1/19
Looks like no tags are added yet.
Name | Mastery | Learn | Test | Matching | Spaced | Call with Kai |
|---|
No study sessions yet.
For Galilean relativity what is special about the laws of mechanics?
Must be the same in all inertial frames of reference
What are inertial frames of reference?
Ones at rest or constant velocity
What is special about time for Galilean relativity?
Time is absolute
Give Newton’s 3 laws in reference frame language
there exist inertial frames of reference relative to which a particle acted on by no forces moves on a straight line at constant speed.
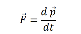
If a particle is measured in an inertial frame of reference to experience a net force then(see image)
In the absence of any exteernal forces, the total momentum of a system of N particles remains constant

What is important about Newtonian equations under Galilean transformations?
They are invariant under them and both agreed time is absolute
What did Huygens suggest Maxwell waves oscillate through?
A luminiferous aether
What would it mean if light did move through an aether?
We would be able to detect an aether “wind” as the earth is moving arounfd the sun
What 3 ideas did Einstein put forward to solve these problems?
ALL the laws of physics are the same in every inertial frame of reference
The speed of light C is the same in all frames of reference
Time is now absolute
Give the gamma factor

When are muons created?
When very high energy consmic rays hit the upper atmosphere
When muons are produced what speed do they move at?
99.9% the speed of light
Give formula for time dilation

Give formula for length contraction

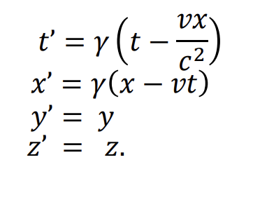
Give Lorentz transformations

Give Galilean transformations

What is special about relativity in terms of symmetry?
It is symmetric
What is an invariant quantity?
One which does not change value as S → S’
What is a covariant quantity?
One which changes in a well understood way through a transform, it moves with the frame eg. x → x’
Give equations for momentum, KE, rest mass energy, total energy, and energy-momentum relation
