1/22
Looks like no tags are added yet.
Name | Mastery | Learn | Test | Matching | Spaced |
|---|
No study sessions yet.
f’[x] when given f[x] is some function described by {x[t], y[t]}
y’[t]/x’[t]
Dot product
x1y1 + x2y2 + x3y3
||x|| ||y|| Cos[theta]
Length of cross product
||A|| ||B|| Sin[theta]
XpushalongY
(X.Y)/(Y.Y)Y
Speed
Radical(P’[t] . P’[t])
Equation of a plane
{(x, y, z) - point} . normal = 0
A(x-x0) + B(y-y0) + C(z-z0) = 0
Gauss green
Integral(a to b) (m[x[t], y[t]] x’[t] + n[x[t], y[t]] y’[t])
{y’[t], -x’[t]}
right footed normal
always points out if counterclockwise
Mainunitnormal[t]

Binormal[t]

Unittan[t]

Tangent lines in 2D

Tangent planes in 3D

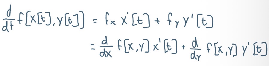
Total derivative (2D Chain rule)

Determining critical points

Hessian determinant

Direction derivative

Lagrange multipliers

Gauss green conditions to transform a double integral to a single integral

Formula for gradf[x, y]

Relationship between a level curve and gradient vectors

Equation of a line

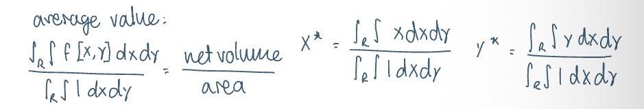
Average value and centroid
