1/26
Looks like no tags are added yet.
Name | Mastery | Learn | Test | Matching | Spaced |
|---|
No study sessions yet.

which point has the strongest gravitational field, X or Y? Explain how the pattern of the field lines shows this. (1 mark)
X because the gravitational field lines are closer together. there more the gravitational field strength is stronger.
X has a higher value of g due to the inverse sqaure law

The diagram shows a large mountain range and the flat plains that are around it. The mountain is made of rock which is denser than the soil of the plains. With the aid of a diagram, explain the gravitational field pattern.
the field lines near the mountain will bend towards the mountain, because it is more dense (more mass). and then uniform at the flat plains


anything at point X is at rest as the forces are balanced (Newtons first law)
neutral point is further away from the earth and closer to the moon. therefore the earth has a much larger force therefore a much larger mass compared to the moon
What are the two types of velocity/? and what are the differences between them?
linear velocity
and angular velocity, what angle the time taken for the object to move. (usually in orbitals)
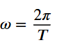
What is the equation for angular velocity when the object has completes a full orbit?
therefore ω=2πf because f=1/T

What is the unit for angular velocity?
rad s-1
what is the equation for linear velocity?
v=d/t or v=wr
what is the equation of angular rotation?
t is the time taken

calculate the angular speed of a satellite in a geosynchronous orbit around the earth




State the energy to move a 5 kg mass between the following points: a) From A to B


State the energy to move a 5 kg mass between the following points: b) From A to C


State the energy to move a 5 kg mass between the following points: c) From infinity to A
its a negative Workdone because it is losing gravitational potential energy. as it gets closer to the surface of the earth


State the energy to move a 5 kg mass between the following points:d) from A to D
no Work would be Done, because they are one the same equipotential (same energy orbital). no change in potential
what are the two equations for gravitational potential energy?

what is the equation for gravitational field strength?

what is the equation for gravitational force between two objects with masses?

explain why value for gravitational potential energy can be negative (1 mark)
because the object is moving away from infinity, so the object loses GPE
How much energy is required to send a 3kg mass from the surface of the earth to infinity? when the gravitational potential energy at the earth’s core is 6.25×10^7J

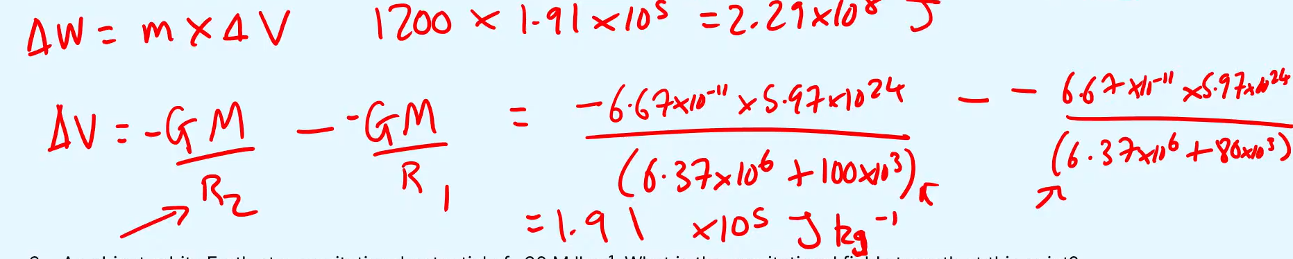
what is the equation to calculate the change in potential between 2 spherical objects?

How much energy is required to send a satellite of mass 1,200 kg from 80 km above the surface of the Earth to 100 km? if the radius of the earth is 6.37×10^6 m

An object orbits Earth at a gravitational potential of -30 MJkg⁻¹. What is the gravitational field strength at this point?

define gravitation potential (1 mark)
the work done per unit mass to move an object from infinity to a point
draw a gravitational potential graph of a spherical planet against the distance from the center
ensure the line is (an asymptote, never touches the line)


What does the gradient represent in a gravitational potential against radius graph?
the gravitational field strength

What does the area under the curve represent in a gravitational field strength against distance graph?
The change in gravitational potential

Calculate the work done on a mass, 10 kg, moved from P to Q. The gravitational potential at P is -16 kJkg-1 .
