Home
Explore
Exams
Search for anything
Login
Get started
Home
regimen sum
regimen sum
0.0
(0)
Rate it
Studied by 1 person
0.0
(0)
Rate it
Call Kai
Learn
Practice Test
Spaced Repetition
Match
Flashcards
Knowt Play
Card Sorting
1/4
There's no tags or description
Looks like no tags are added yet.
Study Analytics
All Modes
Learn
Practice Test
Matching
Spaced Repetition
Name
Mastery
Learn
Test
Matching
Spaced
No study sessions yet.
5 Terms
View all (5)
Star these 5
1
New cards
ln2/2
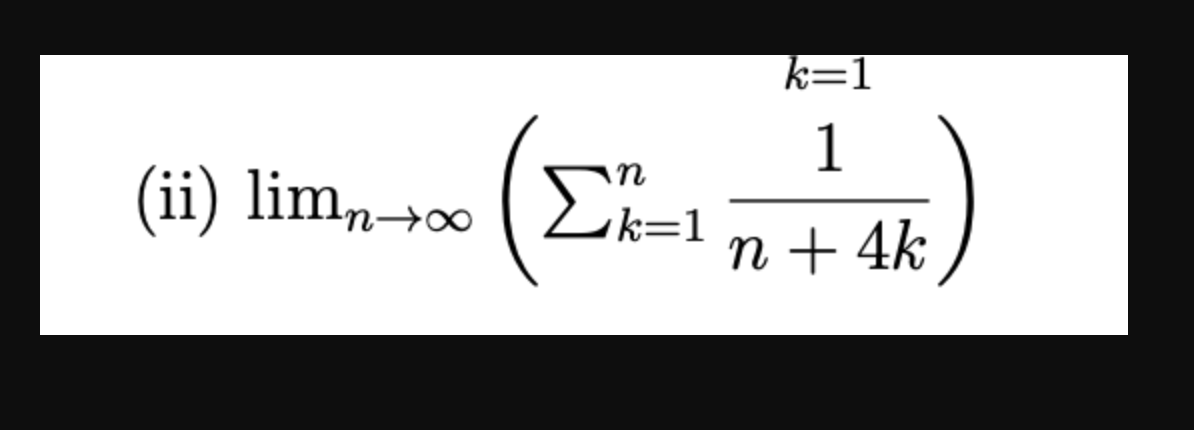
2
New cards
ln5/4
3
New cards
pi/4
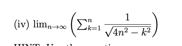
4
New cards
pi/6
5
New cards
pi/2