1/33
Looks like no tags are added yet.
Name | Mastery | Learn | Test | Matching | Spaced | Call with Kai |
|---|
No analytics yet
Send a link to your students to track their progress
cos’è un’onda?
è una perturbazione che si propaga in un mezzo
in che categorie si possono classificare le onde?
onde meccaniche (sismiche, sonore, superficiali)
onde elettromagnetiche
poi si possono distinguere:
onde trasversali : le particelle del mezzo si muovono perpendicolarmente alla direzione di propagazione dell’onda
onde longitudinali : le particelle del mezzo si muovono nella stessa direzione di propagazione dell’onda
la velocità di propagazione dipende dalle proprietà fisiche del mezzo come
la densità del mezzo, la sua elasticità o la sua tensione
la materia si sposta mentre passa un’onda?
no. le particelle di materia oscillano attorno alle loro posizioni di equilibrio, dando energia alle particelle vicine permettendo la propagazione. ma poi tendono a tornare alla loro posizione
cos’è l’oscillatore armonico?
è un sistema in cui un corpo oscilla attorno a una posizione di equilibrio sotto l’influenza di una forza di richiamo (come la forza elastica)
che rapposrto c’è tra la forza di richiamo e lo spostamento?
sono direttamente proporzionali. più la particella si allontana dalla sua posizione di equilibrio, più la forza di richiamo è forte. hanno stessa direzione e verso opposto
legge di hooke?

il meno davanti alla costante non indica che la costante elastica k è negativa, ma che la forza di richiamo è sempre opposta allo spostamento, ovvero alla forza applicata per far allungare o comprimere la molla
accelerazione dalla forza di richiamo?
a = - k/m • x
questo perché F = m • a
dove m è la massa del corpo
la forza elastica e l’accelerazione che ne deriva cosa provocano
il moto armonico, un moto periodico e sinusoidale
cos’è un oscillatore armonico lineare
è un sistema in cui il movimento di ogni punto del mezzo avviene in modo trasversale
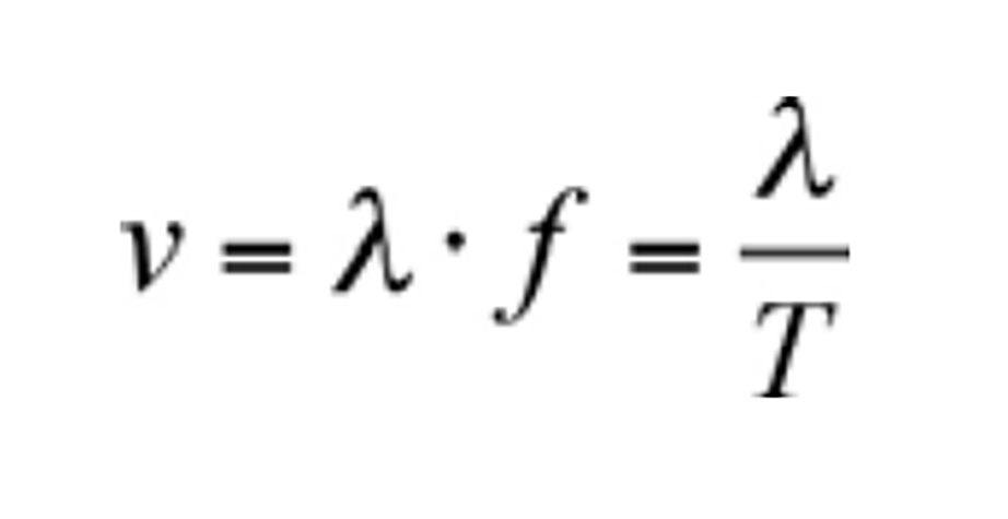
cos’è la frequenza di un’onda meccanica
è il numero di oscillazioni complete che il punto del mezzo compie in un secondo.

è l’inverso del periodo
cos’è Il periodo di un’onda meccanica?
è il tempo necessario per compiere un’oscillazione completa
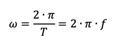
cos’è la pulsazione di un’onda meccanica
è una misura della velocità con cui il sistema oscilla, espressa in radianti al secondo.

la pulsazione misura quante volte l’onda percorre un angolo di 360
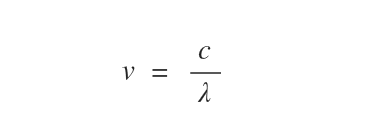
cos’è la lunghezza d’onda λ?
è la distanza tra 2 punti consecutivi di un’onda che si trovano nella stessa fase del movimento, come ad esempio due creste (punti di massima altezza) o due valli (punti di minima altezza).
è legata alla velocità di propagazione e alla frequenza tramite la formula:

come si calcola la velocità di propagazione?


velocità della propagazione su una corda
V = √T/μ
(tutto sotto radice)
T è la tensione
μ è la densità lineare → μ = m/l , dove l è la lunghezza della corda
velocità di propagazione dell’onda sonora
dove P è la pressione del gas
d è la densità
Come si calcola la densità lineare ?
Sì calcola facendo:
Massa della corda/lunghezza della corda
OPPURE
Densità del materiale per sezione delle corda o del filo
Nel caso di una corda a sezione circolare, la sezione è: pigreco per raggio al quadrato
E se volessi calcolare la massa della corda?
Beh m = densità per sezione per lunghezza
La velocità di propagazione di un’onda in un fluido?
V = (rapporto tra calore specifico del gas a pressione standard e calore specifico del gas a volume standard) per Pressione del fluido per Densità del fluido
Questa formula ci dice che la velocità di propagazione di un onda in un fluido è direttamente proporzionale alla pressione e alla densità
La velocità di propagazione è maggiore se il mezzo è ….. comprimibile
Meno
La velocità di propagazione è minore se un mezzo è ….. denso
Più
Dal fatto che la velocità di propagazione è maggiore nelle sostanze meno comprimibili, si capisce che la velocità di propagazione di un’onda sonora sarà maggiore in mezzi ….. e ….. rispetto ai gas
Come si calcola l’energia trasportata da un’onda per unità di lunghezza lungo una corda?
E = ½ per densità lineare per velocità dell’onda per l’ampiezza dell’onda al quadrato
Come si calcola l’energia trasportata da un’onda per unità di volume del mezzo?
E = ½ per densità del mezzo per la velocità dell’onda al quadrato per l’ampiezza dell’onda
In un’onda stazionaria su una corda con estremi fissi, i punti che rimangono fermi sono chiamati ….. dove l’ampiezza dell’onda è …..
I punti che oscillano con l’ampiezza massima sono chiamati …..
Questi 2 punti si alternano lungo la corda.
Nodi, zero, ventri (o antinodi)
Il livello di pressione sonora L in decibel (dB) è calcolato usando la formula
L = 10log in base 10 di (intensità del suono fratto 10 alla -12 W/m2, che è la soglia di udibilità)
Formula effetto doppler

Maggiore è la rigidità di un mezzo, ….. sarà la velocità con cui si propaga il suono
Maggiore
Più un mezzo è elastico, ….. sarà la velocità di propagazione del suono in quel mezzo
Maggiore
L’energia trasportata da un’onda è ….. proporzionale al quadrato della sua …..
Direttamente, ampiezza
In un oscillatore armonico la forza di richiamo è direttamente proporzionale allo ….. dall’ ….. e agisce verso la …..
Spostamento, equilibrio, posizione di equilibrio
Se la tensione aumenta 4 volte, la velocità di propagazione aumenterà di
Radice di 4, quindi 2
Velocità di propagazione delle onde meccaniche nei solidi elastici
V = tutto sotto radice di E (modulo di young) fratto densità del materiale
Come si calcola il modulo di young?
E = tensione meccanica / deformazione
Tensione meccanica è F/Area
Deformazione è: variazione di lunghezza / lunghezza iniziale
Quindi sarebbe
E = F per lunghezza iniziale / Area per variazione di lunghezza