1/45
Looks like no tags are added yet.
Name | Mastery | Learn | Test | Matching | Spaced | Call with Kai |
|---|
No study sessions yet.
amine

Alcohol

Silane

Alkane

ammonium

Ether

Phosphine

alkene

Aziridine

epoxide

thiol

alkyne

hydrazine

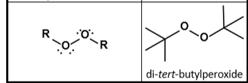
peroxide

thioether

aromatic hydrocarbon

amide1

alkoxide

disulfide

haloalkane

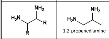
diamine

diol

selenol

aldehyde

hemiacetal

carboxylic acid

acyl halide

ketone

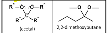
acetal

ester

amide2

imine

hemiketal

lactone

lactam

ketal

anhydride

imide

carboxylate

nitrile

nitro

hydrate

enamine

thiolate

enol

endate
