1/12
Why we use telescopes and how they work
Name | Mastery | Learn | Test | Matching | Spaced | Call with Kai |
|---|
No study sessions yet.
Light
Wave AND particle
Is a disturbance of electromagnetic fields
AKA electromagnetic radiation
Can travel in a vacuum
The particle to a wave is called a photon
c = (lambda)f and is 3×10^8m/s
High f/short wavelengths → large E
Low f/long wavelengths → small E
The energy
Power
= ¼ pi(Diameter)2
Explains the light gathering power: Increases as the surface area of the telescope’s objective
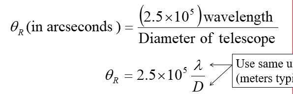
Angular resolution

How large something appears
apparent size = linear size/distance
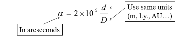
Angular distance/diameter

Real size of an object
