1/8
Looks like no tags are added yet.
Name | Mastery | Learn | Test | Matching | Spaced |
|---|
No study sessions yet.
What are the calculator symbol notation and the formula for calculating the total number of ways to choose x objects from y objects (when the order does matter)?
Calculator Notation: yPx
Formula: y! / (y - x)!
When should you use permutations when calculation probabilities?
Permutations should be used when the order of occurrences in the event matters.
When should you use combinations when calculating probabilities?
Combinations should be used when the order of occurrences in an event does not matter.
What are the calculator symbol notation and the formula for calculating the total number of ways to choose x objects from y objects (when the order does not matter)?
Calculator Notation: yCx
Formula: y! / y! * (y - x)!
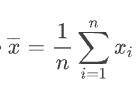
Using sigma notation form, what is the formula for calculating the mean of a dataset?

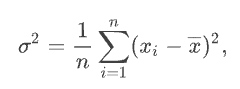
Using sigma notation form, what is the formula for calculating the variance of a dataset?

What does the variance of a dataset tell us?
Variance is a statistical measure showing how spread out data points are from their average (mean); a high variance means data is scattered widely, while a low variance means data is clustered near the mean, calculated by averaging the squared differences between each point and the mean.
Using the alternative (and usually faster) form, what is the formula for calculating the variance of a dataset?

Using both the standard and the alternative (and usually faster) forms, what are the formulas for calculating the standard deviation of a dataset?
