1/45
Przygotowujące flashcardy do analizy matematycznej na podstawie notatek z wykładów.
Name | Mastery | Learn | Test | Matching | Spaced | Call with Kai |
|---|
No analytics yet
Send a link to your students to track their progress
Jakie są przekształcenia wykresów funkcji: -f(x)?
y = -f(x): symetria względem osi OX;

1. Na czym polegają przekształcenia wykresów funkcji: f(-x)?
Wykonaj podane przekształcenie.
y = f(-x): symetria względem osi OY;

1. Na czym polegają przekształcenia wykresów funkcji: |f(x)|?
Wykonaj podane przekształcenie.
y = |f(x)|: część wykresu y = f (x) znajdującego się pod osią 0X odbijamy symetrycznie względem osi 0X
a resztę pozostawiamy bez zmian. W ten sposób otrzymujemy funkcję o wartościach nieujemnych.
(wykres znajduje się w I i II ćwiartce)

1. Na czym polegają przekształcenia wykresów funkcji: f(|x|)?
Wykonaj podane przekształcenie.
y = f (|x|): wykreślamy y = f(x) dla x > = 0, następnie odbijamy symetrycznie otrzymany wykres względem osi 0Y.

2. Definicja funkcji rosnącej (podaj definicję i podaj przykład takiej funkcji (wzór lub wykres))
Funkcja f : X → R jest rosnąca, jeśli
∀x1, x2∈X x1 < x2 ⇒ f(x1) < f(x2).
Przykład: f(x) = \sqrt[3]{x} lub f(x) = e^{x}
![<p>Funkcja f : X → R jest rosnąca, jeśli</p><p class="has-focus">∀x1, x2∈X x1 < x2 ⇒ f(x1) < f(x2).</p><p class="has-focus">Przykład: f(x) = $$\sqrt[3]{x}$$ lub f(x) = $$e^{x}$$</p>](https://knowt-user-attachments.s3.amazonaws.com/a11c4382-f5a5-41ed-8806-d9b1cf80a61d.jpg)
3. Definicja funkcji malejącej (podaj definicję i podaj przykład takiej funkcji (wzór lub wykres)).
Funkcja f : X → R jest malejąca, jeśli
∀x1,x2∈X x1 < x2 ⇒ f(x1) > f(x2).
Przykład: f(x) = \log_{\frac14}x

4. Definicja funkcji różnowartościowej (podaj definicję i podaj przykład takiej funkcji (wzór lub wykres)). Podaj przykład funkcji nie różnowartościowej.
• Funkcja jest różnowartościowa, jeżeli dla każdych dwóch różnych argumentów przyjmuje różne wartości:
• ∀x1,x2∈X x1 ≠ x2 ⇒ f(x1) ≠ f(x2)
• Przykład funkcji różnowartościowej: f(x) = x^3
• Przykład funkcji nieróżnowartościowej: f(x) = x2.

Podaj przykład funkcji nieróżnowartościowej.
Przykład funkcji nieróżnowartościowej: f(x) = x^3
Podaj przykład funkcji różnowartościowej.
Przykład funkcji różnowartościowej: f(x) = x^2
5. Definicja funkcji parzystej (podaj definicję i podaj przykład takiej funkcji (wzór lub wykres)).
Funkcja f : X → R jest parzysta, jeśli
∀x∈X (−x) ∈ X ∧ f(−x) = f(x).
Przykład: f(x) = x^2

6. Definicja funkcji nieparzystej (podaj definicję i podaj przykład takiej funkcji (wzór lub wykres)).
Funkcja f : X → R jest nieparzysta, jeśli
∀x∈X (−x) ∈ X ∧ f(−x) = −f(x).
Przykład: f(x) = x^3

7. Umiejętność składania funkcji, np. dla f (x) = sin(x), g (x) = 3x + 6, wykonać podane złożenie h(x)=g(h(x)) i k(x)=f(g(x)).
f(x) = sin(x), g(x) = 3x + 6:
• h(x) = g(f(x)) = 3(sin(x)) + 6.
• k(x) = f(g(x)) = sin(3x + 6)

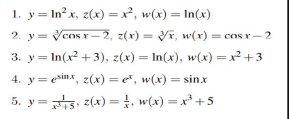
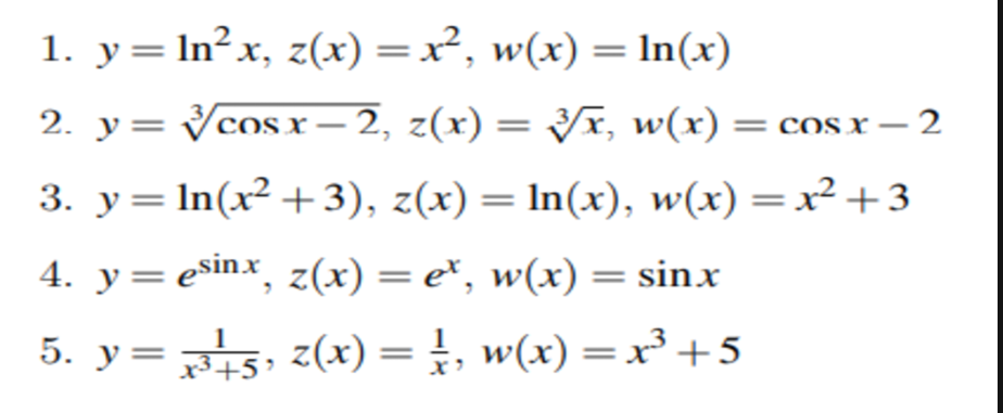
8. Podać funkcję zewnętrzną z(x) i wewnętrzną w(x) dla przykładowych funkcji złożonych.

9. Podać przykład funkcji, która nie posiada granicy w punkcie 0 (wraz z umiejętnością wyjaśnienia). Zilustruj przykładem.

10. Wymień symbole nieoznaczone. Dla podanego przykładu granicy określ jaki to symbol.

11. Definicja funkcji ciągłej.
Funkcja f : X → R jest ciągła w punkcie x0 wtedy i tylko wtedy, gdy
1. x0 ∈ X, 2. istnieje skończona limx→x0 f(x) 3. limx→x0 f(x) = f(x0).
Funkcja f jest funkcją ciągłą (jest ciągła) w zbiorze X, jeżeli jest ona ciągła w każdym punkcie x0 ∈ X.
Funkcja dana wzorem f(x) = 1/x jest funkcją ciągłą w swojej dziedzinie.
12. Definicja asymptoty pionowej lewostronnej.
Narysuj wykres podanej asymptoty.
\lim_{x\rightarrow x0-}f\left(x\right)=+-\infty


12. Definicja asymptoty pionowej prawostronnej.
Narysuj wykres podanej asymptoty.

12. Definicja asymptoty pionowej obustronnej.
Narysuj wykres podanej asymptoty.

13. Definicja asymptoty poziomej.
Narysuj wykres podanej asymptoty.

14. Definicja asymptoty ukośnej.
Narysuj wykres podanej asymptoty.

15. Co to znaczy, że funkcja f jest różniczkowalna na przedziale (a,b)?
Podaj przykład funkcji nieróżniczkowalnej w punkcie (wzór lub wykres),
Funkcja jest różniczkowalna na przedziale (a, b), jeżeli posiada pochodną w każdym punkcie x ∈ (a,b).
Definicja 6. Pochodną funkcji f : (a,b) → R w punkcie x0 ∈ (a,b) nazywamy skończoną granicę ilorazu różnicowego
(o ile istnieje)

16. Zilustruj definicję pochodnej jako tangens nachylenia stycznej do wykresu funkcji.
f ′ (x) = tangens nachylenia stycznej do wykresu f w punkcie (x, f(x)) nazywamy pochodną funkcji.
Prosta AC jest styczną do wykresu f w punkcie (x0, f(x0)). f ′ (x0) = tgβ, gdzie β jest kątem nachylenia stycznej do wykresu f w punkcie (x0, f(x0)). Równanie stycznej AC : y = f(x0) + f ′ (x0)(x−x0).

17. Warunek konieczny różniczkowalności funkcji. Zilustruj przykładem.
Jeżeli funkcja f jest różniczkowalna w punkcie x0 ∈ (a,b), to jest w tym punkcie ciągła. (Jeżeli funkcja jest różniczkowalna to jest ciągła.)
[Oznacza to, że ciągłość jest cechą "słabszą" – każda funkcja, która ma pochodną, musi być ciągła, ale nie każda funkcja ciągła musi mieć pochodną].
![<p>Jeżeli funkcja f jest różniczkowalna w punkcie x0 ∈ (a,b), to jest w tym punkcie ciągła. (Jeżeli funkcja jest różniczkowalna to jest ciągła.) </p><p class="is-empty is-editor-empty has-focus">[Oznacza to, że ciągłość jest cechą "słabszą" – każda funkcja, która ma pochodną, musi być ciągła, ale nie każda funkcja ciągła musi mieć pochodną]. </p>](https://knowt-user-attachments.s3.amazonaws.com/54c84d9d-c946-4f82-ac63-6e52b23f32a6.png)
18. Do których granic można zastosować regułę de l’Hospitala? Dla kilku przykładów wskazać granice wraz z uzasadnieniem.
Stosuje się ją do obliczania granic funkcji w przypadku otrzymania symboli nieoznaczonych [∞/ ∞] lub [0 /0].
Twierdzenie mówi, że jeśli istnieje granica ilorazu pochodnych to jest ona równa granicy ilorazu funkcji.
![<p>Stosuje się ją do obliczania granic funkcji w przypadku otrzymania symboli nieoznaczonych [∞/ ∞] lub [0 /0]. </p><p class="is-empty is-editor-empty has-focus">Twierdzenie mówi, że jeśli istnieje granica ilorazu pochodnych to jest ona równa granicy ilorazu funkcji.</p><p class="is-empty is-editor-empty has-focus"> </p>](https://knowt-user-attachments.s3.amazonaws.com/8dc6e6b9-516f-444f-9263-b80e7f230e81.png)
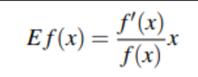
(1) Definicja i interpretacja (dla podanego przykładu) elastyczności funkcji jednej zmiennej.
Definicja 1. Niech f będzie funkcją opisującą pewne zjawisko w ekonomii, funkcję E f określoną wzorem:
Interpretacja: E f(x0) jest równa w przybliżeniu procentowej zmianie wartości funkcji f(x) wywołanej
1%-wym przyrostem zmiennej x od poziomu x0.
• Obliczamy pochodną (np.: stosując wzór na pochodną funkcji złożonej)
• Podstawiamy do wzoru na elastyczność.
• Obliczamy wartość w punkcie x0 = …
• Interpretacja: Jeśli x wzrośnie o 1% od poziomu …, to wartość funkcji wzrośnie o % ceteris paribus.

20. (2) Elastyczność funkcji potęgowej. Dla podanego przykładu podać elastyczność wraz z interpretacją.
Elastyczność funkcji potęgowej f(x) = Axα jest stała i wynosi tyle ile potęga.
E f(x) = α (dla dowolnego punktu x0 elastyczność funkcji wynosi α)
Przykład 1. Oblicz elastyczność funkcji f(x) = 3x 2 w punkcie x0 = 5. E f(x) = 2.
Interpretacja: Jeśli zmienna x wzrośnie o 1% od poziomu x0 = 5, to wartość funkcji wzrośnie o 2%, ceteris paribus.
Przykład 2. Oblicz elastyczność funkcji f(x) = 2 √4 x w punkcie x0 = 3. E f(x) = 1 4 (bo f(x) = 2 √4 x = 2 · x 1 4 ) Interpretacja: Jeśli zmienna x wzrośnie o 1% od poziomu x0 = 3, to wartość funkcji wzrośnie o 0,25%, ceteris paribus.
21. Warunek dostateczny monotoniczności funkcji.
Niech f : (a,b)→ R będzie funkcją różniczkowalną na (a,b).Jeżeli f′(x) > 0 dla każdego x ∈ (a,b), to funkcja f jest ściśle rosnąca w przedziale (a,b).
Warunek f ′ (x) > 0 nie jest warunkiem koniecznym na to by funkcja była rosnąca, gdyż f(x) = x 3 jest funkcją ściśle rosnącą, ale f ′ (0) = 2 · 0 = 0.
Twierdzenie 2 (Warunek dostateczny monotoniczności funkcji). Niech f : (a,b)→ R będzie funkcją różniczkowalną na (a,b). Jeżeli f′(x) < 0 dla każdego x ∈ (a,b), to funkcja f jest ściśle malejąca w przedziale (a,b).
22. (3) Zasada Fermata:
warunek konieczny istnienia ekstremum dla funkcji jednej zmiennej.
Jeżeli funkcja f posiada w punkcie x0 ekstremum lokalne i jest w nim różniczkowalna, to jej pochodna w tym punkcie musi wynosić zero: f '(x0) = 0.
(Punkt, w którym pochodna się zeruje, nazywamy punktem stacjonarnym).
23. (4) Warunek dostateczny istnienia ekstremum dla funkcji jednej zmiennej.
Jeżeli f'(x0) = 0 (punkt stacjonarny) oraz pochodna f'(x) zmienia znak przy przejściu przez ten punkt:
• Zmiana z + na - \rightarrow maksimum lokalne.
• Zmiana z - na + \rightarrow minimum lokalne.
24. Warunek dostateczny wypukłości i wklęsłości funkcji.
Narysuj wykres funkcji wypukłej/wklęsłej.
Twierdzenie 6 (warunek dostateczny wypukłości funkcji). Niech f : (a,b) → R oraz (c,d) ⊂ (a,b). Jeżeli f ′′(x) > 0 dla dowolnego x ∈ (c,d), to funkcja f jest wypukła w przedziale (c,d).
Twierdzenie 7 (warunek dostateczny wypukłości funkcji). Niech f : (a,b) → R oraz (c,d) ⊂ (a,b). Jeżeli f ′′(x) < 0 dla dowolnego x ∈ (c,d), to funkcja f jest wklęsła w przedziale (c,d).

25. Definicja punktu przegięcia funkcji. Podaj przykład punktu przegięcia na wykresie.
• Punkt x_0 nazywamy punktem przegięcia, jeśli w punkcie tym następuje zmiana charakteru funkcji z wypukłej na wklęsłą (lub odwrotnie).
• Punkt x0 ∈ (a,b) nazywamy punktem przegięcia wykresu funkcji f jeśli w pewnym przedziale (c, x0) ⊂ (a,b) funkcja f jest wypukła oraz w pewnym przedziale (x0,d) ⊂ (a,b) funkcja f jest wklęsła, albo odwrotnie.

26. Warunek konieczny i dostateczny istnienia punktu przegięcia.
Warunek konieczny: Jeżeli w punkcie x_0 istnieje punkt przegięcia i funkcja jest dwukrotnie różniczkowalna,
to f''(x0) = 0.
Warunek dostateczny: Jeżeli f''(x0) = 0 oraz druga pochodna f'' zmienia znak przy przejściu przez punkt x0, to x0 jest punktem przegięcia.
Twierdzenie 8 (Warunek konieczny istnienia punktu przegięcia). Niech f : (a,b)→ Y będzie funkcją różniczkowalną, posiadającą drugą pochodną w punkcie x0 ∈ (a,b). Jeżeli wykres funkcji f posiada w punkcie (x0, f(x0)) punkt przegięcia, to f ′′(x0) = 0.
Twierdzenie 9 (Warunek dostateczny istnienia punktu przegięcia). Niech f : (a,b) → Y będzie funkcją dwukrotnie różniczkowalną w dziedzinie. Jeżeli f ′′(x0) = 0, oraz druga pochodna f ′′ zmienia znak przy przejściu przez punkt x0”, to (x0, f (x0)) jest punktem przegięcia wykresu funkcji f (x).
27. (5) Tempo wzrostu i spadku funkcji. Narysuj wykres funkcji o podanym tempie wzrostu.
Definicja 4. Funkcja f : (a,b) → R rośnie coraz szybciej (wolniej), jeżeli kolejnym przyrostom argumentów odpowiada coraz większy (mniejszy) przyrost wartości funkcji.
Twierdzenie 10. Niech funkcja f będzie dwukrotnie różniczkowalna w przedziale (a,b). Jeżeli spełnione są
warunki f ′ (x) > 0 ∧ f ′′(x) > 0 dla x ∈ (a,b), to funkcja f rośnie coraz szybciej na (a,b).
Twierdzenie 11. Niech funkcja f będzie dwukrotnie różniczkowalna w przedziale (a,b). Jeżeli spełnione są
warunki f ′ (x) > 0 ∧ f ′′(x) < 0 dla x ∈ (a,b), to funkcja f rośnie coraz wolniej na (a,b).
Twierdzenie 12. Niech funkcja f będzie dwukrotnie różniczkowalna w przedziale (a,b). Jeżeli spełnione są
warunki f ′ (x) < 0 ∧ f ′′(x) < 0 dla x ∈ (a,b), to funkcja f maleje coraz szybciej.
Twierdzenie 13. Niech funkcja f będzie dwukrotnie różniczkowalna w przedziale (a,b). Jeżeli spełnione są
warunki f ′ (x) < 0 ∧ f ′′(x) > 0 dla x ∈ (a,b), to funkcja f maleje coraz wolniej.
Przykład 7. Rozważmy funkcję f(x) = 1 3 x 3 +2x 2 +1. Wtedy f ′ (x) = x 2 +4x, f ′′(x) = 2x+4.
• Funkcja f rośnie coraz szybciej gdy f ′ (x) > 0 i f ′′(x) > 0, zatem x ∈ (0,∞),
• Funkcja f rośnie coraz wolniej gdy
f ′ (x) > 0 i f ′′(x) < 0, zatem x ∈ (−∞,−4),
• Funkcja f maleje coraz szybciej gdy f ′ (x) < 0 i f ′′(x) < 0, zatem x ∈ (−4,−2),
• Funkcja f maleje coraz wolniej gdy f ′ (x) < 0 i f ′′(x) > 0, zatem
x ∈ (−2,0),

28. (6) Definicja całki nieoznaczonej.
Rodzinę funkcji pierwotnych nazywamy całką nieoznaczoną funkcji f(x).
Definicja 1. Niech f : (a,b) → R. Każdą funkcję F : (a,b) → R różniczkowalną w przedziale (a,b) i spełniającą w tym przedziale warunek F 0 (x) = f(x) nazywamy funkcją pierwotną funkcji f(x) w przedziale (a,b).
29. (7) Podstawowe twierdzenie rachunku całkowego
(Twierdzenie Newtona-Leibniza).
Jeżeli f : [a,b] → R jest ciągła oraz F jest funkcją pierwotną funkcji f to
Aby obliczyć całkę oznaczoną właściwą należy:
1. wyznaczyć dziedzinę funkcji oraz sprawdzić, czy przedział całkowania [a,b] ⊂ D?
2. obliczyć całkę nieoznaczoną (tj. funkcję pierwotną F(x))
3. obliczyć całkę oznaczoną z tw. Newtona-Leibniza obliczając F(b) − F(a).
![<p>Jeżeli f : [a,b] → R jest ciągła oraz F jest funkcją pierwotną funkcji f to </p><p class="is-empty is-editor-empty has-focus">Aby obliczyć całkę oznaczoną właściwą należy: </p><p class="is-empty is-editor-empty has-focus">1. wyznaczyć dziedzinę funkcji oraz sprawdzić, czy przedział całkowania [a,b] ⊂ D? </p><p class="is-empty is-editor-empty has-focus">2. obliczyć całkę nieoznaczoną (tj. funkcję pierwotną F(x)) </p><p class="is-empty is-editor-empty has-focus">3. obliczyć całkę oznaczoną z tw. Newtona-Leibniza obliczając F(b) − F(a). </p>](https://knowt-user-attachments.s3.amazonaws.com/4775d3f8-2e0a-401d-b057-195128c53d30.png)
30. (8) Interpretacja geometryczna całki oznaczonej.
(pole pod wykresem funkcji, pole między krzywymi).
Jeśli funkcja f jest ciągła w przedziale [a,b] oraz przyjmuje tylko wartości nieujemne, to POLE OBSZARU ograniczonego wykresem funkcji y = f(x), osią OX oraz prostymi x = a i x = b jest równe całce oznaczonej.
W przypadku, gdy f przyjmuje tylko wartości niedodatnie, to pole obszaru pomiędzy wykresem funkcji f ,
prostymi x = a i x = b oraz osią OX jest równe. Rozważmy funkcję ciągłą f : [a,b] → R oraz obszar ograniczony wykresem funkcji f , prostymi x = a i x = b oraz osią OX
UWAGA: Należy pamiętać, że pole obszaru jest liczbą dodatnią Pole obszaru ograniczonego wykresami funkcji
g i f w przedziale [a,b] spełniającymi w tym przedziale warunek g(x) 6 f(x) jest równe:
Rozważmy ciągłe funkcje f,g: [a,b] → R, takie, że g(x) 6 f(x) oraz obszar ograniczony wykresami funkcji f i g oraz
prostymi x = a i x = b
![<p>Jeśli funkcja f jest ciągła w przedziale [a,b] oraz przyjmuje tylko wartości nieujemne, to POLE OBSZARU ograniczonego wykresem funkcji y = f(x), osią OX oraz prostymi x = a i x = b jest równe całce oznaczonej. </p><p class="is-empty is-editor-empty has-focus">W przypadku, gdy f przyjmuje tylko wartości niedodatnie, to pole obszaru pomiędzy wykresem funkcji f , </p><p class="is-empty is-editor-empty has-focus">prostymi x = a i x = b oraz osią OX jest równe. Rozważmy funkcję ciągłą f : [a,b] → R oraz obszar ograniczony wykresem funkcji f , prostymi x = a i x = b oraz osią OX </p><p class="is-empty is-editor-empty has-focus"> </p><p class="is-empty is-editor-empty has-focus">UWAGA: Należy pamiętać, że pole obszaru jest liczbą dodatnią Pole obszaru ograniczonego wykresami funkcji </p><p class="is-empty is-editor-empty has-focus">g i f w przedziale [a,b] spełniającymi w tym przedziale warunek g(x) 6 f(x) jest równe: </p><p class="is-empty is-editor-empty has-focus">Rozważmy ciągłe funkcje f,g: [a,b] → R, takie, że g(x) 6 f(x) oraz obszar ograniczony wykresami funkcji f i g oraz </p><p class="is-empty is-editor-empty has-focus">prostymi x = a i x = b </p><p class="is-empty is-editor-empty has-focus"> </p>](https://knowt-user-attachments.s3.amazonaws.com/5dbbeca2-5f73-4a9c-bc60-6604cfcfd9d7.png)
31. Definicja macierzy diagonalnej, jednostkowej, trójkątnej dolnej i trójkątnej górnej, symetrycznej.

32. (9) Jakie znasz przekształcenia elementarne macierzy. Jak wpływają one na rząd i wyznacznik macierzy.
Wpływ na rząd i wyznacznik:
Rząd: Przekształcenia elementarne nie zmieniają rzędu macierzy.
• Wyznacznik:
o Pomnożenie wiersza przez alpha: wyznacznik zmienia się o czynnik alpha (det(B) = alpha * det(A)).
o Zamiana wierszy: wyznacznik zmienia znak (det(B) = - det(A)).
o Dodanie kombinacji liniowej innego wiersza: wyznacznik nie zmienia się (det(B) = det(A)).

33. (10) Własności wyznacznika dla macierzy diagonalnej i trójkątnej dolnej/górnej. Twierdzenie Cauchy’ego.
• Dla macierzy diagonalnej oraz trójkątnej (dolnej lub górnej) wyznacznik jest równy iloczynowi elementów na głównej przekątnej (det(A) = a_{11} \cdot a_{22} \cdot ... \cdot a_{nn}).
• Twierdzenie Cauchy'ego: Jeżeli A i B są macierzami kwadratowymi tego samego stopnia,
• to det(AB) = det(A) * det(B).
• Jeżeli macierz An jest diagonalna, to det(A) = a11a22 · ... · ann,
• Jeżeli macierz An jest trójkątna (dolna lub górna), to det(A) = a11a22 · ... · ann,
• Twierdzenie Cauchy’ego: Jeżeli An i Bn, to det(AB) = det(A) det(B).
34. (11) Co to jest rząd macierzy?
Jaki znasz związek między rzędem a wyznacznikiem macierzy kwadratowej.
• Rząd macierzy: Jest to liczba niezerowych wierszy macierzy schodkowej (powstałej po przekształceniach elementarnych).
• Związek z wyznacznikiem: Dla macierzy kwadratowej stopnia n, jeżeli det(A) \neq 0, to rząd macierzy wynosi n (rzA = n). Jeśli det(A) = 0, to rzA < n.
Definicja 4. Rząd macierzy jest równy liczbie niezerowych wierszy macierzy schodkowej. Wiersz niezerowy to taki, który zawiera choć jeden element różny od zera.
Jeżeli macierz A jest kwadratowa stopnia n i det(A) 6= 0, to rzA = n.
35. (12) Podaj definicję macierzy odwrotnej.
Kiedy istnieje macierz odwrotna do macierzy A? Co wiesz o rzędzie i wyznaczniku macierzy odwrotnej.
Definicja 5. Macierzą odwrotną do kwadratowej macierzy A nazywany macierz A −1 spełniającą warunek:
A * A −1 = A −1 *A = I. (macierz jednostkowa).
Twierdzenie 1. Niech A będzie macierzą kwadratową stopnia n. Macierz odwrotna A −1 istnieje wtedy i tylko wtedy gdy macierz A jest nieosobliwa. ( detA ≠ 0.)

36. (13) Podaj twierdzenie Cramera.

37. (14) Podaj twierdzenie Kroneckera -Capellego.
Układ równań Ax = b posiada rozwiązanie wtedy i tylko wtedy, gdy rząd macierzy głównej jest równy rzędowi macierzy uzupełnionej: rzA = rz[A|b].
Twierdzenie 1 (Kroneckera - Capellego). Układ równań Ax = b, gdzie Am×n, b ∈ R m, x ∈ R n posiada rozwiązanie wtedy i tylko wtedy, gdy rzA = rz [A|b].
38. Wniosek z twierdzenia Kroneckera -Capellego.
Wniosek 1. Dany jest układ równań Ax = b, gdzie Am×n, b ∈ R m, x ∈ R n .
1. Jeżeli rzA = rz [A|b] = n, (n - ilość niewiadomych), to układ jest oznaczony. (jedno rozwiązanie).
2. Jeżeli rzA = rz [A|b] < n, (n - ilość niewiadomych), to układ jest nieoznaczony. (nieskończenie wiele rozwiązań).
3. Jeżeli rzA 6= rz [A|b], to układ jest sprzeczny. (brak rozwiązań)
zań).
39. (15) Czy jednorodny układ równań liniowych może być sprzeczny? Odpowiedź uzasadnij.
Nie, jednorodny układ równań
(postaci Ax = 0) nigdy nie może być sprzeczny.
Uzasadnienie: Zawsze posiada przynajmniej jedno rozwiązanie – wektor zerowy (x=0), ponieważ A \cdot 0 = 0. Zbiór rozwiązań takiego układu jest zawsze niepusty.
Definicja 3. Układ równań postaci Ax = 0 nazywamy układem jednorodnym. Nie trudno zauważyć, (powołując się na twierdzenie Kroneckera - Capelli’ego), że układ nigdy nie może być układem sprzecznym.
Wektor 0 spełnia zależność A0 = 0. Zbiór rozwiązań takiego układu jest zatem zbiorem niepustym. Jeżeli układ jednorodny jest oznaczony, wówczas zbiór rozwiązań jest zbiorem jednoelementowym, zawierającym wektor zerowy.