1/45
any errors made or stuff i want to highlight to remember for the future
Name | Mastery | Learn | Test | Matching | Spaced |
|---|
No study sessions yet.

question 1b - failing to factorise to find solutions
i only got the 3/2 solutions and not the 0 because i didn’t factorise
so make sure you factorise to not loose solutions
+ analyse the second derivative before and after each solution when you’ve solved f’’(x) = 0


problem-solving/manipulation (algebraic expression)
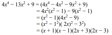
yeah so just be smart use difference of two squares a² -b² = (a+b)(a-b)


missing a solution
deduce that 0 is also a solution


something squared is always greater than or equal to zero




errors in factorising correctly
incorrectly completed the square (factorising skill issue)


recognising f(x-5) is a translation of f(x) to the right by 5 :D


recognising (x-1) is a factor from part a and using polynomial division and the quadratic formula (no relying on the calcs)




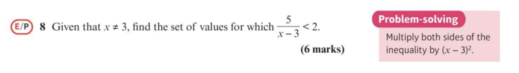
multiply by (x-3)²


2020 paper 1 Q7
using vertex form of an equation
The vertex form of a parabola is
y=a(x−h)2+ky equals a open paren x minus h close paren squared plus k
𝑦=𝑎(𝑥−ℎ)2+𝑘
, where
(h,k)open paren h comma k close paren
(ℎ,𝑘)
is the vertex.
vertex = min/max point?


recognizing it’s 2x not x




don’t ask me either




look at the number of marks…
deducing that x<0 is also a solution…




if they intersect at x=1/2
you can deduce that (2x-1) is a factor




area of a parallelogram without height
is ABSintheta

bearing: trig ratios




just some notes to refer to from spec

area of a segment







formulas for surface area and volume good for calculus problems

concavity checking

determining the nature of a stationary point








standard differentials
standard integrals (you dont need allat for the mocks tho)






laws of logs







model wording for iterations/cobweb/staircase etc numerical methods


specifically a


trig identities
double and half identities
(you don’t need to know half tan identity but maybe double)






in these questions just deducing 0/+- 180
just ponder where sin/cos/tan is 0 so just to get that extra mark