1/188
Looks like no tags are added yet.
Name | Mastery | Learn | Test | Matching | Spaced |
|---|
No study sessions yet.
unification
two seemingly different phenomena can be explained by the same fundamental principle
The first great unification was with Newton’s laws of motion
Another great unification—one that we have witnessed in this guide—is that between electricity and magnetism.
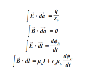
There is no better way to summarize this connection than via a set of equations put together by James Clerk Maxwell
Maxwell’s equations:

The first equation describes how an electric field is created around charge (This equation is actually the full mathematical form of Gauss’s law)
The second equation is similar, but it applies to magnetic fields
The third equation is Faraday’s law, which says that a changing magnetic field gives rise to an electric field.
. The fourth equation is Ampere’s law, which says that an electric current, or any changing electric field, gives rise to a magnetic field
The final term in this equation is Maxwell’s contribution and is known as Maxwell’s displacement current.
why does the second equation equal 0
The reason this equation equals zero is because it is impossible to draw a closed surface through which there is a non-zero magnetic flux. In other words, there are no individual magnetic charges, only dipoles
Maxwell’s displacement current. This term refers to the changing electric field between the plates of a discharging capacitor.
Maxwell was the first to write out all these ideas in a rigorous mathematical form and explicitly define what is meant by an electric and/or magnetic “field” in the form of an equation.
Maxwell also found something else that tied them all together, revealing something that was greater than the sum of its parts.
magine that the aforementioned proton is quickly moving back and forth. The electric field will also be switching back and forth. This, in turn, will cause the magnetic field to switch back and forth. The combined effects of the oscillating electric and magnetic fields create what we call an electromagnetic wave
. While our bodies are not naturally capable of detecting electric or magnetic fields on their own, we do have a way of detecting changing electric and magnetic fields: our eyes
If the proton is oscillating back and forth with a frequency of 400 trillion times per second, it will create a wave with that same frequency. If the electric and magnetic fields inside our eyes are oscillating at 400 trillion times per second
then our eyes send a signal to our brain that tells us we are seeing the color red
If the frequency increases to 500 trillion times per second, then we see it as yellow
A frequency of 600 trillion times per second is green
700 trillion times per second is blue.
All the colors of the rainbow are what we perceive due to different frequencies of electromagnetic waves
axwell discovered that light is an electromagnetic wave. Everything that light does are all phenomena that can also be described with the four equations listed above
Maxwell took the unification of electricity and magnetism and unified them both with the physics of light.
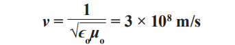
How did Maxwell know this? If you manipulate these equations mathematically, you get the equation that describes wave motion
The speed of these electromagnetic waves, from the above equations, turns out to be:

What is important is that if you combine them in the above way, you get a quantity with units of speed
The speed of light was already a known value, measured by astronomers (Figure 94). When Maxwell saw that the measured speed of light popped directly out of these equations, he realized that he was the first one to truly kno
the nature of light
Astronomers were able to measure the speed of light by noting the delay in observations of Jupiter’s moons depending on where Jupiter was in its orbit.
There are many different types of waves, such as ocean waves, sound waves, and electromagnetic waves
A wave is how we describe the transference of energy through a substance without any of the substance itself being transported
When the components of the material move back and forth in the same direction as the wave, we call this a longitudinal wave
One example of a longitudinal wave is sound
When you speak to someone, you do not send air from your mouth into their ears, but rather you make the air that is already in their ears vibrate((This is similar to how a power plant sends vibrations of electrons to your home, rather than electrons themselves.))
A transverse wave is one in which the direction of vibration is perpendicular to the direction of the wave.
transverse wave
pluck a guitar string
Another example is “the wave” in a sports stadium, where fans alternate lifting their hands up and down to create a wave that passes horizontally through the stands.
vertical height, which is the maximum distance the string vibrates from its stationary position
In physics, we use the Greek letter λ to describe the wavelength
For the wave on a string, the amplitude refers to the maximum height of the string as the wave goes through it.
For a sound wave, the amplitude describes the loudness of the sound
For a light wave, amplitude refers to the brightness of the light
the amplitude describes the intensity of the wave
Since a wave inherently describes something changing in time, we can also describe a wave with a sense of time
the wave frequency of the wave is how many full wavelengths pass through a given point per second.
The frequency of a wave is measured in hertz (Hz
Hertz is 1 wavelength per second. So, if one full wavelength passes through in one second, then the wave has a frequency of 1 Hz
If one wavelength passes through in 2 seconds, then the frequency is ½ Hz
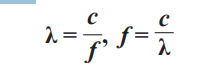
For any wave, we can combine the wavelength λ and the frequency f to get a quantity with units of meters over seconds, a velocity:
v = λf
The speed of sound waves in air is typically around 300 meters per second (760 mph)
The speed of light, on the other hand, is 300 million meters per second
the speed of sound is still very fast, but the speed of light is literally a million times faster. This is why you always see a lightning strike before you hear it as thunder; the light travels to you almost instantaneously, while the sound takes longer to get to you.
Sound is a wave that passes through a substance
Most of the time we hear sound traveling through air, but sound can also travel through water or even solid objects
Since sound is the vibration of a substance, if there is no substance, there will be no sound
Sound cannot travel through the vacuum of space
Light, on the other hand, is the variation of electric and magnetic fields, which exist everywhere, even if there is no substance there
So, light can travel through a vacuum just fine.
This is good news because we need the Sun’s light to be able to travel across the 100 million miles of vacuum between the Sun and the Earth in order to warm up our planet
So, light can travel through a vacuum just fine.
As a side bonus, we can also see the light of distant stars much further away, as there is no limit to how far light can travel if given enough time
the speed of light is itself a constant, usually represented as c
This makes analyzing light waves simple because if we know the wavelength of a light wave, then we automatically know its frequency and vice versa:

high-frequency wave will necessarily have a short wavelength, and a wave with a long wavelength will have a low frequency
different colors of the rainbow correspond to different frequencies and wavelengths of electromagnetic waves
The wavelengths of the visible spectrum range from 400 nanometers (blue) to 700 nanometers (red).
Any electromagnetic wave with a wavelength between those values can be seen by human eyes
White, for example, has no single wavelength but is a combination of multiple wavelengths added on top of each other
Black is the absence of any light at all.

If we consider the frequency at which charged particles have to move to create visible light waves (hundreds of trillions of times per second), it should be no surprise that lower frequencies are possible

If we go longer in wavelength and lower in frequency than red, then we get infrared.
The atoms of some objects (such as an incandescent lightbulb or toaster filament) are vibrating fast enough to emit visible light waves, but most of the time, things in our environment are not that hot
Instead, the atoms emit infrared radiation.
Although we cannot see infrared radiation, we can feel it as heat, as it still carries energy.
. Everything in our environment gives off some infrared radiation, especially our own bodies
We can see the “glow” of human bodies compared to their surroundings in thermal cameras, which can convert nonvisible light into visible colors, so we can see varying intensities of infrared light
microwave and radio wave parts of the spectrum. These are typically used in long-distance communication

Certain materials can be transparent to certain waves and opaque to others. Glass famously blocks infrared while allowing visible light to pass through. This feature gives rise to the Greenhouse Effect and makes reading glasses look like sunglasses in infrared vision.
Wi-Fi frequencies are typically in the microwave part of the spectrum
A microwave oven has a miniature particle accelerator inside of it, which causes electrons to emit microwave radiation
A microwave oven has a miniature particle accelerator inside of it, which causes electrons to emit microwave radiation
The waves themselves are large in wavelength compared to visible light, but they are still smaller than a centimeter.
On a typical microwave oven door, behind the glass window, you’ll see there’s a mesh of metal with circular holes in it These holes are too small for the microwaves themselves to get out, so there is no danger to you. Even if you were to power on the microwave with the door open (most modern ovens will not let you do this), the worst that could happen is that you might get uncomfortably hot from the radiation beaming out at you
. There is no danger from the radiation that occurs due to the normal use of a microwave oven. In fact, pretty much every other form of cooking carries danger, as gas stoves produce toxic chemicals, and gas/electric ovens are hot even when the door is open, leaving the potential for you to get burned
because Wi-Fi routers use microwaves, theoretically, if you gathered enough of them in a room, it would cook anything inside just like a microwave oven
If you want dangerous radiation, then you must go to the other end of the spectrum. Starting at violet, if you go higher in frequency and shorter in wavelength, then you get to ultraviolet radiation (often abbreviated as UV)
Ultraviolet radiation is most commonly associated with getting a sunburn
The higher the frequency, the more energy the waves tend to carry, and UV waves are energetic enough to break apart skin cells, damaging them.
Sunblock contains chemicals that are good at absorbing UV radiation, so it protects you from the worst of it
UV radiation does not just damage human skin, but it can also damage other materials. Many inks and dyes can be “bleached” when exposed to sunlight for a long period of time, losing their color.
The UV radiation in outer space is much more intense than on the surface of the Earth, so the American flag left on the Moon is nothing but a white flag by now due to the decades of direct sunlight exposure.
X-rays were discovered in 1895 by Wilhem Röntgen
X-rays were discovered in 1895 by Wilhem Röntgen, when he found that they were emitted by electrons accelerated by high voltages.
x rays
Röntgen later discovered that the small size of these waves allowed them to penetrate through many materials.
X-rays can pass through the small atoms in the skin, mostly hydrogen and oxygen (water), but they are absorbed by the large calcium atoms in our bones
This discovery led Röntgen to take the first X-ray photograph of his wife’s hand
Like UV rays, X-rays are generally harmful to the human body, though as with any dangerous substance, it is the dose that makes the poison. Getting a medical X-ray every once in a while does not expose you to dangerous levels
Gamma rays are the highest frequency, shortest wavelength electromagnetic waves.
Gamma rays do not typically come from electrons, but from atomic nuclei that are undergoing radioactive decay, and so they are mostly associated with nuclear fallout.
Everything from ultraviolet rays and beyond is referred to as ionizing radiation
ionizing radiation, which is radiation capable of breaking apart atoms within the human body.
there is fundamentally no difference between gamma rays, radio waves, and the color blue. They have different wavelengths and frequencies, but they are all electromagnetic waves.

When the current points up, the magnetic field points into the page on the right and out of the page on the left (Figure 105
As the current switches back and forth, the changes propagate away from the wire at the speed of light, creating the characteristic electromagnetic wave.

the electric field switches between going up and down
the magnetic field switches between going in and out
the wave travels to the right.
An electromagnetic wave contains oscillations of both electric and magnetic fields, both of which point perpendicular to the direction of wave travel
electromagnetic wave
Since electric charges are the origin of these waves, by convention we choose the electric field component of the wave to be the main direction of oscillation for the wave, otherwise referred to as the wave polarization.
If the electric field component of the wave oscillates in the +x and –x direction, then we say that the wave is polarized in the x direction
. This makes electromagnetic waves transverse waves since the direction of vibration is perpendicular to the direction of the wave.
A red filter will absorb any light passing through it that is not red, allowing only red light to pass through. The same is true of other color filters for their respective colors.
There are also polaroid filters, which absorb light polarized in a particular direction
Polaroid filters are composed of microscopically thin slits.
If the polaroid slits are arranged vertically, and an electromagnetic wave that is vertically polarized passes through, then this will accelerate the electrons inside, which will take energy away from the wave, effectively blocking that light from passing through.
These polaroid filters will only allow horizontally polarized light through.
Most sources of light give off unpolarized light, where the light coming from the source is not polarized in any particular direction, and so roughly half of it will be vertical and half will be horizontal.
When unpolarized light hits any polaroid filter, roughly half of the light will be absorbed. This is how polaroid sunglasses darken what you see
If you took two polaroid filters and held them at right angles to each other, then the vertically polarized light that got through one filter would then be absorbed by the other, so together they would block out nearly all the light

When unpolarized light reflects off a horizontal surface, such as the ground, it will tend to become polarized in the direction of the ground
Polaroid sunglasses are designed to absorb horizontally polarized light, so they reduce a lot of the glare that can come from reflected surfaces.
Light coming from computer screens is often polarized, so sunglasses can also block light from a screen if it is observed with the right (or perhaps wrong) angle.