1/39
Looks like no tags are added yet.
Name | Mastery | Learn | Test | Matching | Spaced | Call with Kai |
|---|
No study sessions yet.
perception in autism
-characterised by hyper-reactivity or hypo-reactivity
-terminology used to describe sensory issues is undergoing evolution
-from hyper/hypo sensitivity to hyper/hypo reactivity
-how a person actively or passively reacts to sensory input rather than just their sensitivity level
-distinction between the internal neurological process and the external, observable behaviour
sensory issues and diagnostic criteria
-different sensory reactivity is now included as a subcategory under restricted and repetitive behaviours in DSM classification
-not all examples listed under this criterion need to be met for a diagnosis to be made → counts towards diagnosis but is not necessary
self-report (understanding sensory issues in neurodevelopmental conditions)
-anecdotal
-qualitative studies
-questionnaires - experience, behaviour
scores on experimental tasks (understanding sensory issues in neurodevelopmental conditions)
-psychophysical tests → measuring thresholds of perception
-visuo-cognitive tasks
question schedule (qualitative studies)
-reveal personal experience
do you feel more/less sensitive to your environment than other people seem to?
do you ever have physical reactions to sensory stimuli?
are there particular aspects of stimuli that make it particularly difficult or enjoyable for you?
what would you say are the most problematic aspects of an environment?
analysis of qualitative work (qualitative studies)
-four main themes emerged from the thematic analysis:
importance of particular aspects of stimuli in their perception
importance of having control over stimuli
how emotions/mental states could impact/be impacted by sensory stimuli
physical responses to stimuli
thematic analysis relating to sensory reactivity (qualitative studies)

Simmon’s qualitative model
-having control over stimuli can gain pleasure from seeking sensory stimuli - not always negative, but can be negative without control element
-tolerance can be moderated by mood → sensory stimulation can be less aversive if people are in a good mood and vice versa
-having supportive people who are understanding and provide adaptations can lead to more tolerance and positive experiences

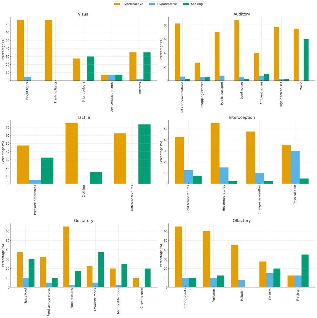
MacLennan (sensory experiences)
-autistic participants identified as experiencing hyperreactivity, hyporeactivity and sensory seeking
-hyperreactivity was the most frequently reported experience
-hyporeactivity was reported but never on its own
-hyporeactivity was never reported without hyperreactivity

MacLennan - quantitative results (sensory experiences)

-demonstrates that most responses to different everyday stimuli are hyperreactive (orange bar)
-shows autism difficulties with coping with everyday activities
interoception
-sensing and interpreting internal bodily cues
-research suggests differences in interoception in autism
questionnaires to measure sensory reactivity
Glasgow sensory questionnaire → adults, self-report
sensory profile → parental report for children or adult self-report
Glasgow sensory questionnaire
-42 items


correlation between sensory issues and autistic traits
-scores on GSQ questionnaire against scores on a questionnaire that measures autistic traits
-data was collected from autistic adults (red dots) and NT adults (blue triangles)
some NT score highly on GSQ
in both groups there is a correlation between sensory issues and autism traits

issues with SRS
-some questions on the SRS ask about sensory experiences
-but the SRS can be scored as two subscales according to the DSM-5 classification:
social-communication
RBIS
-however, the correlation between GSQ and SRS remains strong even if the social-communication subscale is used instead of the total score →
shows relationship between sensory issues (measured by GSQ) and autism traits (measured by SRS) does not arise as a result of common measurement error
neurotypical and autistic samples (correlation between sensory issues and autism traits)
-measured autistic traits in NT and autistic samples
-found that in both samples the level of atypical sensory experiences correlated with autism traits
-was elevated in those diagnosed with ASC but still significant correlations in NT group
correlation between GSQ and SRS → r = .808 and p < .001
correlation between GSQ and communication subscale from SRS → r = .794 and p < .001
sensory profile
-developed for clinical use → occupational therapists, clinical psychologists, educational psychologists, and speech and language therapists
-child and adult/adolescent versions
-adult sensory profile - 60 items, questions grouped into modalities
-child sensory profile → 52 items

sensory profile scoring
-results are expressed as four quadrants:
low registration
sensation seeking
sensory sensitivity
sensation avoiding
low registration (sensory profile scoring)
-passive behavioural responses
sensory seeking (sensory profile scoring)
-behavioural response associated with pursuit of sensory seeking
sensory sensitivity (sensory profile scoring)
-responses such as noticing behaviours, hyperreactivity
sensation avoiding (sensory profile scoring)
-avoiding distressing sensory stimuli
basic sensory functions are intact in autism
-no difference in visual contrast sensitivity in autism
-no differences in odour detection sensitivity between autism and NT for two different odours
-conclusion is that differences in sensory experiences are probably not rooted in fundamental differences in sensory organs
different experience and reactivity (differences in basic sensory perception in autism)
-ASC have intact low-level sensory function but may have different experience and reactivity
-do not show differences in their ability to sense stimuli, but autism might lead to sensory stimuli being processed differently by autistic people
visuo-cognitive tasks (differences in basic sensory perception in autism)
-cognitive tasks that require participants to identify local elements over global forms are generally performed more quickly and accurately by autistic people
-underpin theories of autistic cognition, however are considered to be simplistic
overview of visuo-cognitive task performance (differences in basic sensory perception in autism)
Paradigm | Stimuli | Finding |
Embedded Figures task | ![]() | Superior performance in autism (Shah & Frith, 1983) |
Block Design | ![]() | Relative strength in autism (Shah and Frith, 1993) |
‘Navon’ Task or hierarchical figures task | ![]() | Locally-oriented perception (Plaisted et al. 1999) |
Visual Search | ![]() | Faster performance in autism than NT (O’Riordan et al.) |
embedded figures task (differences in basic sensory perception in autism)
-see figure, then shown a smaller figure, have to identify where the smaller figure is embedded in the bigger figure
-evidence for autistic advantage in this task → quicker and greater accuracy

visual tasks (differences in basic sensory perception in autism)
-some evidence for altered thresholds in autism e.g., reduced sensitivity to coherent motion and enhanced sensitivity to orientation
-limited replication in these results
-most consistent finding is reduced sensitivity to coherent motion → has been shown in a range of conditions, not just autism
overview of visual tasks (differences in basic sensory perception in autism)
Paradigm & Finding | Stimuli | Reference |
Reduced discrimination of coherent motion | ![]() | Milne et al. 2002 |
Enhanced orientation discrimination | ![]() | Bertone et al. 2005 |
Enhanced detection of symmetry | ![]() | Perreault et al. 2011 |
Reduced discrimination of hue | ![]() | Franklin et al. 2010 |
motion coherence thresholds (differences in basic sensory perception in autism)
-being able to discern overall direction of motion
low coherence → majority of dots moving in different directions
high coherence → majority of dots moving in same direction
-in autism needed to see a higher proportion of dots moving in the same direction in order to identify it → so have higher motion coherence threshold

orientation discrimination thresholds (differences in basic sensory perception in autism)
-the lower the threshold, the better the orientation discrimination (only need a small change in orientation to be able to see the difference)
-lower thresholds in NT sample with higher AQ scores
-lower OD thresholds in autistic adults → better at change orientation tasks
issues with visual tasks (differences in basic sensory perception in autism)
-performance on visual tasks doesn’t correlate with self-report of sensory experiences
-so other factors/explanations needed
lack of correlation between visual tasks and self-report (differences in basic sensory perception in autism)
-questionnaires that measure sensory experiences are likely not nuanced enough to provide a very accurate measurement
-there may be different mechanisms underpinning different experiences
-the role of attention/focus is generally not considered
role of attention in autistic perception (differences in basic sensory perception in autism)
-some research suggests a broader attentional spotlight in autism
-this may underpin supervisor visual search
-may lead to difficulty filtering out distracting stimuli
monotropism (role of attention in autistic perception)
-very focussed attentional state
-autistic people’s neurology processes sensory information engages with something to give it focused attention
-works to move attention from one thing to another
-need to build up inertia to allow sensory systems time to align themselves with what focussing on
-monotropic brain is looking for something to spark its interest –> once this is found the autistic brain is able to lock onto it
visual search advantage in autism
-autism advantage in:
conjunctive search
when target is absent
difficult search
-autistic people show similar findings but are quicker relative to NT people

EEG paradigm - method (studying feature-based selective attention)
-target is green triangle facing up with top cut off
-distractors varied in whether they shared colour and/or orientation with target
-EEG provides marker of attention allocation


EEG paradigm - amplitude (studying feature-based selective attention)
-amplitude of ERP varies depending on how similar the distractors are to the target
-when the distractors are similar to the target, the ERP amplitude at about 400ms after stimulus onset is larger → suggesting increased allocation of attention to the distractor compared to NT
EEG paradigm - results (studying feature-based selective attention)
-difference in the ERP amplitude between the high and low AQ group
-participants with high AQ scores generated larger P3b amplitudes to the distracting stimuli than the low AQ group
-suggests greater allocation of attention to distractors in the high AQ group
-may be a neural marker for altered attention in autism
visual search performance (studying feature-based selective attention)
-alongside EEG task participants also completed a visual search task
-participants with higher AQ scores performed better at the visual search task than the participants with lower AQ scores