1/11
Looks like no tags are added yet.
Name | Mastery | Learn | Test | Matching | Spaced | Call with Kai |
|---|
No study sessions yet.
What is the differential rate law for a zero-order reaction?

What is the integrated rate law for a zero-order reaction?

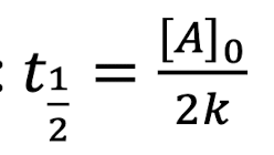
What is the half-life expression for a zero-order reaction?

What is the linear plot for a zero-order reaction?
Negative straight line.

What is the differential rate law for a first-order reaction?

What is the integrated rate law for a first-order reaction?

What is the half-life expression for a first-order reaction?

Q: What is the linear plot for a first-order reaction?
Negative straight line.

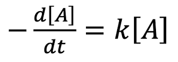
What is the differential rate law for a second-order reaction?

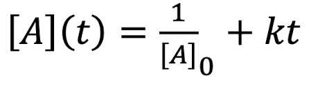
What is the integrated rate law for a second-order reaction?

What is the half-life expression for a second-order reaction?

What is the linear plot for a second-order reaction?
Positive straight line.
