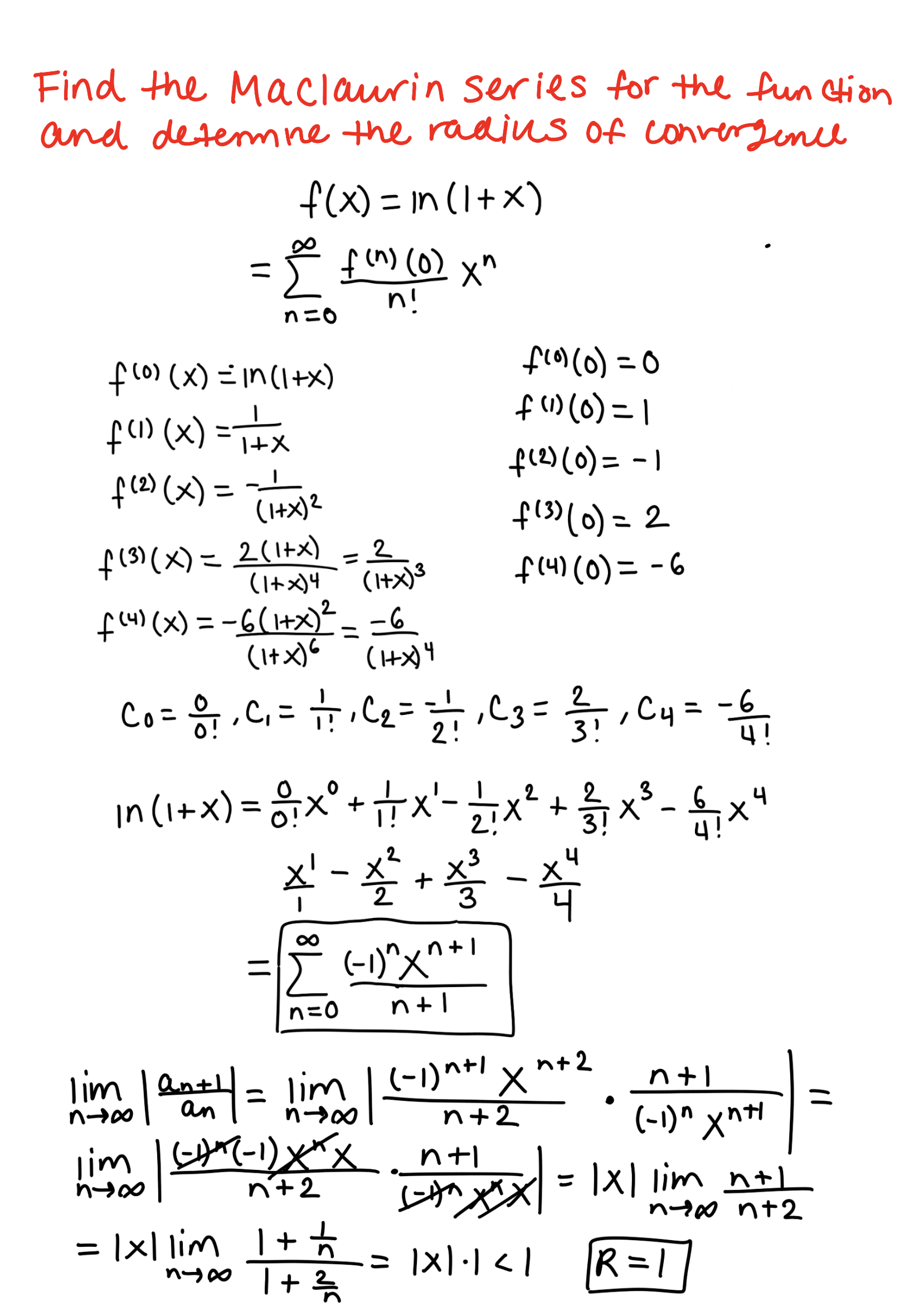
<p>Find the Maclaurin Series for the function and determine the radius of convergence </p>

Find the Maclaurin Series for the function and determine the radius of convergence

knowt flashcard image
2
New cards
term image
knowt flashcard image
3
New cards
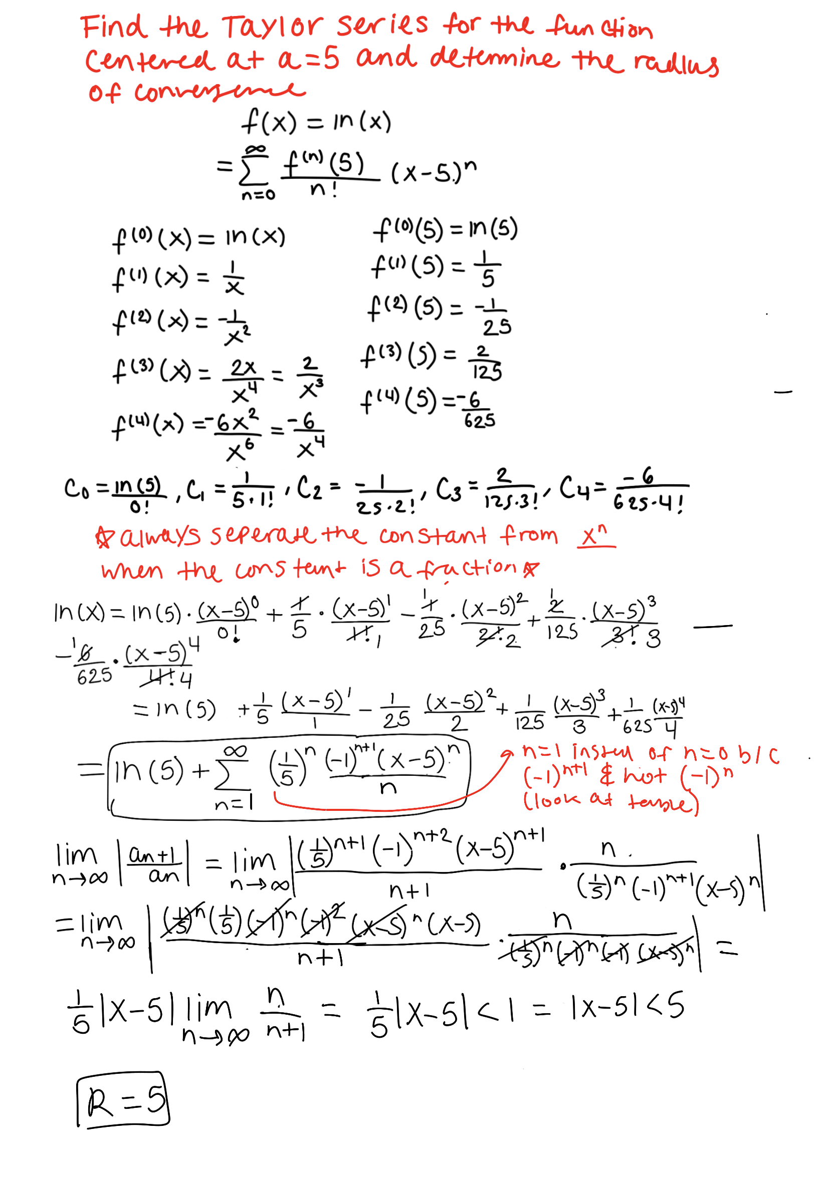
<p><span>Find the Taylor Series for the function centered at a = 5 and determine the radius of convergence</span></p>

Find the Taylor Series for the function centered at a = 5 and determine the radius of convergence

knowt flashcard image
4
New cards
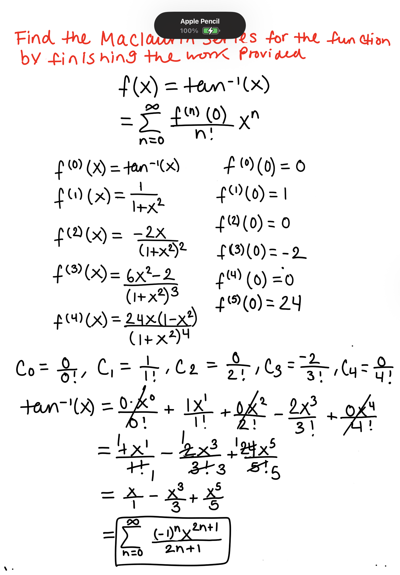
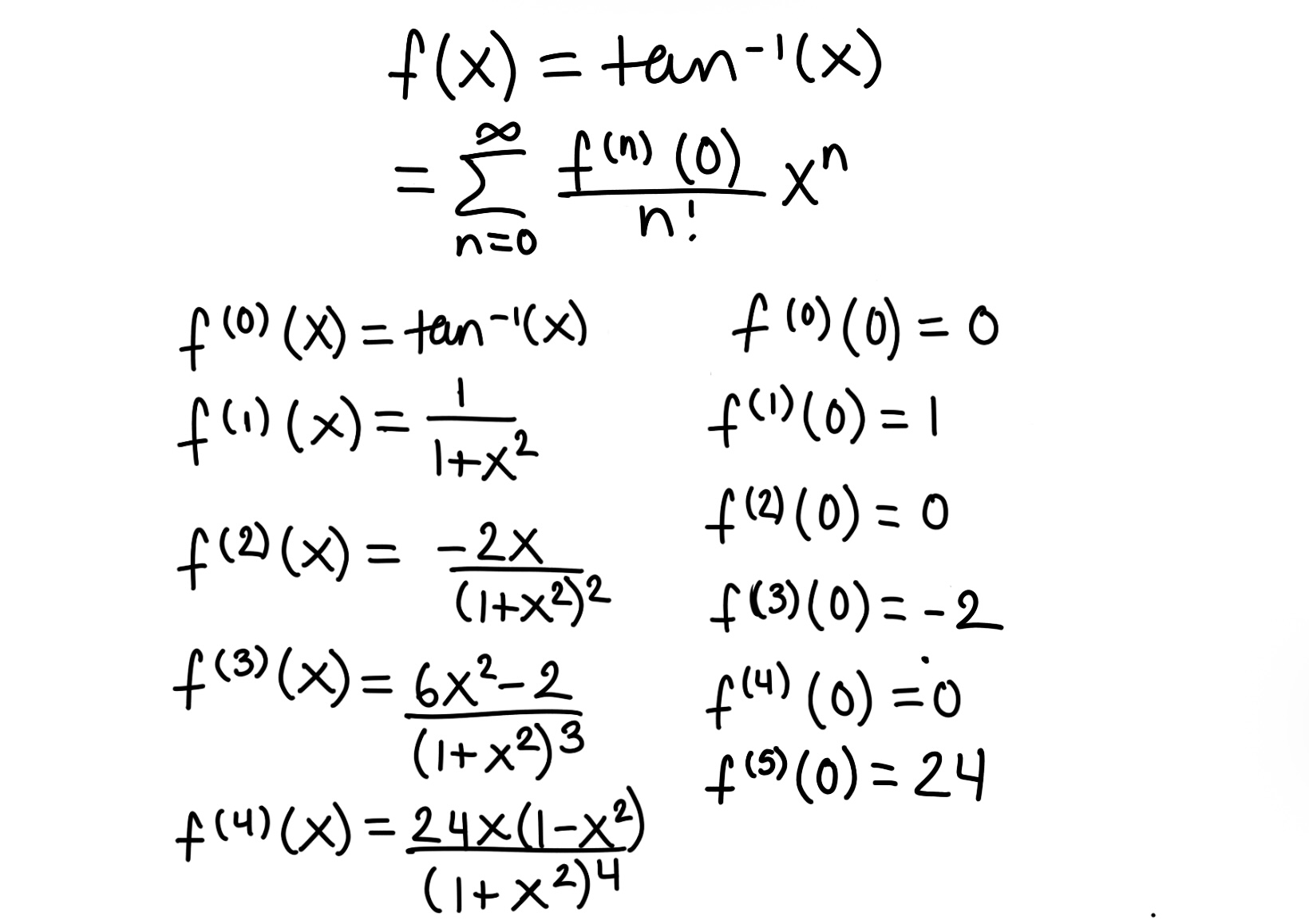
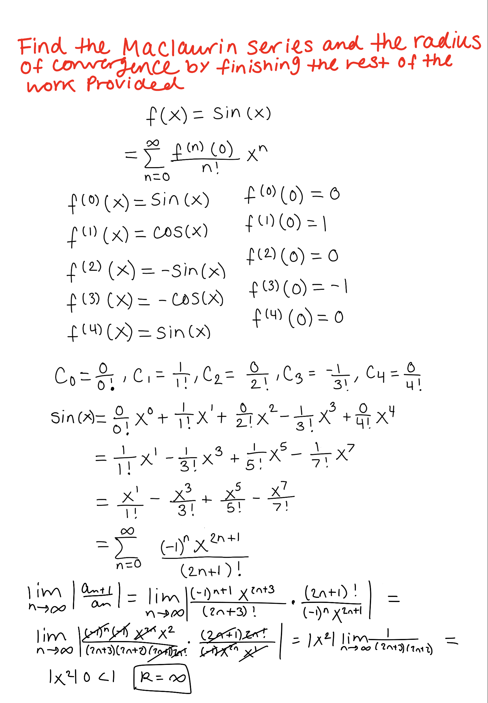
<p><span>Find the Maclaurin Series for the function and the radius of convergence by finishing the rest of the work provided </span></p>

Find the Maclaurin Series for the function and the radius of convergence by finishing the rest of the work provided

knowt flashcard image
5
New cards
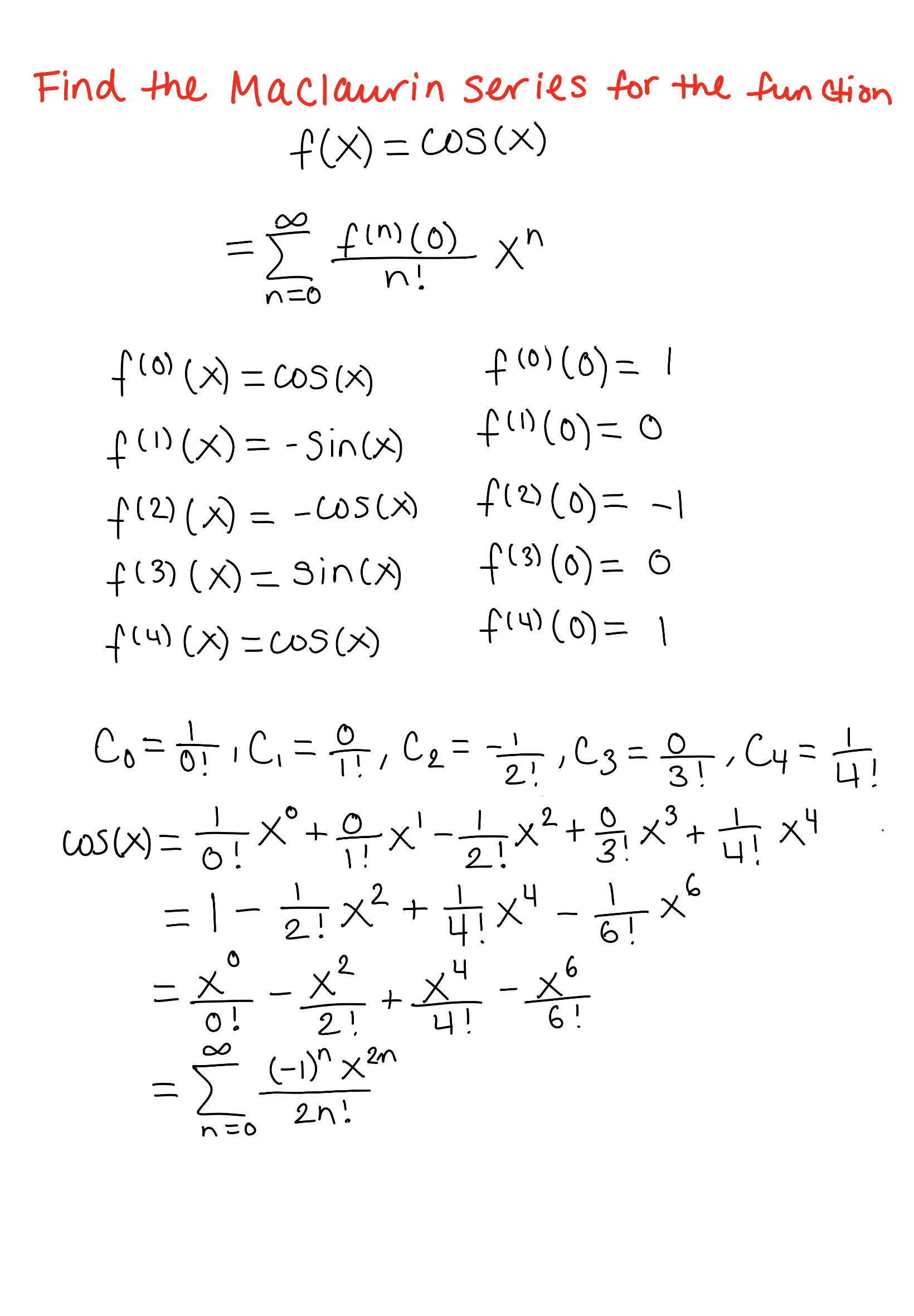
<p><span>Find the Maclaurin Series for the function</span></p>

Find the Maclaurin Series for the function

knowt flashcard image
6
New cards
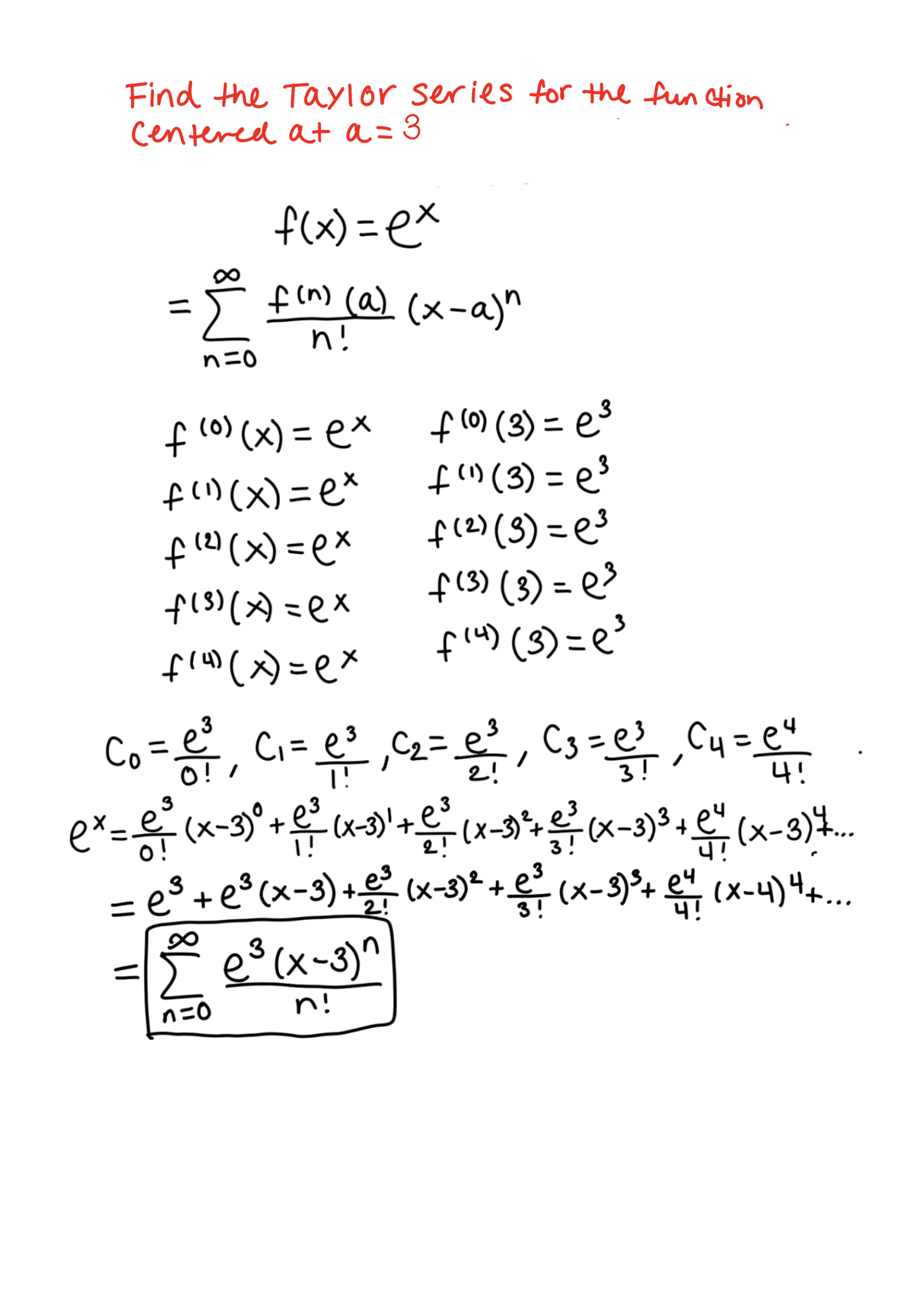
<p><span>Find the Taylor Series for the function centered at a = 3</span></p>

Find the Taylor Series for the function centered at a = 3

knowt flashcard image