1/33
Looks like no tags are added yet.
Name | Mastery | Learn | Test | Matching | Spaced |
|---|
No study sessions yet.
Perpendicular Bisector
Circumcenter
Angle Bisector
Incenter
Altitude
Orthocenter
Median
Centroid
The point of concurrency of the angle bisector is called the…
incenter
A segment connecting a vertex to the midpoint of the opposite side is a
median(s)
The slope of an altitude is… to the side it intersects.
perpendicular
The centroid is the point of concurrency of the…
median(s)
The… is equidistant form the vertices.
circumcenter
A line intersecting a side's midpoint at a rigth angle is a…
perpendicular bisector
The point of concurrency of the altitudes is the…
orthocenter
A segment connecting two midpoints is a…
midsegment
The incenter is equidistant from the triangle's…
sides
The point of concurrency of the perpendicular bisectors is the…
circumcenter
Quadrilaterals
sum of angles = 360
Trapezoids
At least 1 pair of parallel sides
Kites
2 pairs consecutive congruent sides, at least 1 pair opposite angles congruent, diagonal perpendicular, 1 diag bisect opposite angles and other diag
Isosceles Trapezoid
legs congruent, diag congruent
Parallelograms
2 pairs sides parallel, 2 pairs opposite sides congruent, 2 pairs opposite angles congruent, consec angles supp, diags bis each other
Rectangles
4 right angles equiangular, diags congruent
Square
regular quadrilateral
Regular
all sides and angles congruent
Midsegment of a Trapezoid
average of the 2 bases, b=(a+c)/2
Parallelogram def
a quadrilateral with both pairs of opposite sides parallel
Parallelogram shorthand
defn of (parallelogram)
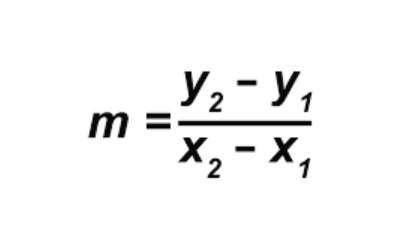
Slope formula

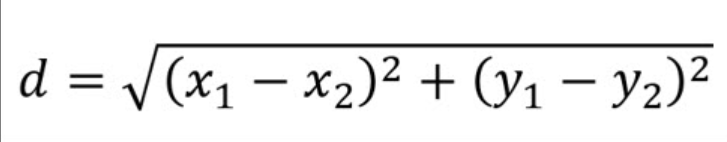
Distance Formula

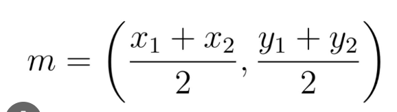
Midpoint Formula

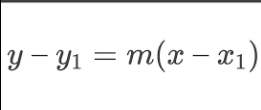
Point-Slope Formula

Slope Intercept formula

Standard Form
