Rep3- Radio Navigation

0.0(0)
studied byStudied by 0 people
0.0(0)
full-widthCall with Kai
GameKnowt Play
New
learnLearn
examPractice Test
spaced repetitionSpaced Repetition
heart puzzleMatch
flashcardsFlashcards
Card Sorting

1/17

encourage image

There's no tags or description

Looks like no tags are added yet.

Study Analytics
Name
Mastery
Learn
Test
Matching
Spaced

No study sessions yet.

18 Terms

1
New cards

Which terms describe the propagation of an electromagnetic wave?

  • Poynting vector, Propagation is characterized by the

  • E/H fields

  • polarization (linear/circular)

  • free-space loss (field ∝ 1/r, power flux ∝ 1/r²)

  • reflection

  • refraction

  • diffraction

  • scattering

  • absorption

  • fading

  • groundwave/skywave

  • quasi-optical/line-of-sight.

2
New cards

What is the characteristic wave impedance?

  • In the far-field region, E, H, and S are mutually perpendicular (in the order E, H, S) and form a right-hand rule.

  • In the far field, E and H are in phase and linked via characteristic wave impedance.

  • Defining E/H ratio of plane waves

3
New cards

What is the radiation power of a spherical radiator as a function of distance?

  • An ideal spherical radiator spreads constant total power over a sphere of radius r.

  • The power per unit area (Poynting magnitude) falls as 1/r²; correspondingly, the electric (and magnetic) field amplitude decays as 1/r in free space.

<ul><li><p>An ideal <strong>spherical radiator</strong> spreads constant total power over a sphere of radius <strong>r</strong>. </p></li><li><p>The <strong>power per unit area</strong> (Poynting magnitude) falls as <strong>1/r²</strong>; correspondingly, the electric (and magnetic) <strong>field amplitude</strong> decays as <strong>1/r</strong> in free space.</p></li></ul><p></p>
4
New cards

Discuss the terms refraction, diffraction, scattering, absorption and fading!

  • Refraction bends rays in nonuniform media (troposphere/ionosphere)

  • Diffraction wraps energy into shadows (groundwave)

  • Scattering redistributes energy on roughness/particles

  • Absorption removes energy (soil, O₂/H₂O lines, rain)

  • Fading is time variation from multipath/ionosphere

5
New cards

By which means is the transmission range of a radio link determined?

Determined by line-of-sight (quasi-optical) conditions, which depend on

  • antenna heights,

  • Earth’s curvature

  • atmospheric refraction.

Without line-of-sight, the range is defined by propagation mechanisms such as

  • groundwave,

  • skywave,

  • tropospheric, or

  • duct propagation depending on the frequency.

6
New cards

What is the signal-to-noise ratio?

  • Received signal power divided by noise power.

  • Determines detectability/quality

7
New cards

What is the cause of noise in a receiver?

Internal sources include thermal noise or device noise.

External noise is picked up by the antenna from the environment:

  • atmospheric

  • tropospheric

  • cosmic

  • industrial

8
New cards

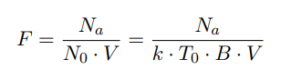
What is noise factor and noise temperature?

Noise factor F measures degradation over an ideal receiver;

noise temperature Tₑ is an equivalent input temperature with F = 1 + Tₑ/T₀.

The noise factor is equal to the ratio of noise power Na at the output of a real receiver to the noise power N0 at the output of an ideal receiver at the standard temperature T0 and the amplification V.

<p><strong>Noise factor F</strong> measures degradation over an ideal receiver; </p><p><strong>noise temperature Tₑ</strong> is an equivalent input temperature with <strong>F = 1 + Tₑ/T₀</strong>.</p><p>The noise factor is equal to the ratio of noise power Na at the output of a real receiver to the noise power N0 at the output of an ideal receiver at the standard temperature T0 and the amplification V.</p>
9
New cards

Describe external sources of noise! What are their frequency ranges?

  • Atmospheric noise from thunderstorms dominates LF/MF/HF (<~10 MHz)

  • Cosmic (galactic/solar) is notable below (<~1 GHz)

  • Tropospheric noise arises from molecular absorption/radiation (>~300 MHz)

  • Industrial noise because of sparks; it is location specific.

10
New cards

Describe the operating principle of ADF!

  • The loop antenna (the magnetic part (H-field)) detects the signal direction, and

  • The sense antenna removes the 180-degree ambiguity by forming a cardioid pattern.

  • The electronic goniometer then calculates the bearing automatically, and the RMI display shows the correct direction to the NDB station.

11
New cards

Describe the operating principle of VOR!

  • VOR sends one fixed reference signal and one rotating variable signal (both 30Hz signals)

  • The receiver measures their phase difference to find the aircraft’s bearing from the station.

12
New cards

Describe the operating principle of DME!


DME measures distance by timing how long pulse pairs take to travel to the ground station and back — half of that time gives the slant range.

Works in UHF band

  • Aircraft (interrogator) sends coded pulse pairs.

  • Ground station receives them, waits ≈50 µs, then retransmits on a different frequency (±63 MHz).

  • Aircraft measures round-trip time between sent and received pulses.

  • Distance = (time × speed of light) / 2.

13
New cards

How can VOR/VOR, VOR/DME or DME/DME be used for position determination?

Two VOR stations: intersection of radials.
VOR/DME: angle from VOR + distance from DME = unique fix.
DME/DME: intersection of two range hyperbolas.

14
New cards

Describe the influence of bearing intersection angles on the position determination error!

The position accuracy is best when the intersection angle between bearings is about 90 degrees and becomes worse when the lines intersect too narrowly or too widely.

15
New cards

Describe the operating principle of ILS!

Instrument Landing System, Guides aircraft laterally and vertically during landing.

ILS guides the aircraft to the runway using a localizer for lateral and a glide slope for vertical guidance. It compares 90 and 150 Hz signals — when they’re equal, you’re on the correct path

16
New cards

How can the erroneous side-lobe detection of the ILS localizer antenna become suppressed?

  • Use clearance signals

  • Careful antenna siting/critical-area protection

  • Monitoring to prevent capture by side lobes.

17
New cards

What is a hyperbolic navigation system?

A system where time/phase differences from pairs of transmitters define hyperbolic lines of position; their intersections give the fix.

18
New cards

Describe the operating principle of LORAN-C!

LORAN-C uses one master and several secondary stations sending 100 kHz pulse groups. The receiver measures time or phase differences; each difference gives a hyperbola, and their intersection gives the aircraft’s position.