1/52
Looks like no tags are added yet.
Name | Mastery | Learn | Test | Matching | Spaced | Call with Kai |
|---|
No study sessions yet.
Conditions of addition
low temperature, decreased entropy
Conditions of elimination
High temperature, increased entropy
What hydrohalogenation rxn looks like

hydrohalogenation markovnikov or anti?
Markovnikov if H-X
Anti if H-X & ROOR
hydrohalogenation reagents (markovnikov)
H-X (HCl, HI, HBr)
hydrohalogenation reagants (antimarkovnikov)
H-X & ROOR (peroxide)
hydrohalogenation steps for reaction mechanism
proton transfer
carbocation rearrangement/hydride shift (if possible)
nucleophilic attack
hydrohalogenation stereoselectivity
not stereoselective, will form racemic mixture
what hydration is
adding components of water (H & OH) over pi bond (double bond/alkene)
3 kinds of hydration
acid-catalyzed
oxymercuation-demurcuration
hydroboration-oxidation
what acid-catalyzed hydration rxn looks like

acid-catalyed hydation markovnikov or anti?
markovnikov
acid-catalyzed hydration reagents
something with H2O, often —
H3O+
dilute H2SO4
steps of acid-catalyzed hydration reaction
proton transfer (forms carbocation)
carbocation rearrangement (MAY occur)
nucleophilic attack (forms oxonium ion)
proton transfer again
order of reagents used in acid-catalyzed hydration for mechanisms
H3O+, H2O, H2O
stereoselectivity of acid-catalyzed hydration
forms racemic mixture, not stereoselective
when are acid-catalyzed hydration reactions fastest
with more substituted alkenes (form more stable carbocations)
what oxymercuration demercuration rxn looks like

oxymercuration demercuration reagents
1: Hg(OAc)2 & H2O OR alcohol
2: NaBH4
steps in oxymercuration demercuration rxn
oxymercuration (Add Hg(OAc)2)
demercuration (get rid of Hg(OAc)2 using NaBH4)

oxymercuration demercuration markovnikov or anti markovninov?
markovnikov
oxymercuration demercuration stereoselectivity
syn addition
what does hydroboration oxidation reaction look like

reagents used for hydroboration oxidation
1: BH3 * THF
2: N2O2 & NaO
hydroboration oxidation markovnikov or antimarkovnikov
anti markovnikov
hydroboration oxidation stereospecificity
syn addition
hydroboration oxidation steps
boron added to most crowded C, hydride added to other C of alkene simulatanesouly, syn addition
Boron is oxidized, loss of leaving group off boron gives product
what does catalytic hydrogenation rxn look like

catalytic hydrogenation reagents
H2
Pd, Pt, Ni, or Wilkinson’s catalyst
catalytic hydrogenation markovnikov or antimarkovnikov
neither - H is added to both carbons on alkene
catalytic hydrogenation stereospecificity
syn addition
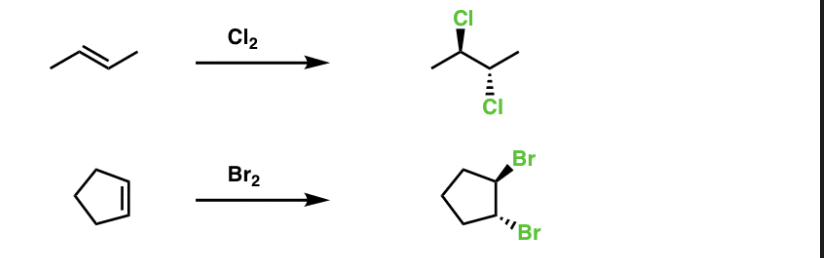
what does halogenation rxn look like

halogenation reagents
Cl2, Br2
CHCl3 (non-nucleophilic solvent)
halogenation markovnikov or anti
neither
halogenation stereoselectivity
anti addition
what does halohydrin formation look like

halohydrin formation reagents
Br2/Cl2
H2O
halohydrin order that reagents are used
Br2/Cl2
H2O
H2O
halohydrin markovnikov/antimarkovnikov
neither
halohydin stereoselectivity
anti addition
halohydrin regioselectivity
OH added to most substituted carbon
what does anti dihydroxylation rxn look like

anti dihydroxylation reagents
epoxy acid (RCO3H/MCBPA)
H3O+
anti dihydroxylation mechanism steps
formation of epoxide intermediate
epoxide protonated and nucleophilic attack opens ring (simultaneous)
anti dihydroxylation stereospecificity
anti addition (duh)
what does syn dihydroxylation look like

syn dihydroxylation steps
2 OHs added across pi bond & forms cyclic esters
cyclic esters hydrolyzed
syn dihydroxylation reagents
options
1) OsO4, Na2SO3/H2O
OR catalytic amount of OsO4 & NMO
2) KMnO4, NaOH
3) CH3CO3H & H3O
syn dihydroxylation stereospecificity
syn addition (duh)
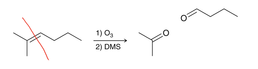
what does ozonolysis look like

ozonolysis steps
ozonide formed
ozonide reduced
ozonolysis reagents
1) O3
2) DMS (CH3-S-CH3) or Zn/H2O
types of alkene addition
hydrohalogenation
acid-catalyzed hydration
oxymercuration - demercuration hydration
hydroboration - oxidation hydration
catalytic hydrogenation
halogenation
hydride formation
anti dihydroxylation
syn dihydroxylation
ozonolysis