Taylor expansions

0.0(0)
studied byStudied by 0 people
0.0(0)
full-widthCall Kai
learnLearn
examPractice Test
spaced repetitionSpaced Repetition
heart puzzleMatch
flashcardsFlashcards
GameKnowt Play
Card Sorting

1/10

encourage image

There's no tags or description

Looks like no tags are added yet.

Study Analytics
Name
Mastery
Learn
Test
Matching
Spaced
Call with Kai

No study sessions yet.

11 Terms

1
New cards

sin(x)

knowt flashcard image
2
New cards

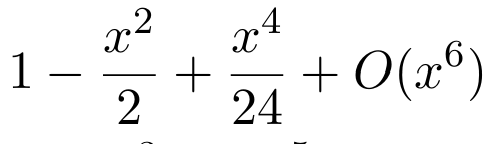
cos(x)

knowt flashcard image
3
New cards

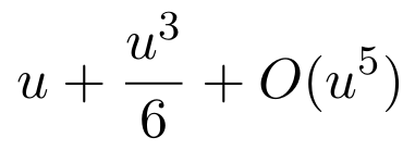
tan(x)

knowt flashcard image
4
New cards

log(1+u)

knowt flashcard image
5
New cards

arcsin(u)

knowt flashcard image
6
New cards

e^x

knowt flashcard image
7
New cards

e^-x²/2

knowt flashcard image
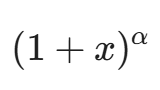
8
New cards
<p></p>

knowt flashcard image
9
New cards

sinh(x)

knowt flashcard image
10
New cards

cosh(x)

knowt flashcard image
11
New cards
<p></p>

knowt flashcard image