1/7
Looks like no tags are added yet.
Name | Mastery | Learn | Test | Matching | Spaced | Call with Kai |
|---|
No study sessions yet.
Coordinates of Internal Dividing Points

Coordinates of External Dividing Points

Centre of Gravity of Triangles

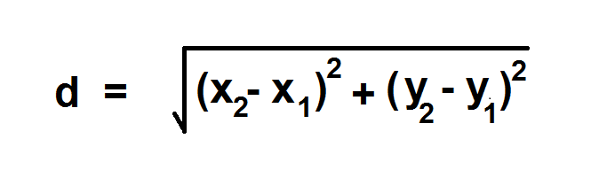
Distance

Equation of a line formula

Parallel and Perpendicular Conditions

Midpoint

Distance from a point to a line
