Theme 2 formules methoden & statistiek

0.0(0)
studied byStudied by 0 people
0.0(0)
full-widthCall Kai
learnLearn
examPractice Test
spaced repetitionSpaced Repetition
heart puzzleMatch
flashcardsFlashcards
GameKnowt Play
Card Sorting

1/6

encourage image

There's no tags or description

Looks like no tags are added yet.

Study Analytics
Name
Mastery
Learn
Test
Matching
Spaced

No study sessions yet.

7 Terms

1
New cards

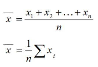
gemiddelde

2
New cards

Mediaan

knowt flashcard image
3
New cards

IQR en 1,5 × IQR regel

IQR = Q3 - Q1

<p>IQR = Q3 - Q1</p>
4
New cards

Variantie s3

5
New cards

standaarddeviatie s

knowt flashcard image
6
New cards

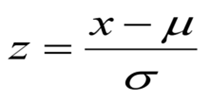
z-score

7
New cards

Inverse normale berekening