B6 (mine)

0.0(0)
studied byStudied by 0 people
full-widthCall with Kai
GameKnowt Play
learnLearn
examPractice Test
spaced repetitionSpaced Repetition
heart puzzleMatch
flashcardsFlashcards
Card Sorting

1/94

encourage image

There's no tags or description

Looks like no tags are added yet.

Study Analytics
Name
Mastery
Learn
Test
Matching
Spaced

No study sessions yet.

95 Terms

1
New cards

what are the forms of B6 (6)

Pyrixidone (PN)

Pyridoxal (PL)

Pyridoxamine (PM)

Pyridoxine phosphate (PNP)

Pyridoxal phosphate (PLP)

pyridoxamine phosphate (PMP)

<p><span style="color: purple;"><em>Pyrixidone (PN)</em></span></p><p><span style="color: purple;"><em>Pyridoxal (PL)</em></span></p><p><span style="color: purple;"><em>Pyridoxamine (PM)</em></span></p><p><span style="color: purple;"><em>Pyridoxine phosphate (PNP)</em></span></p><p><span style="color: purple;"><em>Pyridoxal phosphate (PLP)</em></span></p><p><span style="color: purple;"><em>pyridoxamine phosphate (PMP)</em></span></p>
2
New cards

what is the stable form of B6?

pyridoxine

3
New cards

where is pyridoxine mainly found?

primarily found in plants

4
New cards

what other forms can be found in plants?

smaller amounts found of the other 2 forms (pyridoxal and pyridoxamine), as well as phosphorylated form 

5
New cards

Animal sources consist of what form(s) of B6?

pyridoxal phosphate (PLP) & pyridoxamine phosphate (PMP)

6
New cards

what is main functional form in the body?

pyridoxal (PL) and pyridoxal phosphate (PLP)

7
New cards

Some _____ forms found in plants are less ____

glucoside

bioavailable

8
New cards

what is a major issue with B6

bioavailability due to processing

9
New cards

alcohol form of B6

Pyridoxine

10
New cards

aldehyde form

pyridoxal

11
New cards

amine form

Pyridoxamine

12
New cards

prior to absorption, what must occur 

phosphorylated forms must be dephosphorylates 

13
New cards

How are phosphorylated forms dephosphorylated?

by alkaline phosphatase (zn dependent)

14
New cards

alkaline phosphatase is dependent on what?

Zinc

15
New cards

absorption occurs in ___ via ___

jejunum via passive diffusion

16
New cards

absorption rates

61-92%

17
New cards

within intestinal cells, what can occur

some pyridoxine can be phosphorylated

18
New cards

Most PN, PL & PM are released to ____

portal blood

19
New cards

what occurs in the liver to B6 that allows for function?

forms are converted into PLP (interconversion)

<p><span style="color: purple;">forms are converted into PLP&nbsp;(interconversion)</span></p>
20
New cards

where does interconversion of B6 forms occur? 

liver (SUPER IMPORTANT)

21
New cards

PN become what, how?

PNP through kinase (ATP)

<p><span style="color: purple;">PNP through kinase (ATP)</span></p>
22
New cards

PM becomes what, how?

PMP through kinase (ATP)

<p><span style="color: purple;">PMP through kinase (ATP)</span></p>
23
New cards

kinase is _____ dependent

ATP

24
New cards

PMP/PNP can become what?

PLP

<p><span style="color: purple;">PLP</span></p>
25
New cards

in order for PMP/PNP to become PLP, what is needed?

oxidase (PMP or PNP oxidase)—> FMN dependent 

LACKING IN MANY OTHER TISSUES

<p><span style="color: purple;">oxidase (PMP or PNP oxidase)—&gt; FMN dependent&nbsp;</span></p><p></p><p><span style="color: purple;"><em>LACKING IN MANY OTHER TISSUES</em></span></p>
26
New cards

PMP & PNP oxidase is dependent on

FMN (riboflavin)

<p><span style="color: purple;">FMN (riboflavin)</span></p>
27
New cards

in order for PLP, PMP, and PNP to be converted back into unphosphorylated form, what is needed?

phosphatase enzyme

<p><span style="color: purple;">phosphatase enzyme</span></p>
28
New cards

what is the main form of B6 in blood? 

pyridoxal phosphate (PLP) —> 60-90%

29
New cards

what can happen to PL in RBC

phosphorylated into PLP and bound to hemoglobin

30
New cards

must PL be phosphorylated?

no, it may stay as PL

31
New cards

In RBC, PL binds to ___ of ____ & PLP bind to ____

PL binds to alpha chain of hemoglobin

PLP binds to beta chain of hemoglobin

32
New cards

In plasma, PLP & PL are bound to ____

albumin (small amounts of PM also binds)

33
New cards

before it PLP can be uptake into other tissues, what must occur to it?

hydrolyzed by alkaline phosphatase

34
New cards

conversion of Pyridoxamine or pyridoxamine phosphate -> Pyridoxal phosphate uses what

FMN-dependent oxidase

<p><span style="color: purple;">FMN-dependent oxidase</span></p>
35
New cards

liver stores how much of B6?

5-10% (NOT MAJOR STORAGE, but major for metabolism)

36
New cards

what occurs to all 3 forms of B6 in the liver?

they are phosphorylated

37
New cards

where is PLP mostly stored?

muscle (75-80%)

38
New cards

PLP in the muscle is bound to

glycogen phosphorylase

39
New cards

glycogen phosphorylase is an enzyme associated w/ ...

glycogen utilization (breakdown of glycogen into glucose uses PLP; PLP adds the phosphate to glucose to form G6P and make it useful)

40
New cards

can most tissues form PLP?

NO..

41
New cards

what cant most tissues make PLP?

they lack PMP/PNP oxidase enzymes (FMN dependent) needed to convert PN/PM into PLP

42
New cards

what tissues can the coenzyme form also be found in

brain

kidneys

spleen

43
New cards

Functions of B6 (9 general)

100+ reactions

decarboxylation of AA (decarboxylase)

• transamination (transaminase)

• Transelenation (selenium)

• rearrangement of Amino Acids (D- & L- AA)

Heme synthesis

• CHO metabolism

•Lipid metabolism

• Neurotransmitter synthesis

• Conversion of tryptophan -> niacin

44
New cards

Transamination Rx uses what forms of B6 as coenzyme?

PMP & PLP

45
New cards

Transamination Rx is related to what enzyme

transaminase

46
New cards

what are the main 2 aminotransferase enzymes?

  • aspartate aminotransferase (AST) also known as glutamate oxaloacetate (GOT)

  • Alanine aminotransferase (ALT) also known as glutamate pyruvate tranaminase (GPT)

47
New cards

Transamination Rx: important for formation of what

Schiff base compounds (Carbon Nitrogen double bonds)

48
New cards

how does PLP/PMP work in transamination of AA

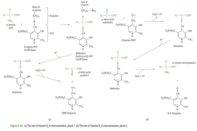
PLP will bind to enzyme --> Amino acid will bind to PLP (forming schiff base compounds) --> then whole structure becomes ketimine when it rearrange samino acid to become keto acid--> then release keto acid

 

PMP will bind to enzyme --> keto acid will bind to PMP becoming ketimine--> then will become aldimine when rearranges keto acid to become amino acid-->  then PMP will release amino acid

<p><span style="color: purple;"><em>PLP will bind to enzyme --&gt; Amino acid will bind to PLP (forming schiff base compounds) --&gt; then whole structure becomes ketimine when it rearrange samino acid to become keto acid--&gt; then release keto acid</em></span></p><p><span style="color: purple;">&nbsp;</span></p><p><span style="color: purple;"><em>PMP will bind to enzyme --&gt; keto acid will bind to PMP becoming ketimine--&gt; then will become aldimine when rearranges keto acid to become amino acid--&gt;&nbsp; then PMP will release amino acid</em></span></p>
49
New cards

cysteine is made from what starting compound?

methionine

<p><span style="color: purple;">methionine</span></p>
50
New cards

what is needed for cystein synthesis?

PLP for transsulfyhydration

51
New cards

___ is synthesized from methionine via ___ (what reaction)

cysteine; transsulfyhydration

52
New cards

cysteine can eventually lead to the synthesis of what compound

pyruvate

53
New cards

Cysteine undergoes ____ followed by ___ to generate pyruvate

dehydration , transamination

54
New cards

Transelenation involves conversion of ___ to ____

selenomethionine to selenocysteine

55
New cards

how does cysteine metabolism begin? (what compound)

with methionine

<p><span style="color: purple;">with methionine </span></p>
56
New cards

methionine is converted into what?

homocysteine 

<p><span style="color: purple;">homocysteine&nbsp;</span></p>
57
New cards

homocysteine -> is converted into what (enzyme?)

cystathione via Cystathione synthase (PLP)

<p><span style="color: purple;">cystathione via Cystathione synthase (PLP)</span></p>
58
New cards

what enzyme is used to convert homocysteine into cystathione?

cystathionine synthase

59
New cards

cystathionine synthase depends on

PLP

<p><span style="color: purple;">PLP</span></p>
60
New cards

Cystathione is converted into what? enzyme?

Cysteine via cystathione lyase (PLP)

<p><span style="color: purple;">Cysteine via cystathione lyase (PLP)</span></p>
61
New cards

conversion of cystathionine to cysteine uses what enzyme?

cystathionine lyase

<p><span style="color: purple;">cystathionine lyase </span></p>
62
New cards

cystathionine lyase depends on

PLP

<p><span style="color: purple;">PLP</span></p>
63
New cards

Cysteine can convert to?

Taurine (no PLP needed)

<p><span style="color: purple;">Taurine (no PLP needed)</span></p>
64
New cards

B6 role with neurotransmitter?

involved in decarboxylation 

65
New cards

in which reactions is B6 involved regarding neurotransmitter decarboxylation?

Glutamate —> GABA (via glutamate decarboxylase)

Tryptophan —> serotonin (decarboxylation reaction)

<p><span style="color: purple;">Glutamate —&gt; GABA (via glutamate  decarboxylase)</span></p><p><span style="color: purple;">Tryptophan —&gt; serotonin (decarboxylation reaction) </span></p>
66
New cards

Glutamate -> GABA uses what

Glutamate decarboxylase (B6)

67
New cards

homocysteine (from methionine metabolism) produces what? (effect) 

toxic effect on arterial wall (atherosclerosis) 

68
New cards

S-hydroxytryptophan -> S-hydroxytryptamine (serotonin) uses what

Aromatic AA & Decarboxylase (PLP)

69
New cards

homocysteine is metabolized by what vitamins?

B6, B12, Folate

70
New cards

regarding heme synthesis, what form of B6 is needed?

PLP

71
New cards

how is PLP involved in heme synthesis

required for amino-levulinic acid synthase (uses glycine and succinyl CoA to synthesize delta-aminolevulinic acid (ALA))

72
New cards

What does amino-levulinic acid synthase do?

uses glycine and succinyl CoA to synthesize delta-aminolevulinic acid (ALA)

73
New cards

ALA is used to synthesize ___

porphobilinogen

74
New cards

porphobilinogen is a precursor for?

porphyrin synthesis which will results in formation of heme

75
New cards

other functions of B6? (5)

  • Formation of niacin from tryptophan also requires PLP as a cofactor for a rate limiting enzyme

  • Involved in formation of histamine from histadine

  • Synthesis of dopamine from taurine

  • Steroid receptor binding activity is modulated by presence of B6

  • serine synthesis and metabolism (shown in folic acid lecture)

76
New cards

B6 and niacin?

Formation of niacin from tryptophan requires PLP as a cofactor in rate limiting enzyme (kynureninase)

<p><span style="color: purple;">Formation of niacin from tryptophan requires PLP as a cofactor in rate limiting enzyme (kynureninase)</span></p>
77
New cards

B6 is involved in formation of ___ from histidine

histamine

<p><span style="color: purple;">histamine</span></p>
78
New cards

what enzyme is needed to form histamine from histidine (dependent on?)

histidine decarboxylase (PLP)

<p><span style="color: purple;">histidine decarboxylase (PLP)</span></p>
79
New cards

B6 is involved in the synthesis of ___ from taurine

dopamine

80
New cards

What is modulated by B6

steroid receptor binding

81
New cards

what covered in folate lecture uses B6 (for its synthesis and metabolism)

serine

82
New cards

glycogen degradation and B6?

PLP is needed for glycogen phosphorylase activity

83
New cards

Glycogen degradation: ___ from PLP bind to form ____

phosphate

glucose-1-phosphate

84
New cards

major metabolite of B6?

4-pyridoxic from PL oxidation

85
New cards

4-pyridoxic is excreted how?

excreted via urine

86
New cards

4-pyridoxic excretion is indicative of

intake levels

87
New cards

Large doses of PN can result in....

intact urinary losses & 5-& 4- pyridoxic acid

88
New cards

excretion via feces

little or no excretion

89
New cards

RDA for men & women

Men 19-50: 1.3mg

men 51<: 1.7mg

women: 19-50: 1.3mg

women 51<: 1.5mg

90
New cards

RDA for prg & lact & daily value

pregnancy: 1.9mg

lactation: 2.0mg

DV: 2mg

91
New cards

Deficiency of B6 can result in (5)

• Microcytic hypochromic anemia

• Seborrheic dermatitis

• Convulsion, depression, confusion

• Reduced immune response

• Peripheral nerve damage

92
New cards

Toxicity of B6 (causes what?)

• Sensory & peripheral neuropathy

• UL = 100 mg

93
New cards

Alcohol effects formation of what

PLP formation

94
New cards

L-DOPA-medication used to treat Parkinson's disease and anti-tuberculosis medication isoniazids affects of PLP

-Reduce blood concentration of PLP

-require supplementation of B-6

95
New cards

assessment of adequacy for B6? (6)

Tryptophan loading test

xanthurenic excretion

Plasma PLP concentrations

urinary B6 & 4-pyridoxic

enterocyte transaminase activity (before & after)

transaminase enzymes (w/ B6 bolus)