1/32
Looks like no tags are added yet.
Name | Mastery | Learn | Test | Matching | Spaced | Call with Kai |
|---|
No analytics yet
Send a link to your students to track their progress
When is a 2-way ANOVA used?
when the dependent variable is a single continous variable; when the independent variables are categorical variable (2 variables each with 2 or more groups)
Full Factorial Analysis
test people in all combinations of the variable
Factorial Design
data is collected in each cell of a table (full factorial analysis); variables should be independent of each other
Assumptions for factorial ANOVA
approximately equal sample sizes in each cell (factorial analysis is NOT robust to unequal sample sizes); residuals are distributed normally (factorial analysis is robust to slight deviations); variances are equal across subgroups; independence of data; all cells have samples
Ways to deal with Assumptions Violations
separate into individual one-way ANOVA’s; transformations; non-parametric methods
Superposition
total is sum of parts; combined effect was the additions of the 2 effects
Interaction Effects
the effects of 2 variables CAN’T be explained by superposition; difference in data that can’t be explained by adding the differences of its parts

Types of Interaction Effects
combination of factors required to observe an effect
one factor reverses the effect of another factor
one group from A increases the impact of factor “B” or vice versa (synergistic effect)
one group from A reduces the impact of factor “B” or vice versa (interference effect) → might expect a certain result but get less than that
Notation
first subscript: group for variable “A”
second subscript: group for variable “B”
third subscript: trial (from 1 to “r”)

Dot in the Subscript
data was averaged across all values in that subscript
Hypotheses: Main Factors - Variable A
Ho: X1.. = X2.. = … = Xa.. (all group means are equal)
Ho: X1.. - X… = X2.. - X… = … = X1.. - X… = 0
Ha: at least 1 mean within group A deviates from the overall mean
Ha: X1.. - X… =/ 0 or X2.. - X… =/ 0 or Xa.. - X… =/ 0
Hypotheses: Main Factors - Variable B
Ho: X.1. = X.2. = … = X.b. (all group means are equal)
Ho: X.1. - X… = X.2. - X… = … = X.b. - X… =
Ha: at least 1 mean within group B deviates from the overall mean
Ha: X.1. - X… =/ 0 or X.2. - X… =/ 0 or X.b. - X… =/ 0
Hypothesis Testing: Interaction Effects
absence of superposition
Ho: all sub-group averages are explained by superposition of A and B effects
Ho: Xij. - X… = (Xi.. - X…) + (X.j. - X…) or X11. - X1.. - X.1. + X… = 0 or
X21. - X2.. - X.1. + X… = 0 or X12. - X1.. - X.2. + X… = 0
Ha: superposition doesn’t fully describe at least one of the group averages
Process for Hypothesis Testing
calculate sum of squares for variable A, variable B, interaction (A*B), and error
determine df (for A, B, A*B, and error)
calculate F-ratio for A, B, and A*B
determine critical F-ratio from table (A, B, and A*B)
compare calculated to critical F-ratio to evalulate hypothesis
Partitioning Sum of Squares
partitions it into clever bits

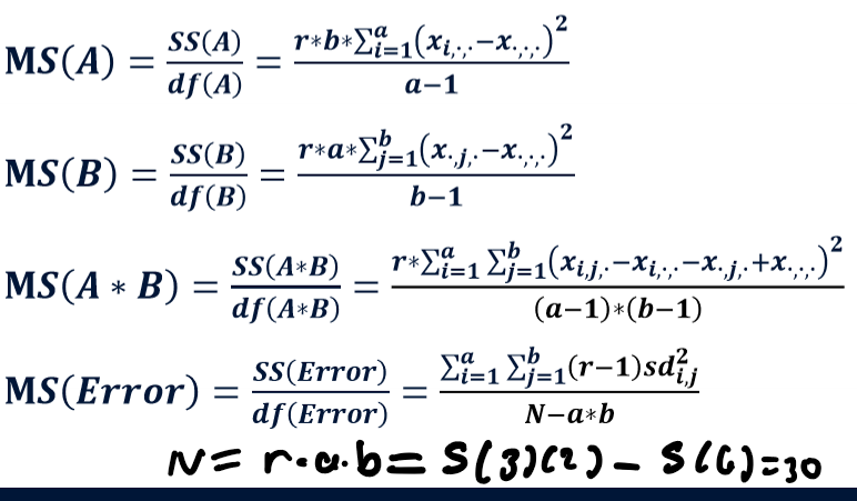
SS(A)
r*b*sum (i = 1 → a) (Xi.. - X…)²; there are r*b trials for each group within variable A (nj = r*b)
SS(B)
r*a*sum (j=1 to b) (X.j. - X…)²
SS(A*B)
sum (i=1 to a) sum (j=1 to b) * r * (Xij. - Xi.. - X.j. + X…)²; each group combination of (i,j) has r trials in it
SS(error)
sum (i=1 to a) sum (j=1 to b) * (r-1) * sd²ij
sum (i=1 to a) sum (j=1 to b) sum (k=1 to r) * (Xijk - Xij.)²
sdij is the standard deviation across values for the ith group of variable A and jth group of variable B
Degress of Freedom
A = a - 1
B = b - 1
A*B = (a - 1)*(b -1)
Error = N - a*b
Total = N -1
Mean of Squares

F-ratio
will have 3 of these; all use same error (metric of uncertainity won’t change) and all use same df error

Hypothesis Testing
reject Ho is F > Fcrit
Performing post-hoc Analyses w/ an Interaction
main effects should be interpreted cautiously if an interaction is observed; at a minimum → describe the interaction (“Treatment A and treatment B have a synergistic effect”, “A only has an effect in the absence of Treatment B”, “Presence of Condition A reverses the effect of Treatment B”
Post-hoc Analyses: Main Effects

Comparisons
if just 2 groups - just calculate mean for each group within one variable and no need for post-hoc tests
3 or more groups - calculate the mean for each group within one variable (perform post-hoc Tukey on these new mean values)

Post-hoc Analyses: Main Effects

When to use these post-hoc interactions?
combination of factors required to observe an effect → when variable “B” only influences the outcome in the presence of one of the groups for Variable A
Confounded Comparisons
2 conditions changing so can’t say if 1 thing is the contributing factor; ex. cotton glove in breakway and shoulder height gloves
Unconfounded Comparisons
only 1 variable is changing; ex. cotton gloves in breakway vs latex gloves in breakaway; to find amount take amount of conditions on x and y axis multiply them together and the multiply the addititon thing version together
Restricting Comparisons for post-hoc: t-test w/ Bonferroni
only include # of uncounfounded comparisons in adjustment; independent t-test between the 2 unconfounded comparisons; corrected alpha = alpha/(# of comparisons)
Reporting Results
report each main effect including F and p-values and report effect of interaction efffect
Interaction Effect
had both than benefit was more than 1 or the other