Soil Aeration, Redox, and Temperature: Key Concepts for Soil Science

0.0(0)
studied byStudied by 0 people
0.0(0)
full-widthCall with Kai
GameKnowt Play
New
learnLearn
examPractice Test
spaced repetitionSpaced Repetition
heart puzzleMatch
flashcardsFlashcards
Card Sorting

1/86

encourage image

There's no tags or description

Looks like no tags are added yet.

Study Analytics
Name
Mastery
Learn
Test
Matching
Spaced

No study sessions yet.

87 Terms

1
New cards

What is soil aeration?

The process of gas exchange between soil and the atmosphere, allowing plants and organisms to access oxygen and carbon dioxide.

<p>The process of gas exchange between soil and the atmosphere, allowing plants and organisms to access oxygen and carbon dioxide.</p>
2
New cards

How does soil texture and structure influence oxygen availability?

Soil texture and structure affect the presence of macropores, which facilitate oxygen diffusion and gas exchange.

<p>Soil texture and structure affect the presence of macropores, which facilitate oxygen diffusion and gas exchange.</p>
3
New cards

What are the effects of poor soil aeration on decomposition?

Decomposition is slower in poorly aerated soils, leading to the accumulation of organic matter and potentially toxic anaerobic byproducts.

4
New cards

What colors indicate oxidized and reduced states in soil?

Oxidized states are indicated by red/yellow/brown colors, while reduced states show gray/blue colors.

<p>Oxidized states are indicated by red/yellow/brown colors, while reduced states show gray/blue colors.</p>
5
New cards

What is redox potential (Eh) in soil?

Redox potential (Eh) is the tendency for electrons to transfer between substances, indicating the soil's aeration status.

<p>Redox potential (Eh) is the tendency for electrons to transfer between substances, indicating the soil's aeration status.</p>
6
New cards

What happens to Eh as oxygen supply declines?

As oxygen supply declines, Eh decreases, leading to the use of alternative electron acceptors.

7
New cards

What are the common electron acceptors in soil redox reactions?

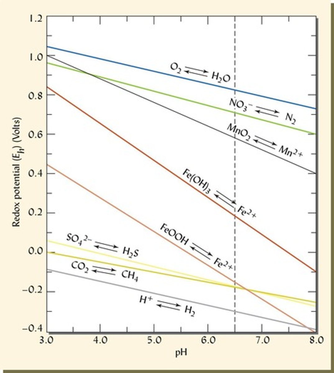
The sequence of electron acceptors includes oxygen, nitrogen, manganese, iron, sulfur, and carbon.

<p>The sequence of electron acceptors includes oxygen, nitrogen, manganese, iron, sulfur, and carbon.</p>
8
New cards

How can soil aeration be measured?

Soil aeration can be measured through soil atmosphere gases, air-filled soil porosity, and redox potential.

9
New cards

What is the significance of air-filled pore space in soil?

Less than 20% air-filled pore space can inhibit plant growth due to insufficient oxygen availability.

10
New cards

What factors influence soil temperature?

Albedo, aspect, rainfall, soil cover, and soil depth all influence soil temperature.

11
New cards

Define specific heat in the context of soil.

Specific heat is the amount of heat required to raise the temperature of a unit mass of soil by one degree Celsius.

12
New cards

What is thermal conductivity in soil?

Thermal conductivity is the ability of soil to conduct heat, which is influenced by soil texture and moisture content.

13
New cards

How do management practices influence soil aeration and temperature?

Certain practices, such as tillage and cover cropping, can improve soil structure, enhancing aeration and temperature regulation.

14
New cards

What are the oxidized and reduced forms of iron in soil?

Iron is found in oxidized form (Fe3+) in well-aerated soils and in reduced form (Fe2+) in poorly aerated, water-logged soils.

15
New cards

What role do macropores play in soil aeration?

Macropores facilitate the movement of air and water, enhancing gas exchange and oxygen availability in the soil.

16
New cards

What is the relationship between soil moisture and aeration?

High soil moisture can reduce aeration by filling pore spaces with water, limiting oxygen availability.

17
New cards

What is the impact of anaerobic metabolism in wetlands?

Anaerobic metabolism in wetlands produces toxic byproducts like ethylene gas and organic acids, affecting plant health.

18
New cards

How does the oxidation state of an element change in compounds?

The oxidation state of an element changes based on its bonding with other elements and the overall charge of the compound.

19
New cards

What is the significance of Eh values in redox reactions?

Eh values determine the oxidized or reduced state of elements, influencing their availability and mobility in soil.

20
New cards

How do environmental characteristics affect soil temperature?

Environmental characteristics like soil cover and depth can either insulate or expose soil, affecting its temperature.

21
New cards

What must the sum of oxidation states equal in a compound?

The net charge of the compound.

22
New cards

How does the oxidation state of an element change?

It changes depending on the overall charge of the compound.

23
New cards

What factors affect the transformation of elements in soil?

Eh (redox potential) and aeration conditions.

<p>Eh (redox potential) and aeration conditions.</p>
24
New cards

What are some products of reducing conditions in soil?

Toxic substances such as NO2, CH4, and H2S.

<p>Toxic substances such as NO2, CH4, and H2S.</p>
25
New cards

What role does soil drainage play in aeration?

It removes excess water, improving aeration.

26
New cards

How does respiration and biological activity affect soil?

It changes O2 and CO2 concentrations in the soil.

27
New cards

What is the difference in O2 and CO2 levels between subsoil and topsoil?

Subsoil has less O2 and more CO2 than topsoil.

28
New cards

What seasonal factors affect CO2 content in soil?

Temperature and moisture content.

29
New cards

How does soil temperature influence plant growth?

It affects shoot growth, photosynthesis, and seed germination.

30
New cards

What is vernalization in relation to seed germination?

A cold period required for seeds to germinate in spring.

31
New cards

What is the effect of temperature on microbial activity in soil?

Microbial activity is higher at warmer temperatures, important for nutrient cycling.

<p>Microbial activity is higher at warmer temperatures, important for nutrient cycling.</p>
32
New cards

What is soil solarization?

Covering soil with clear plastic to raise temperature above optimum for pathogens.

33
New cards

How do freeze/thaw cycles affect soil properties?

They alter soil physical structure and can cause frost heaving.

34
New cards

What are the heating effects of fire on soil?

Fire can stimulate seed germination, increase nutrient cycling, and change organic matter.

<p>Fire can stimulate seed germination, increase nutrient cycling, and change organic matter.</p>
35
New cards

What processes affect soil temperature?

Solar radiation, albedo, slope angle, rain, and soil cover.

<p>Solar radiation, albedo, slope angle, rain, and soil cover.</p>
36
New cards

How does albedo affect soil temperature?

Darker soils absorb more solar radiation, while lighter soils absorb less.

37
New cards

What is the impact of rain on soil temperature?

Rain cools soil in summer and warms it in spring/winter.

38
New cards

How does soil moisture influence soil temperature?

Poorly drained soils are cooler in spring, affecting aeration.

39
New cards

What is specific heat in relation to soil?

The heat capacity per unit mass; dry soil warms faster than wet soil.

40
New cards

How do soil temperatures change with depth?

Soil temperatures lag behind air temperatures and fluctuate less at greater depths.

41
New cards

What are some methods to manage soil temperature?

Using mulches, plant residue, plastic coverings, and managing soil moisture.

42
New cards

What is polarity in water?

Polarity refers to water having positive and negative sides due to the arrangement of hydrogen and oxygen atoms.

43
New cards

What is hydrogen bonding?

Hydrogen bonding is the attraction between the positive side of one water molecule and the negative side of another.

44
New cards

Define adhesion in the context of water.

Adhesion is the attraction of water molecules to solid surfaces.

45
New cards

Define cohesion in the context of water.

Cohesion is the attraction of water molecules to each other.

46
New cards

What is surface tension?

Surface tension is the inward force at the surface of water due to cohesion, making water behave as if it has an elastic covering.

47
New cards

What is capillarity?

Capillarity is the phenomenon where water moves through soil due to adhesion and cohesion.

48
New cards

What is soil water potential?

Soil water potential is the energy status of soil water compared to pure, free water, expressed in kilopascals (kPa).

49
New cards

What are the three components of total soil water potential?

Gravitational potential, matric potential, and osmotic potential.

50
New cards

What is gravitational potential in soil water?

Gravitational potential moves water down from high to low elevations.

51
New cards

What is matric potential?

Matric potential results from adhesion and capillarity, moving water from wetter to drier areas.

52
New cards

What is osmotic potential?

Osmotic potential is the potential energy of water influenced by solutes, affecting plant water uptake.

53
New cards

What is the difference between gravimetric and volumetric soil water content?

Gravimetric water content is the mass of water per mass of dry soil, while volumetric water content is the volume of water per volume of dry soil.

54
New cards

How is gravimetric water content calculated?

Gravimetric water content is calculated as (wet weight - dry weight) / dry weight, generally expressed as a percentage.

55
New cards

What influences soil water characteristic curves?

Soil texture, structure, pore size distribution, and management practices.

56
New cards

What is field capacity?

Field capacity is the amount of water soil can hold after excess water has drained away.

57
New cards

What is wilting coefficient?

Wilting coefficient is the soil moisture level at which plants can no longer extract water.

58
New cards

What is hygroscopic water?

Hygroscopic water is water that is tightly held to soil particles and unavailable to plants.

59
New cards

What is plant available water?

Plant available water is the portion of water in soil that can be absorbed by plants.

60
New cards

What factors affect the movement of water through the soil-plant-atmosphere continuum?

Soil moisture content, plant characteristics, water use efficiency, and evapotranspiration efficiency.

61
New cards

How do finer textured soils affect water retention?

Finer textured soils, like clay, hold more water due to smaller pore sizes and greater capillarity.

62
New cards

What is the relationship between soil water content and soil water potential?

Soil water characteristic curves illustrate how soil water potential relates to the amount of water in the soil.

63
New cards

What happens to water movement when osmotic potential in soil is lower than in plant roots?

Water uptake by the plant is constrained.

64
New cards

What is the significance of potential energy in soils?

Potential energy is crucial for determining the direction and rate of water movement in soils.

65
New cards

What is the role of air pockets in soil water movement?

Air pockets can act as obstacles, affecting the connectivity and shape of water movement paths.

66
New cards

What is the state of soil when it is saturated?

All pore space is filled with water, and it has maximum retentive capacity.

67
New cards

What occurs at field capacity in soil?

Gravitational water has drained from the largest pores, soil holds maximum water useful for plants, and there is enough air for aerobic microbial activity.

68
New cards

What is the wilting coefficient?

The soil water potential is about -1500 kPa, indicating that plants have removed all the water they can, and the soil is very dry.

69
New cards

What does the hygroscopic coefficient represent?

The minimum amount of water left in soil after air drying, where remaining water is adsorbed by colloidal surfaces.

70
New cards

What is the available water holding capacity (AWHC)?

The difference between soil moisture at field capacity and at wilting coefficient, indicating how much water can be held and is available to plants.

71
New cards

What percentage of global water is ocean water?

97% of global water is ocean water.

72
New cards

What is the role of the Soil-Plant-Atmosphere Continuum (SPAC)?

It examines water cycling between soil, plants, and atmosphere, governed by water potentials and transpiration rates.

73
New cards

What is interception in the context of hydrology?

Precipitation caught by plant foliage or litter layers that is returned to the atmosphere by evaporation and does not reach the soil surface.

74
New cards

What factors influence runoff?

Vegetation, soil management, compaction, and impervious surfaces can all affect the amount of runoff.

75
New cards

What is infiltration?

The process by which water enters soil pore spaces and becomes soil water, influenced by soil properties and precipitation.

76
New cards

What is percolation in soil?

The downward movement of water through the soil profile, occurring once field capacity is exceeded.

77
New cards

What is the difference between evaporation and transpiration?

Evaporation is the loss of water from soil, while transpiration is the loss of water from plant foliage.

78
New cards

What is potential evapotranspiration (PET)?

The rate at which water vapor is lost from a densely vegetated plant-soil system at optimal soil water content.

79
New cards

How can evaporation losses be controlled?

By covering bare soil surfaces with mulches or crop residues to reduce evaporation.

80
New cards

What is capillary rise?

The upward movement of water through soil due to capillary action, allowing water to be absorbed by plants.

81
New cards

What influences soil water content in the hydrologic cycle?

Climate, vegetation, and soil properties affect the routes of water movement and loss.

82
New cards

What happens when water-holding capacity of soil is exceeded?

Water will be lost from the root zone by drainage, but can be reversed by capillary rise.

83
New cards

What is the impact of soil moisture on evaporation?

Lower soil moisture content leads to lower rates of evaporation.

84
New cards

What is the significance of a class A evaporation pan?

It is used to estimate potential evapotranspiration by measuring the water level and evaporation rates.

85
New cards

What is the effect of temperature on evaporation rates?

Higher temperatures increase evaporation rates, while lower temperatures decrease them.

86
New cards

What is the relationship between soil structure and runoff?

Loose/open soils have higher infiltration rates, while heavy/unstable soils lead to higher runoff.

87
New cards

What role do earthworms play in soil hydrology?

Earthworms enhance soil structure and biotic activity, which can improve water infiltration and retention.