1/4
Looks like no tags are added yet.
Name | Mastery | Learn | Test | Matching | Spaced |
|---|
No study sessions yet.

Which benzodiazepine(s) is/are best suited as a sleep aid (hypnotic)?
A + B
Which benzodiazepine(s) is/are best suited as an anxiolytic?
C + D

A patient only taking diazepam could test positive for oxazepam. This statement is…
True
A patient only taking diazepam could test positive for lorazepam. This statement is…
False
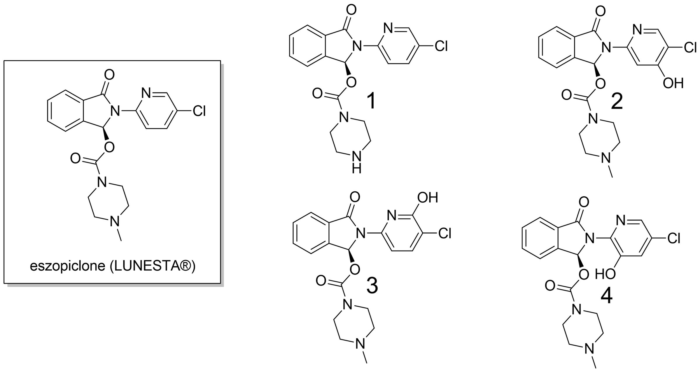
Which is the most likely metabolite of eszopiclone (LUNESTA)?
A