1/71
kill me bro
Name | Mastery | Learn | Test | Matching | Spaced |
|---|
No study sessions yet.
What does √-49 equal?
7𝒾
What does √-16 equal?
4𝒾
What does √-20 equal? (simplest radical form)
2𝒾√5
What does √-3 equal? (simplest radical form)
𝒾√3
What does 3√-50 equal? (simplest radical form)
15𝒾√2
Multiply
(5+𝒾)(3-𝒾)
16-2𝒾
What does 𝒾0 equal?
1
What does 𝒾1 equal?
𝒾
What does 𝒾2 equal?
-1
Explanation: √-1×√-1=-1
What does 𝒾3 equal?
-𝒾
What does 𝒾4 equal?
1
What does 𝒾5 equal?
𝒾
What does 𝒾6 equal?
-1
What does 𝒾7 equal?
-𝒾
Simplify 7√(20x15)
14x7√5x
Add 3√27 + 5√12
19√3
Multiply
(6+√3)2
39+12√3
Multiply
(8+√7)(8-√7)
57
Multiply
(4+2𝒾)(3-7𝒾)
26-22𝒾
Subtract
(10+2𝒾) - (7-4𝒾)
3+6𝒾
Multiply
(2+5𝒾)(3-7𝒾)
41+𝒾
Multiply
(5+2𝒾)2
21+20𝒾
Multiply
(7+√3)(7-√3)
46
Find the solution set
x2-12=4x
{6, -2}

Solve
x2-6x+1=0
x=3±2√2

Solve
x2+6x+13=0
x=-3±2𝒾

Solve
x2-8x+17=0
x=4±𝒾

Solve
x2+4x-3=0
x=-2±√7

Solve
x2-6x+58=0
x=3±7𝒾

Solve
x2+4x+1=0
x=-2±√3

Solve using completing the square.
x2-6x+58=0
x=3±7𝒾


Solve using completing the square.
x2+4x+1=0
x=-2±√3


Solve using completing the square.
x2-12x+37=0
x=6±𝒾

Solve
x2-8x+17=0
x=4±𝒾

Solve using completing the square.
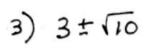
x2+6x-1=0
x=-3±√10
Find the solution set of the higher degree equation.
x3+3x2-9x-27=0
{-3,3}
Find the solution set of the higher degree equation.
6x3-8x2-8x=0
{0, -2/3, 2}
Find the solution set of the higher degree equation.
12x3+20x2-8x=0
{0, 1/3, -2}
Find the solution set of the higher degree equation.
x3+8=0
{-2, 1±𝒾√3}
4+√(1-3x)=12
{-21}
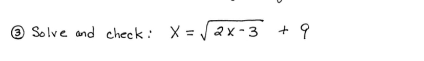
x=√(3x+10)
{5}
x=√4x+5
{5}
x=1+√(x+11)
{5}
b=3+√(3b+11)
{5, 4}
Factor
b3-343
(b+7)(b2+7b+49)
What is the SOAP formula?
(a+b)(a2-ab+b2)
(a-b)(a2+ab+b2)
Factor
8x3-125
(2x-5)(4x2+10+25)
Factor
x3+125
(x+5)(x2-5x+25)
Factor
a3-64
(a-4)(a2+4a+16)
Factor
7√(45x11)
21x5√(5x)
Factor
3√(50y15)
15y7√(2y)
Factor
7∛(24x11)
14x3∛3x2
Factor
4∛(54x7)
12x2∛2x
Factor
5∛(40a17)
10a5∛5a2
Solve
√(2x-3)+7=12
x=14
Solve
x=1+√(15-7x)
{2}
Solve
x3-5x2-6x+30=0
{±√6,5}
Solve
2x3-6x2-20x=0
{5, -2, 0}
Solve
x2+6x+2=0
x=-3±√7
Solve
x2-6x+10=0
x=3±𝒾
Factor
x3+27
(x+3)(x2-3x+9)
















Solve
√(4-x)=x+8
{5}
Find the roots of the equation
x2-4x=-13
2±3𝒾
Solve
√(3(x+6))=x
{6}