1/83
Looks like no tags are added yet.
Name | Mastery | Learn | Test | Matching | Spaced | Call with Kai |
|---|
No analytics yet
Send a link to your students to track their progress
os fármacos resinosos são
ácidos diterpenicos
utilizações dos farmacos resinosos
− Desinfetantes pulmonares
− Modificadores das secreções brônquicas
− Expectorantes
− Antisséticos das vias urinárias
− Cosmética
− Perfumaria
caracteristicas dos oleos resinas
− Líquidos espessos de composição química complexa (óleo essencial + resina)
− Localizadas em bolsa ou canais
− Obtidas por incisões
− Existem pré-formadas ou não
descrever o processamento da oleo resina terebentina
1- faz-se incisões no tronco de pinheiros e obtem-se o oleo resina terebintina.
2- a terebentina sofre destilação por corrente de vapor de água e obtemos o oleo essencial de terbentina que é volatil e a colofonia (pez louro) que não é volatil.

1- quem é?
2- faz parte de que?
3- percursor biossintetico e via
1- ácido dextro-pimárico - farmacos resinosos
2- faz parte do oleo resina terebintina e da colofonia
não é sensivel ao calor
3- percursor: pirofosfato de geranilo-geranilo, porque tem 20 carbonos e a via é a desoxixilulose fosfato pq estamos perante um diterpeno

1- quem é?
2- faz parte de que?
3- percursor biossintetico e via
1- ácido levo-pimárico - farmacos resinosos
2- faz parte do oleo resina
3- percursor: pirofosfato de geranilo-geranilo, porque tem 20 carbonos e a via é a desoxixilulose fosfato pq estamos perante um diterpeno

quem é e como de forma:
é o acido abiético - farmacos resinosos
ele forma-se através da destilação por corrente de vapor da terebentina (oleo resina), mais propramente do ácido levo-pimárico que como é sensivel ao calor origina este composto
este composto não tem como percursos o pirafosfato de geranilo-geranilo pq ele não existe naturalmente na planta, só se formando se a planta sofrer destilação
constituição da colofonia ou pez de louro
ácido dextro-pimárico e acido abiético
(farmacos resinosos)
constituição do oleo essencial de terebintina e percursor e via
monoterpenos, mais especificamente o alfa e beta pineol
percursor: pirofosfato de geranilo
via: desoxixilulose fosfato
(farmacos resinosos)
Usos da Colofónia ou Pez Louro (farmacos resinosos)
Adesivo
Tintas
Vernizes
sabões
o que são bálsamos?
Óleo-resinas ricas em ácido cinâmico e/ou benzoico e respetivos esteres → Obtidos por exsudação, após incisões nos troncos das respetivas espécies produtoras
(farmacos resinosos)
utilização de balsamos
aromatizantes e antisséticos, em farmácia e em cosmética
poder adesivo para sacos de colostomia
(farmacos resinosos)

benzoato de coniferilo
esq: ester do ácido benzoico
direita: alcool coniferilico
pertence aos balsamos
(farmacos resinosos)

cinemato de benzilo
esq: alcool benzilico
direita: ester do ácido cinamico
pertence aos balsamos
(farmacos resinosos)
cite funções dos saponosidos
agentes tensioativos, porque diminuem a tensão superficial formando espuma - propriedades afrogenicas
agentes contra bacterias e fungos porque permitem a lise das células por destruição das membranas celulares
diminuem o colesterol (pq se ligam a ele e impedem que este seja absorvido)
propriedades anticarcinogenicas
propridades ictiotoxicas nos animais de sangue frio
propriedades hemoliticas ao serem administrados por iv
imunoestimulatoria
Os saponósidos (preferencialmente via mevalonato) são heterósidos em que a genina pode ter:
Natureza esteroídica (27 átomos de carbono, esqueleto espirostano ou furostano)
Triterpénica (30 átomos de carbono, esqueleto oleanano, ursano, lupano, etc.)
percursor dos triterpenos e via
o percursor é o escaleno que é originado por 2 moleculas de pirofosfato de farnesico
via: mevalonato

quem é?
saponosido
nucleo esteroide e espirostano
R (por causa do H) - isosapogenina
é a digitogenina
via: mevalonato
percursor: esqualeno

saponosido
nucleo esteroide e espirostano
R (por causa do H)
é a smilagenina - isosapogenina
via: mevalonato
percursor: esqualeno

saponosido
nucleo esteroide e espirostano
S (por causa do CH3) - neosapogenina
é a sarsapogenina
via: mevalonato
percursor: esqualeno
o que são oleananos?
são as geninas triterpenicas pentaciclicas dos saponosidos
As atividades dos saponósidos dependem da estrutura da genina?
sim

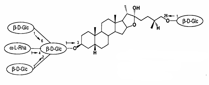
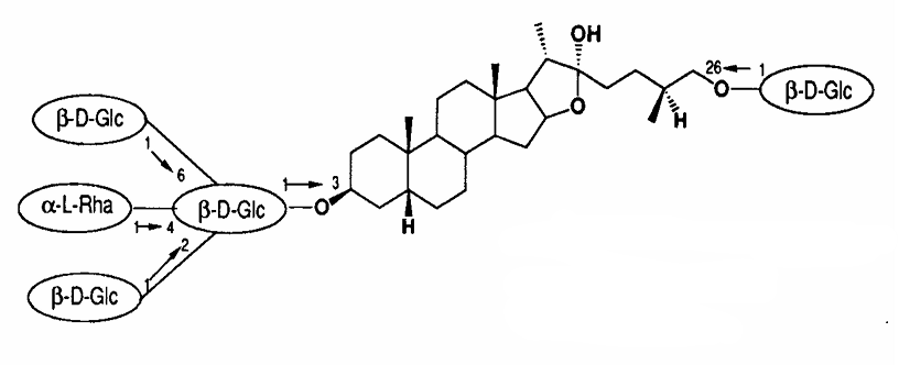
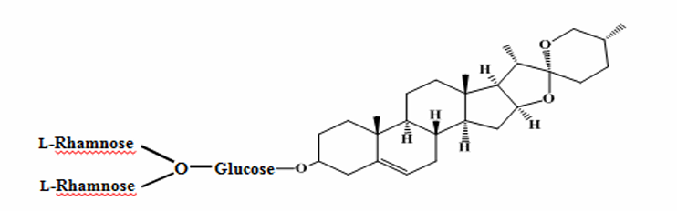
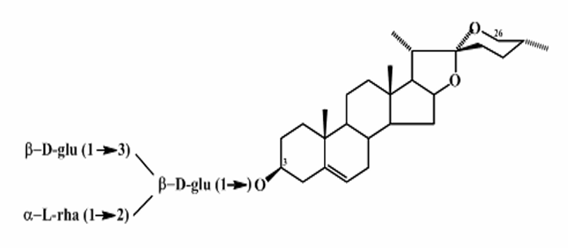
sarsaparilosida
é um saponosido
no C4 e no 14 não tem grupos metilo —> nucleo esteroide
nucleo furastano (pq não ha ciclização)
bidesmosido - pq tem 2 cadeias de açucar

o que acontece à sarsaparillosida se sofrer hidrolise ácida
as ligações eter - que são as dos açucares - são quebradas e obtemos açucares e como o carbono 26 deixa de estar bloqueado ele cicliza com o OH e forma um nucleo espirostano originando a sarsapogenina:

Monodesmosidos (saponosidos)
maior atividade hemolítica, bacteriostática, fungicida e moluscicida
Bidesmosidos (saponosidos)
maior propriedade afrogénica (causa espuma), pq tem duas cadeias de açucares
Os saponósidos hemolíticos da genina esteroídica provocam maior hemólise do que os de genina triterpénica?
sim

especie
parte da planta
nome
caracteristicas
Alcaçuz (Glycyrrhiza glabra)
Raízes e rizomas
glicirrizina / ácido glicirrizico
é um monodesmosido, triterpenico, pentaciclico, oleanano e ao C2 do anel A tem ligado 2 ácidos glucoronicos
via: mevalonato
percursos: escaleno

a glicerrizina se sofrer hidrolise acida, fica sem os acidos glucoronicos e origina uma genina:
qual o seu nome?
propriedades farmacologicas
origina o acido glicirretico
anti-inflamatório de ação tópica (inibe as enzimas que degradam o cortisol, sendo o cortisol um anti-inflamatório) sendo usado em eczemas, picadas de insetos, dermatites, seborreicas da cara….

Ações farmacológicas (do extrato de alcaçuz): - não calha muito
antitússico, antiulceroso, anti-inflamatório, antibacteriano, hepatoprotetor, imunoestimulante, cicatrizante (terapêutica só o usa pela ação anti-inflamatória)
ação farmacologica da B escina:
anti-edematoso (em casos de insuficiência venolinfatica)
Ação antiradicalar
anti-inflamatorio
anestesico local indicado no tratamento de ulceras da mucosa bucal
ação ao nível dos capilares: aumento da RVP e diminuição da permeabilidade capilar
Inibição da hialuronidase ( o que faz com que haja maior quantidade de ácido hialurónico que tem ação anti-inflamatória)

especie
parte da planta
nome
caracteristicas
Castanheiro-da-índia
Sementes
beta - escina

o que acontece quando há Hidrolise ácida e básica da beta-escina
forma-se a beta escigenina + 2 glucpses + 1 ac glucoronico + acido acetico + acido acetico

quem tem maior atividade farmacologica a B escina ou a B escigenina?
A beta escina tem maior atividade farmacologica

especie
parte da planta
nome
propriedades farmacologicas:
caracteristicas
Gilbardeira ( Ruscus aculeatus)
rizomas e raizes
ruscosido
Agonista adrenérgico alfa promovendo a vasoconstrição e ação direta sobre as fibras da parede vascular (ação antiradicalar, aumenta resistência e diminui permeabilidade) - vasoconstrição
maior atividade farmacológica quanto menor o nº de açucares

desglucoruscósido
ruscosido Sem a glucose na cadeia glicídica do OH em C1 (furostano)

desglucoruscina
Sem as duas glucoses é desglucoruscina (espirostano)
Sem a glucose no OH em C26 é ruscina (espirostano)

especie
parte da planta
nome
propriedades farmacologicas:
caracteristicas
Sénega - Polygala senega
orgãos subterrâneos
(saponosido)


especie
parte da planta
nome
propriedades farmacologicas:
caracteristicas
Calêndula
flores
Lupeol
usos: antipruriginoso, em eritema solar e em pequenas queimaduras, tem propriedades cicatrizantes e anti-inflamatórias locais - usado em dermatologia
saponosido de genina triterpenica de esqueleto oleanano e lupano

especie
parte da planta
nome
propriedades farmacologicas:
caracteristicas
Giseng - Panax ginseng
raiz
Ginsenosido Rb1
Tratamento da disfunção erétil: aumento da síntese do ácido nítrico, um vasodilatador. O NO induz a enzima guanilato ciclase, com produção de guanosina monofosfato cíclica (GMPc), a qual atua nos recetores adrenérgicos beta-2, provocando o relaxamento do musculo liso, provocando vasodilatação

biossintese dos iridoides e secoiridoides
derivados dos monoterpenos
via: desoxixilulose fosfato
percursor: geraniol, que deriva do pirofosfato de geranilo
imagem é o eugenol

que partes se usam da valeriana?
órgãos subterrâneos (rizomas, raízes e estolhos (caules subterrâneos)
a valeriana é constituida principalmente por:
ácido valerenico: sesquiterpeno —> via mevalonato e percursor é o pirofosfato de farnesilo
valtrato, acevaltrato e isovaltrato: iridoides —> via desoxixilulose fosfato, percursor: geraniol

quem é e propriedade farmacologica
ácido valerénico, pertence à valeriana
sesquiterpeno —> via mevalonato e percursor é o pirofosfato de farnesilo
não é um iridoide pq não possui o heterociclo O
agonista direto do recetor GABA - liga-se diretamente ao recetor

valtrato, acevaltrato e isovaltrato
pertencem à valeriana
são iridoides: iridoides —> via desoxixilulose fosfato, percursor: geraniol

nomes
como se formam
propriedade farmacologica
baldrinal e homobaldrinal
Durante a secagem e armazenamento da planta valeriana , da hidrolise (parcial) dos valepotriatos resultam o baldrinal ou homobaldrinal ainda os ácidos isovalérico e hidroxi-isovalérico que conferem à valeriana o seu cheiro característico.
ação sedativa (ansiolítica – inibem a recaptação do GABA - mas não se ligam ao recetor)

o que são e como se formam
ácido isovalerico e acido hidroxi-isovalerico
Durante a secagem e armazenamento da planta valeriana , da hidrolise (parcial) dos valepotriatos resultam o baldrinal ou homobaldrinal ainda os ácidos isovalérico e hidroxi-isovalérico que conferem à valeriana o seu cheiro característico.

nome da planta
local da planta
nome das moleculas
atividade farmacologica
garra do duabo
raiz tuberizada
tradicionalmente utilizado no tratamento sintomático de manifestações articulares dolorosas” (anti-inflamatório – inibição da 5-lipoxigenase e da COX2, de prostaglandinas e tromboxanos, da produção de oxido nitrico, da via nfkb, de citocinas pro inflamatorias)


nome da planta
local da planta
nome das molecula
atividade farmacologica
oliveira
folhas
oleaceína
febrífugo, hipoglicemiante, anti-hipertensor pq inibe a enzima de conversão da angiotensina I em II

quem é que possui S, os glucosinolatos ou os heterosidos cianogenicos?
glucosinolatos
biossintese dos glucosinolatos

o isocianato provoca
diminuição de risco de desenvolvimento de carcinoma, sendo esta relação mais evidente para os carcinomas do estomago, colon e reto (trato digestivo)
o tiocianato provoca
inibidores da fixação do iodo pela tiroide, originando bócio.
eles inibem a T3 e a T4
a hidrolise dos glucosinolatos origina
isotiocianato, tiocianato e nitrilo

classe
nome
planta
percursor
glucosinolato (tem S)
Sinalbina
mostarda branca
tirosina

classe
nome
planta
percursor
glucosinolato (tem S)
Sinigrina
mostarda negra
homo metionina
tanto os heterosidos cianogenicos como os glucosinolatos para serem toxicos, necessitam
de sofrer uma reação quimica e contusão
sintese dos heterosidos cianogénicos

como se processa a cianogénese


classe
nome
percursos
planta
parte da planta
heterosido cianogenico
amigdalina / amigdalósido
fenilalanina ( não tem oh em para)
amendoeira amarga
semente


classe
nome
percursos
planta
parte da planta
heterosido cianogenico
linamarina
valina
mandioca
raiz
o que acontece em casos de intoxicação aguda de heterosidos cianogenicos
os compostos cianogenicos spfrem hidrolise apartir das enzimas glucosidase e da alfa- hidroxinitrilo liase, produz-se entre outras, o HCN
Em casos em que o HCN é demasiado para o organismo o remover, fazendo com que a reação de destoxificação não seja suficiente para remover o tanto de HCN
o ácido cianídrico liga-se à citocromo c oxidase mitocondrial na cadeia transportadora de electrões
Isso dificulta a geração de ATP e utilização do oxigénio
É produzida anoxia histotóxica - pessoa morre por falta de oxigénio
o que acontece em casos de intoxicaçãom cronica de heterosidos cianogenicos
Há uma ingestão continua de HCN em pequenas quantidades e a rodanase está sempre a trabalhar e a fazer a reação de destoxificação, no figado, que consiste na rodanase a utilizar o tiossulfato para converter o HCN em tiocianato.
desta forma a rodanase está sempre a trabalhar e a quantidade de tiocianatos aumenta
o aumento de tiocianatos pode levar a : bocio, pq interfere com a produção de T3 e T4 o que diminui a captação de iodo; mielopatia tropical com início súbito de paralisia espástica subsequente estimulação dos receptores de glutamato neuronais pelo tiocianato.

Acção dos cardiotónicos:
Aumento da força e velocidade de contracção do miocárdio (Acção inotropa positiva)
efeitos parassimpaticomimeticos:
Diminuição da frequência cardíaca (Acção cronotropa negativa)
Diminuição da velocidade da condução na junção auriculo-ventricular (Acção dromotropa negativa)

nome
genero da planta
porque é importante?
diosgenina
discoriaceas, inhama
porque dá origem à maior parte dos farmacos esteroides

nome
genero da planta
como é obtida
hecogenina
agaves
Após a separação do sumo (tem hecogenósido) das folhas do sisal, o sumo é submetido a uma fermentação prolongada com a consequente hidrolise das saponósidos e obtenção da Hecogenina.

nomes
1- sarsapogenina
2- smilagenina

nome
importancia
dioscina
ao sofrer hidrolise ácida obtem-se a discigenina

nome
importancia
Gracilina
ao sofrer hidrolise ácida obtem-se a discigenina
processo de extração da diosgenina
1- inhamas tem dioscina e gracilina que ao acidionar agua acida sofrer hidrolise ácida e os açucares saem obtendo-se uma fração insoluvel que é a diosgenina
2- ela é neutralizada e lavada e é extraida com um solvente apolar como o tolueno ou o eter de petroleo
fonto de smilagenina e da sarsapogenina ( tambem obtida pelo sarsaparilosido)
smilax
conversão das sapogeninas em esteroides com interesse farmaceutico


quem é?
progesterona

quem é?
testoesterona
os cardiotonicos são utilizados no
tratamento da insuficiencia cardiaca congestiva e em algumas perturbações do ritmo cardiaco
caracteristicas que uma molecula tem de ter para ser um cardiotonico
A atividade cardiotónica está associada apenas à genina, sendo a parte glicídica importante somente no que concerne os aspetos farmacocinéticos.
Lactona em C17: encadeamento O=C-C=C e a substituição em configuração
o Na configuração dos anéis: encadeamento cis (A/B), trans (B/C), cis (C/D) o No caso dos substituintes: há a possibilidade de a configuração
dos carbonos 3 e 14 ser mais importante do que a existência de hidroxilos ligados a esses carbonos

quem é?
digoxigenina ( cardiotonico, mais especificamente cardenolido)

quem é?
oubagenina (cardiotonico, mais especificamente cardenolido)

nome
planta + especie
parte da planta
nome dos açucares
digoxina
Digitalis lanata (dedaleira)
folhas
digitoxose

quem é? de que planta se extrai esta genina + as 3 desoxioses?
digitoxigenina
dedaleira - digitalis purpurea

quem é
gitoxigenina
qual é a diferença dos heterosidos primarios e secundarios, nos cardiotonicos
heterosidos 1º: possuem no final da cadeia glicidica uma glucose
heterosidos 2º: por ação da b- glucosidade já não tem a glucose na terminal da cadeia

nome
açucar
planta
particularidade
ubaina
ramnose
estrofano
quem tem insuf cardiaca congestiva tinha de a tomar todos os dias, o probloema é que ela é uma molecula com muitos OH logo é muito polar o que faz com que tenha de ser administrada por via IV. não é pratico dar todos os dias um medicamento por via intravenosa, por isso foi descontinuada

nome
nome da genina
cilareno A