1/24
Looks like no tags are added yet.
Name | Mastery | Learn | Test | Matching | Spaced |
|---|
No study sessions yet.
general vector equation of straight line passing through point A and parallel to vector b

vector equation of straight line passing through points C and D with position vectors c and d respectively

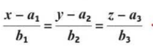
cartesian form of equationf of line with vector equation r= a +λb if a=(a1,a2,a3) and b=(b1,b2,b3)

vector equation of 3d plane
a is point on plane
b and c are direction vectors

cartesian equation of plane in 3d

angle between 2 vectors
both a and b need to be directed away from point x

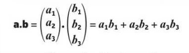
formula of scalar product of 2 vectors a and b
where θ is the angle between a and b.

how to work out angle between a and b from dot product

what is the angle between perpendicular vecors
90
if a and b are perpendicular what is a.b
a.b=0
angle between 2 parallel vectors
0
what is the dot product if a and b are parallele

if a=a1i+a2j+a3k and b=b1i+b2j+b3k what is a.b

equation for acute angle between 2 intersecting straught lines

scalar product form of a plane
r.n=k where k=a.n for any point in the plane with position vector a
The acute angle between the line with equation r = a + Ab and the plane with equation r.n = k formula

The acute angle between the plane with equation r.n1 = k1 and the plane with equation r.n2 = k2

how to find cartesian equation from scalar product form of plane
replace r with xyz
when are 2 straight lines skew
if they are not parallel and do not intersect
when are 2 lines parallel
direction vector are scalar multipless
how to rove lines are skew
show they dont intersect and are not arallel
how to find shortest distance
perpendicular distance
perpendicular distance for origin to plane

perpendicular distance equation from point to plane

how to reflect line in plane
reflect 2 points on the line through the plane then find the equation of the lien through these new points