1/15
Looks like no tags are added yet.
Name | Mastery | Learn | Test | Matching | Spaced | Call with Kai |
|---|
No study sessions yet.

Name: Cassiopeia

Name: Cepheus

Name: draco

Name: Camelopardalis

NAME : Ursa minor

Name: Ursa major

corona borealis

aries
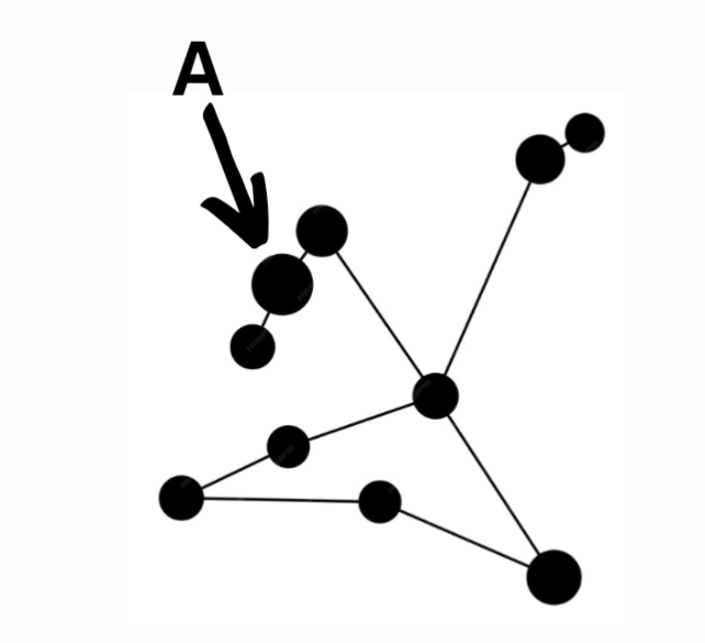
A: hamal
B: sheratan

hercules

lyra
A: vega

cygnus
A: deneb

aquila
A: altair

leo
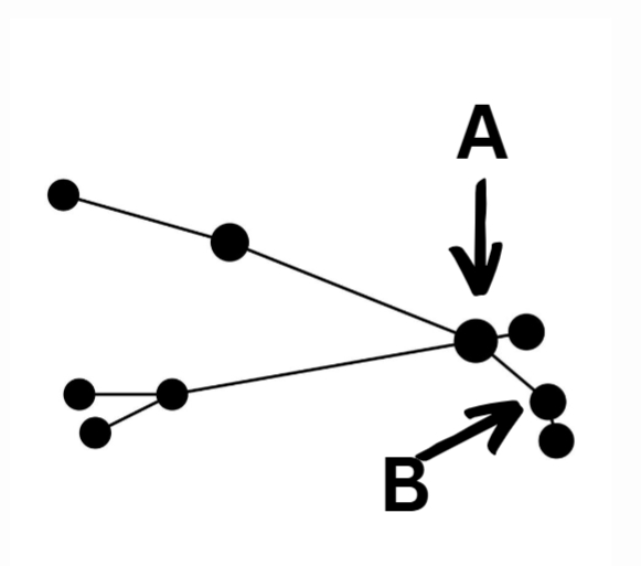
A: regulus
B: algiebra
C: denebola

bootes
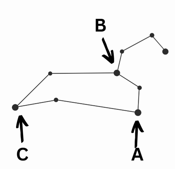
A: arcturus

virgo
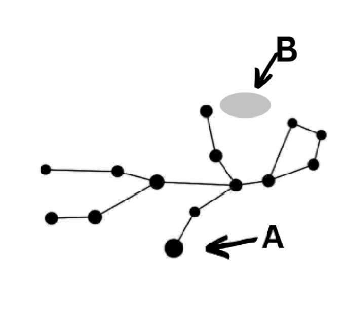
A: spica
B: virgo galaxy cluster

cancer