Medical And veterinary entomology midterm

0.0(0)
studied byStudied by 0 people
0.0(0)
full-widthCall with Kai
GameKnowt Play
New
learnLearn
examPractice Test
spaced repetitionSpaced Repetition
heart puzzleMatch
flashcardsFlashcards
Card Sorting

1/207

encourage image

There's no tags or description

Looks like no tags are added yet.

Study Analytics
Name
Mastery
Learn
Test
Matching
Spaced

No study sessions yet.

208 Terms

1
New cards

Entomology definition

The scientific study of insects, including their behavior, ecology, taxonomy, and physiology. Study of segmented arthropods. 

2
New cards

Basic characteristics of Arthropods

Jointed appendages, segmented body, and External skeleton

3
New cards

Types of problems caused by arthropods

Annoyance/nuisance

Toxins and Venoms

• Toxins are chemicals that interfere with normal

physiological function

• Venoms are poisons injected by specialized

morphological structures

Disease: Destruction of host tissues

• Called “myiasis” when done by fly larvae

Disease = vector-borne diseases

Disease = Food contamination

Disease = Allergic reactions

Disease = Psychological stress

Fear

Delusional disorders (eg. Morgellons disease)

4
New cards

Class insecta 

head louse, psocodea, diptera ( includes mosquitos, horse fly, and flesh fly), and Balttodea

5
New cards

Class Arachnida 

includes scorpiones, trobidiformes, ixodida, and araneae

6
New cards

The most dangerous animal

Mosquitos (they kill 725,000 people a year). Malaria alone accounts for 600,000 deaths

7
New cards

Robert Koch

Koch’s postulates: germ theory of disease versus miasma theory

8
New cards

Patrick manson

Founder of the tropical medicine field. He discovered the role of mosquitoes in human elephantiasis. 

9
New cards

Theobald smith

discovered the causative agent of texas cattle fever was vectored by the cattle tick

10
New cards

Ronald Ross

Described the life-cycle of the parasites of malaria

11
New cards

Walter Reed

Demonstrated the role of Aedes mosquitoes in the transmission of yellow fever.

12
New cards

William Burgdorfer, Alan Barbour, Jorge L Benach

discovery of the agent of lyme disease

13
New cards

Koch’s Postulates

Step 1: The microorganism must be found in abundance in all organisms suffering from the disease, but should not be found in healthy organisms.

Step 2: The microorganism must be isolated from a diseased organism and grown in pure culture

Step 3: The cultured microorganism should cause disease when introduced into healthy organism

Step 4: The microorganism must be reisolated from the inoculated diseased experimental host and identified as being identical to the original specific causative agent.

14
New cards

What is a vector borne disease

a disease transmitted by a vector

15
New cards

What is a vector

AN organism, typically a blood-feeding arthropod, that transmits a pathogen from an infected host to a naive host. 

16
New cards

Modes of vector-transmission

Mechanical and Biological

17
New cards

Mechanical vector transmission

Picks up an infectious agent on the outside of its body and transmits it in a passive manner. 

18
New cards

Biological vector transmission

propagative, cyclodevelopmental, and cyclopropagative 

19
New cards

Propagative transmission

occurs when the organism ingested with the blood meal undergoes a simple multiplication in the vector

20
New cards

cyclodevelopmental transmission

the causal organism undergoes developmental changes from one stage to another but does not multiply in the vector. 

21
New cards

Cyclopropagative transmission

The agent reproduces and undergoes cyclical changes in the vector

22
New cards

Four criteria used to identify a primary vector

associate and feed on the reservoir/s and its seasonality should coincide with the incidence of vertebrate infection

be commonly found infected with the disease agent in question (in "field" collections)

be shown to become infected experimentally

be shown to be capable of transmitting the disease to an uninfected host (under controlled conditions)

23
New cards

vector competence

refers to the ability of the arthropod to acquire, maintain, and transmit a pathogen.

24
New cards

Vectorial capacity

An equation that accounts for the major factors of pathogen transmission by mosquito’s and is defined as the average number of new vertebrate infections per day resulting from an initial index case.

25
New cards

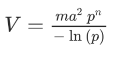
Formula for vectorial capacity

The ratio of mosquitoes to humans ( m ); human biting rates ( a ); mosquito survival through one day ( p ); pathogen latent period (n days)

<p>The ratio of mosquitoes to humans ( m ); human biting rates ( a ); mosquito survival through one day ( p ); pathogen latent period (n days)</p><p></p>
26
New cards

What 4 components does vectorial capacity depend on?

Number of mosquitoes divided by number of people, survivorship, feeding frequency and type, and vector competence

27
New cards

Bridge vector

Organism, typically a biting arthropod, that transmits a pathogen from one animal host to a human

28
New cards

enzootic vector

Organism, typically a biting arthropod, that transmits a pathogen from one animal host to another. 

29
New cards

Risk probability of human infection

A = vector abundance, Fm = fraction of human blood meals, P = infection prevalence in the vector, Cv = fraction of infected mosquitoes that will transmit the disease by a subsequent bit = vector competence.

<p>A = vector abundance, Fm = fraction of human blood meals, P = infection prevalence in the vector, Cv = fraction of infected mosquitoes that will transmit the disease by a subsequent bit = vector competence. </p>
30
New cards

MIR

Mosquito infection rate is calculated as the ratio of the number of positive pools to the total number of mosquitos tested. ([Number of positive pools/Total specimens tested] X 1000)

31
New cards

Endemic disease

Refers to a disease regularly occurring in people within an area or community

<p>Refers to a disease regularly occurring in people within an area or community</p>
32
New cards

Epidemic

The rapid spread of disease to a large number of patients among a given population within an area in a short time

<p>The rapid spread of disease to a large number of patients among a given population within an area in a short time</p>
33
New cards

Pandemic

Is an epidemic of an infectious disease that has spread across a large region, for instance, multiple continents or worldwide, affecting a substantial number of individuals.

<p>Is an epidemic of an infectious disease that has spread across a large region, for instance, multiple continents or worldwide, affecting a substantial number of individuals. </p>
34
New cards

Enzootic

Refers to a disease involving non-human in a specific geographical area where the disease is constantly present at a low incidence. Basically the animal equivalent of endemic

35
New cards

Epizootic

Is the rapid spread of a disease to a large number of non-human patients among a given population within an area in a short time

36
New cards

Why are vector bone diseases on the rise

Global warming

37
New cards

Invasive mosquitos

They are the drivers of most recent epidemics of mosquito-borne diseases. invasive mosquitos are culex pipiens, culex quinquefasciatus, aedes albopictus, and aedes aegypti

38
New cards

Mosquito (culicidae) taxonomy

Kingdom: Animalia

Phylum: Arthropoda

Class: insecta

Order: Dipetra

Family: Culicidae

Subfamily: Anophelinae or Culicinae.

39
New cards

Morphological differences between anopheline and culicine in relation to the stages. 

knowt flashcard image
40
New cards

Anopheles gambiae complex (anthropophilic)

malaria and human filariasis. Contains A.gambiae (endophilic,endophagic) and A.arabiensis (drier climates). 

41
New cards

Culex pipiens

Close group of domectis and peridomestic species. Can be vectors for west Nile, st.Louis encephalitis, and bird malaria).

found in temperate climates: cx. pipiens form molestus

tropical and subtropical: cx.Quinquefasciatus

42
New cards

Aedes spp.

vector for dengue, chikungunya, zika, and yellow fever.

Aedes aegypti (yellow fever mosquito). Feral form aegypti vs domestic aegypti

Aedes albopictus (asian tiger mosquito) cold hardy egg-diapausing strain is invasive.

43
New cards

Anthropophilic

Preferring or seeking a human host over another animal. supplement the term anthropophilic is used to describe parasites that prefer or seek human as host rather than other animals

44
New cards

endophilic

a mosquito that tends to inhabit/rest indoors

45
New cards

endophagic

a mosquito that feeds indoors

46
New cards

Mosquito eggs: Morphology

knowt flashcard image
47
New cards

Larvae morphology

knowt flashcard image
48
New cards

larvae morphology continued

knowt flashcard image
49
New cards

pupa morphology

knowt flashcard image
50
New cards

Mosquito life cycle for culex

Eggs are laid in rafts at the water surface, larva rests at angle to water surface, pupa takes air from water surface, adult emerges at water surface from pupa

<p>Eggs are laid in rafts at the water surface, larva rests at angle to water surface, pupa takes air from water surface, adult emerges at water surface from pupa</p>
51
New cards

World wide invasive mosquitoes

Aedes aegypti (expanded worldwide after the 1500’s) (tropical)

Aedes albopictus (expanded worldwide after the 1960’s) (tropical and temperate)

Aedes japonicus japonicus (expanded worldwide after the 1990’s) (temperate)

52
New cards

US distribution of aedes aegypti L.

Alothough Ae.Aegypti is tropical it has permanent temperate populations

<p>Alothough Ae.Aegypti is tropical it has permanent temperate populations</p>
53
New cards

US distribution of aedes albopictus skuse

Aedes Albopictus has temperate and tropical forms. In its native range it occurs across a broad latitudinal range. 

<p>Aedes Albopictus has temperate and tropical forms. In its native range it occurs across a broad latitudinal range.&nbsp;</p>
54
New cards

Phylum arthropoda

The largest in the animal kingdom. 

Characteristics: exoskeleton (hardened plates with flexible joints) made predominantly of chitin (a nitrogenous polysaccharide = polymer of n-acetyl-glucosamine), articulated appendages, segmentation, open circulatory system (contains hemolymph and specialized excretory structures, malaphighian tubules).

55
New cards

Exoskeleton

AN exoskeleton is an external skeleton that supports and protects an animal’s body. It protects against predator, it supports and provides an attachment framework for muscles, and protects against desiccation. 

56
New cards

encdysis

The molting of the cuticle in many invertebrates. repairs damaged tissue

57
New cards

cuticle

an inelastic exoskeleton. cuticle grows via fluids or air. 

58
New cards

exuvia or exuviae

the empty exoskeleton

59
New cards

what happens to the cuticle after molting?

the cuticle is soft and it hardens and darkens following a tanning process.

60
New cards

epicuticle

thin and made of 4 layers: cuticulin layer, polyphenol layer (involved in tanning) layer, wax layer (essential for water retention) and cement layer (gland cells). p

61
New cards

procuticle

mix of protein and chitin (nitrogenous polysaccharide = polymer of n-acetyl-glucosamine). 

62
New cards

what happens to the procuticle after molting

the procuticle differentiates into the endocuticle (soft and flexible) and exocuticle (hardness and rigidity/sclerotin)

63
New cards

Pore canals

cytoplasmic extension of epidermal cells that retract after molting form the canal

64
New cards

hemolymph

has the same functions of the vertebrate blood and lymph combined (except that oxygen reaches cells through the tracheal system - CO2 dissolves and is excreted by the malpighian tubes). Also acts as a physical force (hydraulic) to extend proboscis, reproductive organs, molt.

<p>has the same functions of the vertebrate blood and lymph combined (except that oxygen reaches cells through the tracheal system - CO2 dissolves and is excreted by the malpighian tubes). Also acts as a physical force (hydraulic) to extend proboscis, reproductive organs, molt.</p>
65
New cards

Hemocytes

cellular components that help with wound repair, detoxification, immunity

66
New cards

respiratory system

knowt flashcard image
67
New cards

insect development

knowt flashcard image
68
New cards

Ametabola

the most primitive wingless insects (apterygota), there is almost no change in form throughout growth to adult

69
New cards

Hemimetabolism or hemimetaboly

incomplete metamorphosis, is the mode of development of certain insects that includes three distinct stages: the egg, nymph, and the adult stage or imago. There is no pupal stage these insects only go through gradual changes. The nymph often has a thin exoskeleton and resembles the adult stage but lacks wings and functional reproductive organs

70
New cards

Holometabolous

prevents larvae from competing with adults because they inhabit different ecological niches. Each stage is adapted for different activities. Larval traits maximize feeding, growth, and development, while adult traits, enable dispersal, mating, and egg laying. Goes through complete metamorphosis.

71
New cards

Morphological adaptations of parasitic arthropods: body shape and wings

Modifications of body shape to facilitate movement on host. Ectoparasites with long-term close association with the host: dorsoventral (bedbugs, ticks) or lateral flattening of body (fleas). Wings (tabanids, lice, louse, flies)

72
New cards

Morphological adaptations of parasitic arthropods: Mouth parts

Adapted to feed on blood, hemolymph, skin secretions (mouth part adapted for piercing) or skin, feathers, skin scales (chewing mouth parts). Telemophages (pool feeders (create a pool of blood and then feed)) versus selenophages (capillary feeders (feed directly from the capillary)). 

73
New cards

Mouth parts of insects

Chewing mouth part is the most archaic and every other one evolved from chewing mouth part

<p>Chewing mouth part is the most archaic and every other one evolved from chewing mouth part</p>
74
New cards

myasis

It is the parasitic infestation of the body of a live animal by fly larvae (maggots) that grow inside the host while feeding on its tissue.

75
New cards

WHat flies cause myasis

Calliphoridae (blow flies) and muscidae (house flies, stable flies).

76
New cards

How myasis occurs

flies are attracted to open wounds and urine or feces soaked fur. Some species (the botfly, blowfly, and screwfly) can create an infestation on unbroken skin. Myasis is vector mediated. 

77
New cards

Free living flies

pseudomyiasis or accidental myiasis

78
New cards

Parasitic flies

obligatory myasis

79
New cards

pseudomyiasis or accidental myiasis

It is caused by free-living flies that can become parasitic under rare conditions. Ex. ingestion of food contaminated with eggs or larvae.

80
New cards

Facultative myiasis

Involves larvae that can be either free-living, detritivores or parasites. These flies are opportunistic.

{

81
New cards

Primary myiasis (facultative myiasis)

involve those species that can initiate myiasis

82
New cards

Secondary myiasis (facultative myiasis)

involves species that cannot initiate but can continue myiasis

83
New cards

Treitary myiasis (facultative myiasis)

species that join primary and secondary species at or right before host death

84
New cards

Obligatory myiasis

The maggots of the fly species involved in obligatory myiasis are always parasitic. they require a living host for their development

85
New cards

Temporary Myiasis (obligatory myiasis)

Intermittent contact between a fly larva and its host. Ex nestling maggots and floor maggots

86
New cards

incidental myiasis (obligatory myiasis)

parasitism of an atypical host by obligate myiasis producing flies.

87
New cards

Why do myiasis

It is a mean of exploiting a rich protein source by the larva for its development and in some cases for adult reproduction. Dietary proteins are required for growth, development, and egg production. Proteins can be obtained by larvae, adults or both.

88
New cards

Public health concerns of myiasis

Human myiasis is relatively uncommon. it occurs seasonally and sporadically in temperate regions and during the wet

season in the tropics.

In South America several hundred human cases by the New World screwworm (Cochliomyia hominivorax) have been reported.

Some Africans countries show a high prevalence of furuncular myiasis by Cordylobia anthropophaga

Most human cases of facultative or obligatory myiasis are only temporary or are aborted because humans are not suitable hosts.

Maggots do not complete their development in people because they are usually interrupted by self-grooming or medical intervention.

89
New cards

Types of myiasis in humans 

Gastrointestinal myiasis, wound myiasis, and ophthalmic myiasis. 

90
New cards

Gastrointestinal myiasis

ingestion of eggs or maggots from infested food can result in general malaise, nausea, vomiting, cramps and diarrhea

91
New cards

wound myiasis

people living close to farms and especially infirm people, are at higher risk.

92
New cards

Ophthalmic myiasis

the most common form of human myiasis. it is generally caused by a sheep nose bot when a gravid female oviposits into an eye while hovering.

93
New cards

Veterinary importance of myiasis. 

Myiasis fundamentally affects wild and domestic animals.

        • Exposure

        • Untreated open wounds

Seasonal incidence: calving, foaling, lambing.

        • Decrease humoral response against maggots.

        • Placenta carrion and exposed umbilical cord enhance fly activity.

Economic impact

        • Screwworms: commonly cause death.

        • Carrion/blow flies (Calliphoridae)

        • Flesh flies. (Sarcophagidae)

94
New cards

Screw worm myiasis (Cochliomyia homnivorax)

Diptera, Calliphoridae = blowflies or bottle flies

Affects warm-blooded animals and eat healthy tissue.

Infestation is serious and can be fatal.

It is present in the New World tropics.

There are five species of Cochliomyia

• C. macellaria= secondary screwworm (feed on necrotic tissue)

• C. homnivorax=primary screwworm (feed on healthy tissue)

• There is also a single Old World species in a different genus (Chrysomya bezziana)

95
New cards

Life cycle of Cochliomyia homnivorax

Gravid females are attracted to fresh open wounds on any warm - bodied animal

each female deposits 100-200 eggs (up to 1,000 in lifetime)

females feed at the wound to obtain extra protein/lipids

after 10-20 hours eggs hatch

maggots develop in 4-12 days, then drop to the ground and pupate

after 1 week adults hatch, mate. and in a few days, look for hosts

entire cycle (egg to egg) takes 2-3 weeks

96
New cards

Myiasis –Dermatobia homini (tórsalo, human bot fly)

they are from the order diptera and the family oestridae

the human botfly, dermatobia hominis is one of several species of flies, the larvae of which parasitise humans.

distribution: neotropical

pests of cattle, but also infects humans, dogs, monkeys

uses zoophilic or anthropophilic insects as porters: dermatoid fly eggs have been shown to be vectored by over 40 species of mosquitos and muscoid flies. The female captures the mosquito and attaches its eggs to its body.

Development: the larvae develop inside the subcutaneous layers. After about 8 weeks, they drop out to pupate for at least a week, typically in the soil. 3 larval instars: 5-10 weeks but may take 3 or more months (can overwinter). Pupae: 25 to 132 days (can overwinter)

the adults are large flies resembling bumblebees. they are easily recognized because they lack mouthparts.

larvae develops only if the wound does not become infected, patients rarely experience infections.

97
New cards

prevention and control of myiasis

Avoid contact between host and myiasis causing flies

early treatment of wounds to prevent myiasis

reduction or elimination of myiasis fly populations

98
New cards

Screwworm eradication program

The sterile male technique was developed and championed by screwworm researchers.

1945-1955 the first successful field test was achieved with the eradication of the primary screwworm C. homnivorax.

subsequent eradications were achieved in the USA, puerto rico, mexico etc.

99
New cards

Distribution and eradication of the screwworm fly

Currently, there is a sterile-male buffer zone at the Darien Gap between Panama and Colombia But there have also been reintroductions!

100
New cards

Sterile insect technique

SIT is a method of insect control whereby overwhelming numbers of sterile males are released into the wild. The sterile males compete with the wild males to mate with females. females that mate with a sterile male produce no offspring, thus reducing the next generation’s population. SIT is not self replicating and therefore cannot become established in the environment.