1/25
Credit to gappremsofc on Quizlet thank you diva
Name | Mastery | Learn | Test | Matching | Spaced |
|---|
No study sessions yet.
3-methylpentanoic acid

2-cyclohexenecarboxylic acid

Propanoic acid

4-methylpentanoic acid

3-Ethyl-6-methyloctanedioc acid

trans-4-hydroxycyclohexanecarboxylic acid

cyclopent-1-enecarboxylic acid

acetyl chloride

benzoyl bromide

cyclohexanecarbonyl chloride

acetic anhydride

benzoic anhydride

succinic anhydride

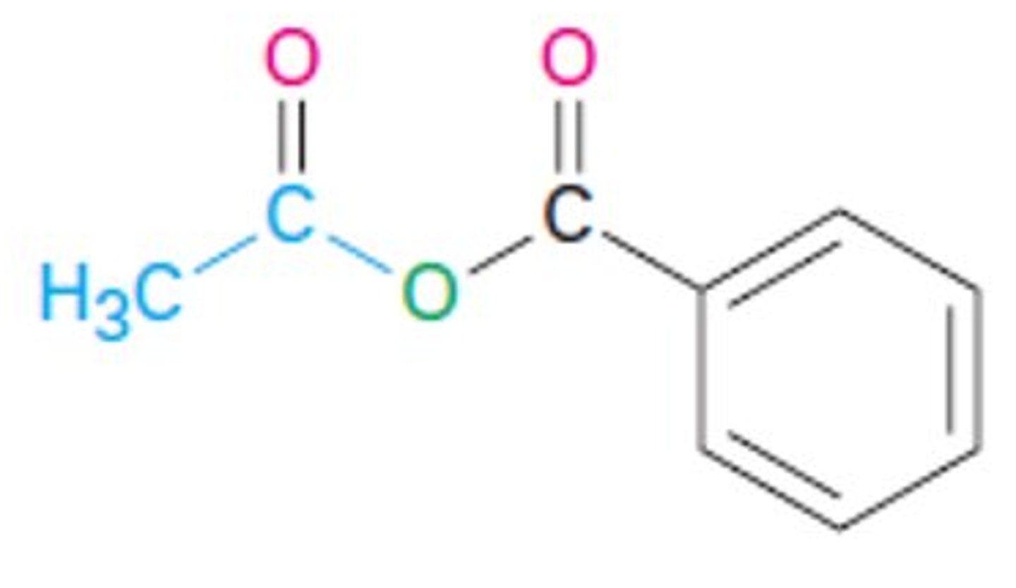
acetic benzoic anhydride

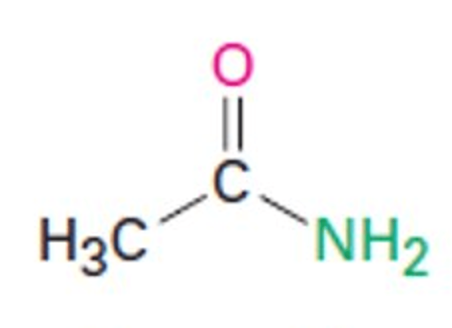
Acetamide

hexanamide

cyclopentanecarboxamide

N-methylpropanamide

N,N-diethylcyclohexanecarboxamide

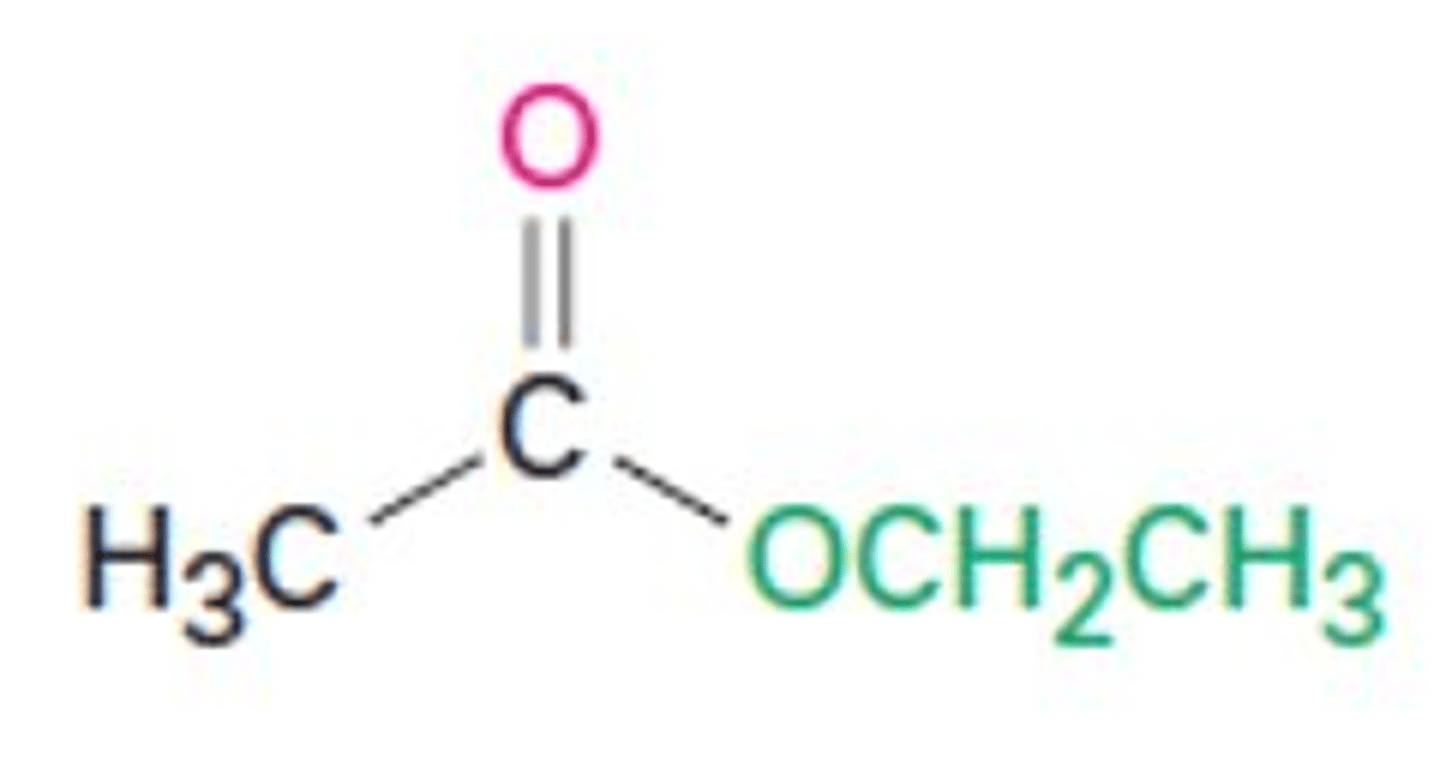
Ethyl acetate

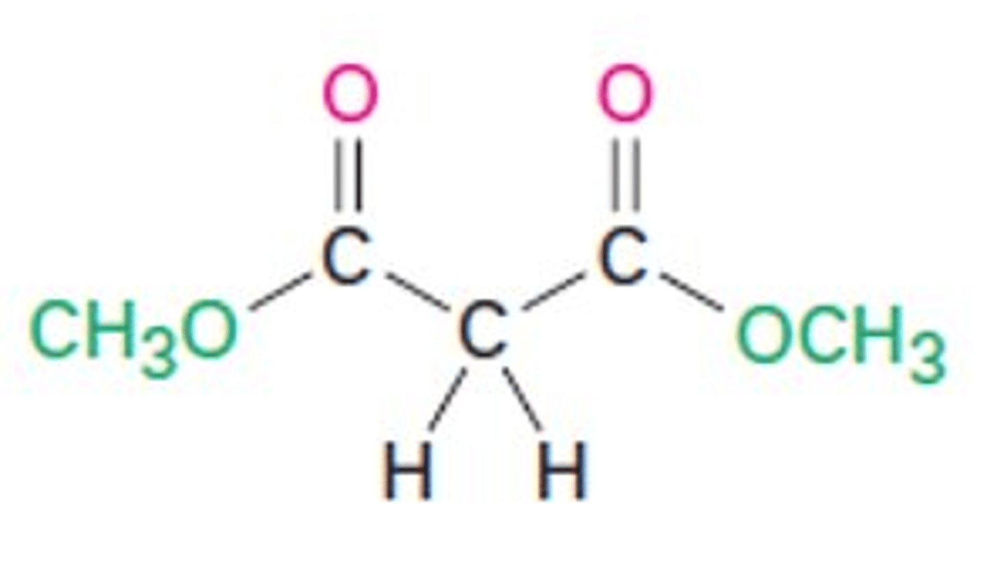
Dimethyl malonate

tert-butyl cyclohexane carboxylate

4-methylpentanenitrile

Acetonitrile

benzonitrile

2-dimethylcyclohexanecarbonitrile
