Ultimate AP Biology Vocabulary Review

0.0(0)
studied byStudied by 0 people
0.0(0)
full-widthCall Kai
learnLearn
examPractice Test
spaced repetitionSpaced Repetition
heart puzzleMatch
flashcardsFlashcards
GameKnowt Play
Card Sorting

1/1012

encourage image

There's no tags or description

Looks like no tags are added yet.

Study Analytics
Name
Mastery
Learn
Test
Matching
Spaced

No study sessions yet.

1013 Terms

1
New cards

polar

Molecule with partial charges. Mixes with water.

<p>Molecule with partial charges. Mixes with water.</p>
2
New cards

nonpolar

No partial charges. Do not mix with water.

<p>No partial charges. Do not mix with water.</p>
3
New cards

electronegativity

Attraction of an atom for electrons in a covalent bond.

<p>Attraction of an atom for electrons in a covalent bond.</p>
4
New cards

cohesion

Water molecules sticking to each other.

<p>Water molecules sticking to each other.</p>
5
New cards

adhesion

Water molecules sticking to other surfaces.

<p>Water molecules sticking to other surfaces.</p>
6
New cards

solute

Something dissolved in a solution.

<p>Something dissolved in a solution.</p>
7
New cards

solvent

Dissolving agent of a solution.

<p>Dissolving agent of a solution.</p>
8
New cards

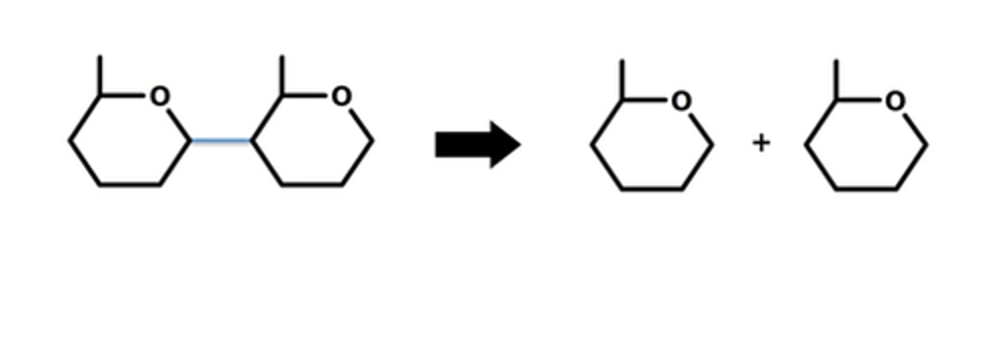
isomers

Same atoms but different arrangement.

<p>Same atoms but different arrangement.</p>
9
New cards

structural isomers

Differ in arrangement of atoms.

<p>Differ in arrangement of atoms.</p>
10
New cards

geometric isomer

Differ in arrangement around a double bond.

<p>Differ in arrangement around a double bond.</p>
11
New cards

enantiomers

Structures that are like a mirror-image.

<p>Structures that are like a mirror-image.</p>
12
New cards

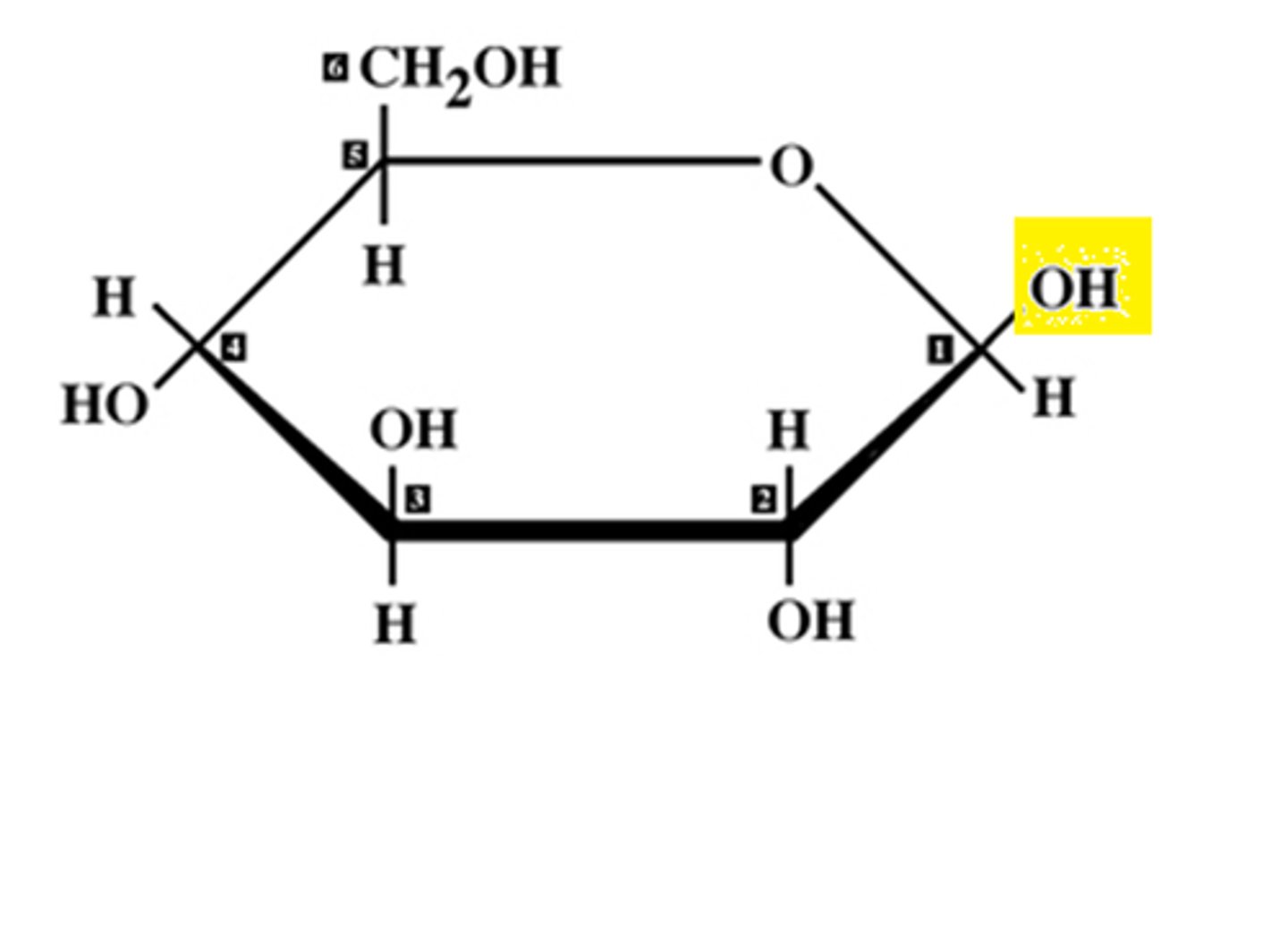
alpha glucose

Monomer for starch and glycogen.

<p>Monomer for starch and glycogen.</p>
13
New cards

beta glucose

Monomer for cellulose and chitin.

<p>Monomer for cellulose and chitin.</p>
14
New cards

cellulose

Carbohydrate component of plant cell walls.

<p>Carbohydrate component of plant cell walls.</p>
15
New cards

starch

Storage polysaccharide of plants.

<p>Storage polysaccharide of plants.</p>
16
New cards

glycogen

Extremely branched polymer of glucose.

<p>Extremely branched polymer of glucose.</p>
17
New cards

chitin

Polysaccharide found in arthropod exoskeletons and fungal cell walls.

<p>Polysaccharide found in arthropod exoskeletons and fungal cell walls.</p>
18
New cards

-ose

Suffix of a sugar.

<p>Suffix of a sugar.</p>
19
New cards

tryiacylglycerol

Glycerol and three fatty acids.

<p>Glycerol and three fatty acids.</p>
20
New cards

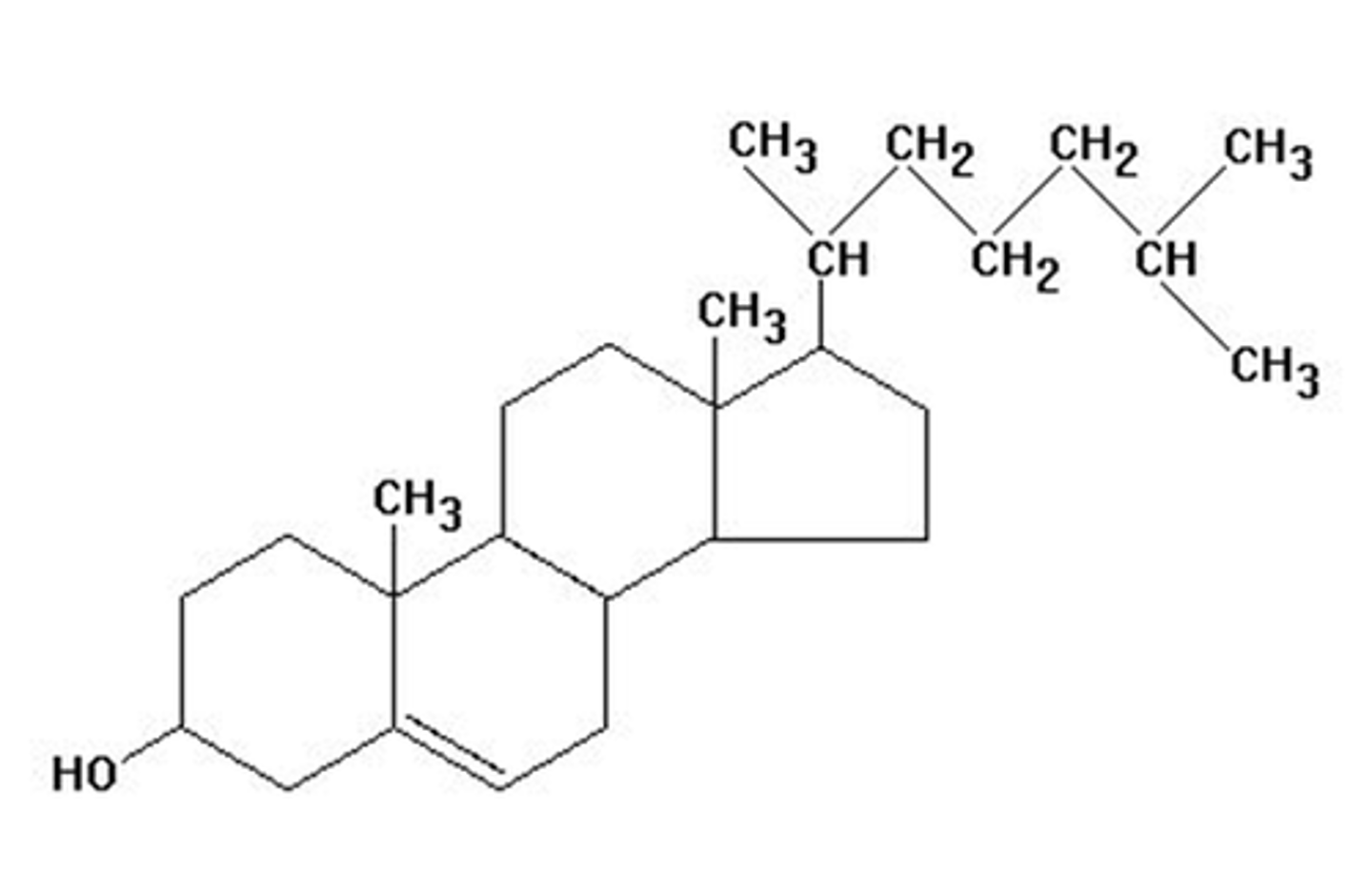
steroids

Made of four rings of carbon.

<p>Made of four rings of carbon.</p>
21
New cards

cholesterol

Steroid common in cell membranes, also in many hormones.

<p>Steroid common in cell membranes, also in many hormones.</p>
22
New cards

peptide bond

Bonds that connect amino acids.

<p>Bonds that connect amino acids.</p>
23
New cards

Fredrick Sanger

Determined amino acid sequence of proteins.

<p>Determined amino acid sequence of proteins.</p>
24
New cards

disulphide bridges

Reinforce tertiary structure.

<p>Reinforce tertiary structure.</p>
25
New cards

primary structure

Chain of amino acids.

<p>Chain of amino acids.</p>
26
New cards

secondary structure

Either an alpha helix or beta pleated sheet.

<p>Either an alpha helix or beta pleated sheet.</p>
27
New cards

tertiary structure

Results from interactions between side chains.

<p>Results from interactions between side chains.</p>
28
New cards

quaternary structure

Results from two or more polypeptide subunits.

<p>Results from two or more polypeptide subunits.</p>
29
New cards

-in

Suffix of a protein.

<p>Suffix of a protein.</p>
30
New cards

purines

Bases with a double-ring structure.

<p>Bases with a double-ring structure.</p>
31
New cards

pyrimidines

Bases with a single-ring structure.

<p>Bases with a single-ring structure.</p>
32
New cards

phosphodiester bonds

Bonds between phosphate group and pentose sugar in nucleic acids.

<p>Bonds between phosphate group and pentose sugar in nucleic acids.</p>
33
New cards

synthesis

To put together.

<p>To put together.</p>
34
New cards

digestion

To break apart.

<p>To break apart.</p>
35
New cards

dehydration synthesis

Condensation reaction where molecules are connected by loss of a water molecule.

<p>Condensation reaction where molecules are connected by loss of a water molecule.</p>
36
New cards

hydrolysis

Reaction where water split into two hydrogens and one oxygen; this breaks a polymer.

<p>Reaction where water split into two hydrogens and one oxygen; this breaks a polymer.</p>
37
New cards

anabolism

Metabolic pathways that construct molecules, requiring energy.

<p>Metabolic pathways that construct molecules, requiring energy.</p>
38
New cards

catabolism

Metabolic pathways that break down molecules, releasing energy.

<p>Metabolic pathways that break down molecules, releasing energy.</p>
39
New cards

natural selection

A population can change over time if individuals with more fit traits leave more offspring than less fit individuals.

<p>A population can change over time if individuals with more fit traits leave more offspring than less fit individuals.</p>
40
New cards

evolutionary adaptation

An accumulation of inherited characteristics that enhance organisms' ability to survive and reproduce in specific environments.

<p>An accumulation of inherited characteristics that enhance organisms' ability to survive and reproduce in specific environments.</p>
41
New cards

artificial selection

Humans modifying species for desired traits through selective breeding.

<p>Humans modifying species for desired traits through selective breeding.</p>
42
New cards

decent with modification

Darwin's way of referring to evolution.

<p>Darwin's way of referring to evolution.</p>
43
New cards

MRSA

Methicillin-resistant Staphylococcus aureus.

<p>Methicillin-resistant Staphylococcus aureus.</p>
44
New cards

fitness

Individuals whose inherited traits confer an advantage have a better chance of surviving in a given environment and will leave more offspring.

<p>Individuals whose inherited traits confer an advantage have a better chance of surviving in a given environment and will leave more offspring.</p>
45
New cards

homology

Similarity resulting from common ancestry.

<p>Similarity resulting from common ancestry.</p>
46
New cards

homologous structures

Same structure, different function. Comes from common ancestor.

<p>Same structure, different function. Comes from common ancestor.</p>
47
New cards

comparative embryology

Embryos of vertebrates share many anatomical homologies.

<p>Embryos of vertebrates share many anatomical homologies.</p>
48
New cards

vestigial structures

Are little or no importance to organism, but remain from an ancestor.

<p>Are little or no importance to organism, but remain from an ancestor.</p>
49
New cards

biogeography

Geographic distribution of species.

<p>Geographic distribution of species.</p>
50
New cards

microevolution

Change in genetic makeup of a population from generation to generation.

<p>Change in genetic makeup of a population from generation to generation.</p>
51
New cards

macroevolution

Evolutionary change above the species level.

<p>Evolutionary change above the species level.</p>
52
New cards

population

Group of individuals of the same species living in the same area.

<p>Group of individuals of the same species living in the same area.</p>
53
New cards

population genetics

Study of allele frequency distribution and change under the influence of evolutionary processes.

<p>Study of allele frequency distribution and change under the influence of evolutionary processes.</p>
54
New cards

gene pool

All the genes in a given population at a given time.

<p>All the genes in a given population at a given time.</p>
55
New cards

allele frequency

Proportion of an allele in a gene pool.

<p>Proportion of an allele in a gene pool.</p>
56
New cards

Hardy-Weinberg Theorem

Helps measure changes in allele frequencies over time . Provides an "ideal" population to use as a basis of comparison.

<p>Helps measure changes in allele frequencies over time. Provides an "ideal" population to use as a basis of comparison.</p>
57
New cards

mutation

Changes in the nucleotide sequence in DNA.

<p>Changes in the nucleotide sequence in DNA.</p>
58
New cards

sexual recombination

Crossing over and shuffling of genes during meiosis.

<p>Crossing over and shuffling of genes during meiosis.</p>
59
New cards

genetic drift

Change in allele frequencies due to chance.

<p>Change in allele frequencies due to chance.</p>
60
New cards

bottleneck effect

When a population has been dramatically reduced, and the gene pool is no longer reflective of the original population's.

<p>When a population has been dramatically reduced, and the gene pool is no longer reflective of the original population's.</p>
61
New cards

founder effect

When a small number of individuals colonize a new area; the new gene pool is not reflective of original population.

<p>When a small number of individuals colonize a new area; the new gene pool is not reflective of original population.</p>
62
New cards

gene flow

When a population gains or loses alleles., movement of alleles into or out of a population due to the migration of individuals to or from the population.

<p>When a population gains or loses alleles., movement of alleles into or out of a population due to the migration of individuals to or from the population.</p>
63
New cards

genetic variation

Heritable variations in a population.

<p>Heritable variations in a population.</p>
64
New cards

discrete characteristics

Characteristics that are classified on an either-or basis, determined by a single gene locus.

<p>Characteristics that are classified on an either-or basis, determined by a single gene locus.</p>
65
New cards

quantitative characteristics

Characteristics that vary along a continuum, usually due to influence of two or more genes.

<p>Characteristics that vary along a continuum, usually due to influence of two or more genes.</p>
66
New cards

geographic variation

Difference in variation between population subgroups in different areas.

<p>Difference in variation between population subgroups in different areas.</p>
67
New cards

cline

A graded change in a trait along a geographic axis.

<p>A graded change in a trait along a geographic axis.</p>
68
New cards

relative fitness

Fitness of a particular genotype.

<p>Fitness of a particular genotype.</p>
69
New cards

directional selection

Shift toward a favorable variation.

<p>Shift toward a favorable variation.</p>
70
New cards

disruptive selection

Shift toward the extremes.

<p>Shift toward the extremes.</p>
71
New cards

stabilizing selection

Shift that favors the mean.

<p>Shift that favors the mean.</p>
72
New cards

heterozygous advantage

Maintains recessive alleles in a population,

<p>Maintains recessive alleles in a population,</p>
73
New cards

sexual selection

Natural selection for mating success.

<p>Natural selection for mating success.</p>
74
New cards

sexual dimorphism

Differences between the sexes in secondary sexual characteristics.

<p>Differences between the sexes in secondary sexual characteristics.</p>
75
New cards

speciation

Origin of new species and the source of biological diversity.

<p>Origin of new species and the source of biological diversity.</p>
76
New cards

biological species concept

Species is a group of populations whose members have the potential to produce fertile offspring.

<p>Species is a group of populations whose members have the potential to produce fertile offspring.</p>
77
New cards

reproductive isolation

Barriers that impede members of two different species fro producing fertile offspring.

<p>Barriers that impede members of two different species fro producing fertile offspring.</p>
78
New cards

prezygotic barriers

Barriers that impede mating or hinder fertilization.

<p>Barriers that impede mating or hinder fertilization.</p>
79
New cards

habitat isolation

When two species encounter each other only rarely.

<p>When two species encounter each other only rarely.</p>
80
New cards

temporal isolation

When two species breed at different times of day, season, or years.

<p>When two species breed at different times of day, season, or years.</p>
81
New cards

behavioral isolation

Incompatible courtship rituals, pheromones, or bird songs.

<p>Incompatible courtship rituals, pheromones, or bird songs.</p>
82
New cards

mechanical isolation

Morphological differences prevent fertilization.

<p>Morphological differences prevent fertilization.</p>
83
New cards

gametic isolation

When sperm can't fertilize the eggs.

<p>When sperm can't fertilize the eggs.</p>
84
New cards

postzygotic barriers

Barriers that prevent the hybrid zygote from becoming a fertile adult.

<p>Barriers that prevent the hybrid zygote from becoming a fertile adult.</p>
85
New cards

reduced hybrid viability

When the genes of different species interact and impair hybrid development.

<p>When the genes of different species interact and impair hybrid development.</p>
86
New cards

reduced hybrid fertility

Sterile hybrids due to uneven chromosome number.

<p>Sterile hybrids due to uneven chromosome number.</p>
87
New cards

hybrid breakdown

Hybrid is fertile, but when they breed the next generation is sterile.

<p>Hybrid is fertile, but when they breed the next generation is sterile.</p>
88
New cards

allopatric speciation

When a population is divided; leads to speciation.

<p>When a population is divided; leads to speciation.</p>
89
New cards

sympatric speciation

Speciation without a divided population.

<p>Speciation without a divided population.</p>
90
New cards

polyploidy

In plants, the result of an extra set of chromosomes during cell division.

<p>In plants, the result of an extra set of chromosomes during cell division.</p>
91
New cards

autopolyploid

Having more than two sets of chromosomes from a single species.

<p>Having more than two sets of chromosomes from a single species.</p>
92
New cards

allopolyploid

Sterile hybrid is changed to a fertile polyploid due to mutation ; fertile with each other, but not parent species.

<p>Sterile hybrid is changed to a fertile polyploid due to mutation; fertile with each other, but not parent species.</p>
93
New cards

adaptive radiation

Evolution of many new species from a common ancestor as a result of introduction to new environments.

94
New cards

punctuated equilibrium

A model of evolution in which a new species will change the most as it buds from a parent species, and then will change little for the rest of its existence.

<p>A model of evolution in which a new species will change the most as it buds from a parent species, and then will change little for the rest of its existence.</p>
95
New cards

gradualism

A model of evolution in which gradual change over a long period of time leads to biological diversity.

<p>A model of evolution in which gradual change over a long period of time leads to biological diversity.</p>
96
New cards

heterochrony

Change in the rate or timing of a developmental event ; an organism's shape depends on relative growth rate of body parts.

<p>Change in the rate or timing of a developmental event; an organism's shape depends on relative growth rate of body parts.</p>
97
New cards

allometric growth

Proportioning that gives a body a specific form.

<p>Proportioning that gives a body a specific form.</p>
98
New cards

homeotic genes

Genes that determine basic features of where a body part is.

<p>Genes that determine basic features of where a body part is.</p>
99
New cards

Hox genes

Class of homeotic genes. Changes in these genes can have a profound impact on morphology.

<p>Class of homeotic genes. Changes in these genes can have a profound impact on morphology.</p>
100
New cards

phylogeny

Evolutionary history of a species or group of species.

<p>Evolutionary history of a species or group of species.</p>