AP Calc AB - Formulas

0.0(0)
studied byStudied by 9 people
0.0(0)
full-widthCall with Kai
GameKnowt Play
New
learnLearn
examPractice Test
spaced repetitionSpaced Repetition
heart puzzleMatch
flashcardsFlashcards
Card Sorting

1/14

encourage image

There's no tags or description

Looks like no tags are added yet.

Study Analytics
Name
Mastery
Learn
Test
Matching
Spaced

No study sessions yet.

15 Terms

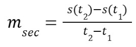
1
New cards

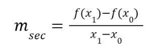
Slope of the secant line

<p></p>
2
New cards

Slope of the tangent line

knowt flashcard image
3
New cards

Point-slope equation of a line

knowt flashcard image
4
New cards

Average velocity

knowt flashcard image
5
New cards

Instantaneous velocity

knowt flashcard image
6
New cards

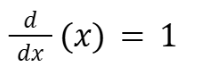
The Constant Rule

knowt flashcard image
7
New cards

The Single Variable Rule

knowt flashcard image
8
New cards

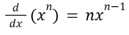
The Power Rule

knowt flashcard image
9
New cards

The Constant Multiple Rule

knowt flashcard image
10
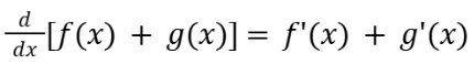
New cards

The Sum Rules

knowt flashcard image
11
New cards

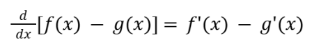
The Difference Rules

knowt flashcard image
12
New cards

The Product Rule

Or (1)(d2)+(2)(d1)

<p>Or (1)(d2)+(2)(d1)</p>
13
New cards

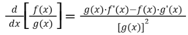
The Quotient Rule

Or (lo)(hi d)-(hi)(lo d)/(lo)(lo)

<p>Or (lo)(hi d)-(hi)(lo d)/(lo)(lo)</p>
14
New cards

The Chain Rule

knowt flashcard image
15
New cards

Derivatives of Trigonometric Functions

knowt flashcard image