1/666
Looks like no tags are added yet.
Name | Mastery | Learn | Test | Matching | Spaced |
|---|
No study sessions yet.
nicotine

muscarine

tubocurarine (nicotine antagonist)

atropine (muscarine antagonist)
- antidotum organofosforverbindingen

Dimethylfenylpiperazine (nicotine agonist)

Hexamethonium (nicotine antagonist)

Xanomeline (muscarine 1 agonist)
- Alzheimer

Pirenzepine (muscarine 1 antagonist)
- benzodiazepione
- ulcus --> maagzuursecretie verminderen
- Parkinson
- COPD

AF-DX 116 (muscarine 2 antagonist)
- bradyaritmie
- vroege Alzheimer

Methoctramine (muscarine 2 agonist)
- tachyaritmie
- coronaire hartziektes

Hexahydrosiladifenidol (muscarine 3 agonist)
- atonie GI-kanaal en urineblaas

Darifenacine (muscarine 3 antagonist)
- hyperactiviteit gladde spieren
- COPD
- overmatige kliersecretie

Lobeline (partiele agonist nicotinereceptor)

Acetylcholine

Varenicline (partiele agonist nicotinereceptor)
- hulp bij rookstop

Succinylcholine (neuromusculaire blokker: leptocurares)
- verlamming spieren bij operatie
- elektroconvulsie therapie

Decamethonium (neuromusculaire blokker: leptocurares)
- verlamming spieren bij operatie
- elektroconvulsie therapie

Pancuronium (neuromusculaire blokker: pachycurares)
- verlamming spieren bij operatie
- elektroconvulsie therapie

Vecuronium (neuromusculaire blokker: pachycurares)
- verlamming spieren bij operatie
- elektroconvulsie therapie

Rocuronium (neuromusculaire blokker: pachycurares)
- verlamming spieren bij operatie
- elektroconvulsie therapie

Gallamine (neuromusculaire blokker: pachycurares)
- verlamming spieren bij operatie
- elektroconvulsie therapie

Cisatracurium (neuromusculaire blokker: pachycurares)
- verlamming spieren bij operatie
- elektroconvulsie therapie

Mivacurium (neuromusculaire blokker: pachycurares)
- verlamming spieren bij operatie
- elektroconvulsie therapie

Suggamadex
- inhiberen werking pachycurares

Cocaine (ionkanaalblokker)
- lokaal anestheticum

Benzoyltropine (ionkanaalblokker)
- lokaal anestheticum

Beta-eucaine (ionkanaalblokker)
- lokaal anestheticum

orthocaine (ionkanaalblokker)
- lokaal anestheticum

Oxybuprocaine (ionkanaalblokker)
- lokaal anestheticum

Tetracaine (ionkanaalblokker)
- lokaal anestheticum

Proxymetacaine (ionkanaalblokker)
- lokaal anestheticum

Benzocaine (ionkanaalblokker)
- lokaal anestheticum

Amylocaine (ionkanaalblokker)
- lokaal anestheticum

Procaine (ionkanaalblokker)
- lokaal anestheticum

Dibucaine (ionkanaalblokker)
- lokaal anestheticum

Lidocaine (ionkanaalblokker)
- lokaal anestheticum

Prilocaine (ionkanaalblokker)
- lokaal anestheticum

Mepivacaine (ionkanaalblokker)
- lokaal anestheticum

Bupivacaine (ionkanaalblokker)
- lokaal anestheticum epiduraal

Ropivacacaine (ionkanaalblokker)
- lokaal anestheticum

Articaine (ionkanaalblokker)
- lokaal anestheticum

Carbachol (muscarine agonist)

Metacholine (muscarine agonist)

Betanechol (muscarine agonist)

Pilocarpine (muscarine agonist)
- oogonderzoek
- drainage oogkamer vocht
- ziekte van Sjogren

Tremorine (muscarine agonist)
- prodrug
- inductie tremor

Oxotremorine (muscarine agonist)
- inductie tremor

Procyclidine (muscarine antagonist)
- solanacae alkaloĆÆd zonder ester
- Ziekte van Parkinson tremor
- neveneffecten antipsychotica

Dexetimide (muscarine antagonist)

Scopolamine (muscarine antagonist)
- solanacae alkaloĆÆd
- sedatie en amnesie
- reisziekte

Methylatropine (muscarine antagonist)
- solanacae alkaloĆÆd

Methylscopolamine (muscarine antagonist)
- solanacae alkaloĆÆd

Deptropine (muscarine antagonist)
- solanacae alkaloĆÆd

Ipatropium (muscarine antagonist)
- solanacae alkaloĆÆd
- COPD
- asthma

Tiotropium (muscarine antagonist)
- solanacae alkaloĆÆd
- COPD
- asthma

Oxitropium (muscarine antagonist)
- solanacae alkaloĆÆd
- COPD
- asthma

Homatropine (muscarine antagonist)
- solanacae alkaloĆÆd
- oogheelkunde

Butylhyoscine (muscarine antagonist)
- solanacae alkaloĆÆd
- spasmolyticum

Glycopyrronium (muscarine antagonist)
- solanacae alkaloĆÆd met gewijzigde tropaanring
- COPD
- overmatig zweten

Cyclopentolaat (muscarine antagonist)
- solanacae alkaloĆÆd met gewijzigde tropaanring
- verwijden pupil

Propiverine (muscarine antagonist)
- solanacae alkaloĆÆd met gewijzigde tropaanring
- overactieve blaas

Aclidinium (muscarine antagonist)
- solanacae alkaloĆÆd met gewijzigde tropaanring
- COPD

Trihexyfenidyl (muscarine antagonist)
- solanacae alkaloĆÆd zonder ester
- ziekte van Parkinson tremor

Orfenadrine (muscarine antagonist)
- solanacae alkaloĆÆd zonder ester

Biperideen (muscarine antagonist)
- solanacae alkaloĆÆd zonder ester

Tiemonium (muscarine antagonist)
- solanacae alkaloĆÆd zonder ester

Tropicamide (muscarine antagonist)
- solanacae alkaloĆÆd zonder ester
- oogheelkunde

Umeclidinium (muscarine antagonist)
- solanacae alkaloĆÆd zonder ester
- COPD

Telenzepine (muscarine antagonist)
- thienobenzodiazepine
- onderdrukking maagzuursecretie

Oxybutynine (parasympaticolyticum)
- spasmolyticum
- instabiele blaas

Tolterodine (parasympaticolyticum)
- spasmolyticum
- prodrug
- instabiele blaas

Solifenacine (parasympaticolyticum)
- spasmolyticum

Fesoterodine (parasympaticolyticum)
- spasmolyticum
- prodrug
- instabiele blaas

Edrophonium (Acetylcholinesterase inhibitor)
- reversibele competitieve inhibitor
- antagonist pachycurares

Ambenonium (Acetylcholinesterase inhibitor)
- reversibele competitieve inhibitor
- Myasthenia Gravis

Tacrine (Acetylcholinesterase inhibitor)
- reversibele competitieve inhibitor
- Alzheimer

Donepezil (Acetylcholinesterase inhibitor)
- reversibele competitieve inhibitor
- Alzheimer

Rivastigmine (Acetylcholinesterase inhibitor)
- reversibele competitieve inhibitor
- Alzheimer

Galantamine (Acetylcholinesterase inhibitor)
- reversibele competitieve inhibitor
- Alzheimer

Fysostigmine (Acetylcholinesterase inhibitor)
- carbamaat

Neostigmine (Acetylcholinesterase inhibitor)
- carbamaat

Pyridostigmine (Acetylcholinesterase inhibitor)
- carbamaat

Aceclidine (Acetylcholinesterase inhibitor)
- glaucoom

Carbaryl (Acetylcholinesterase inhibitor)
- carbamaat
- insecticide

Pralidoxime (Acetylcholinesterase inhibitor antidoot)
- antidoot

Adrenaline
- allergische reactie waarbij ademhaling in bedwang komt
- versnellen hartslag

Noradrenaline

Fenylefrine (alfa adrenerge agonist)
- neusspray

Isoprenaline (beta adrenerge agonist)

Alfa-methyltyrosine (inhibitor tyrosinehydroxylase)

Alfa-methyldopa (inhibitor DOPA decarboxylase)
- hypertensie

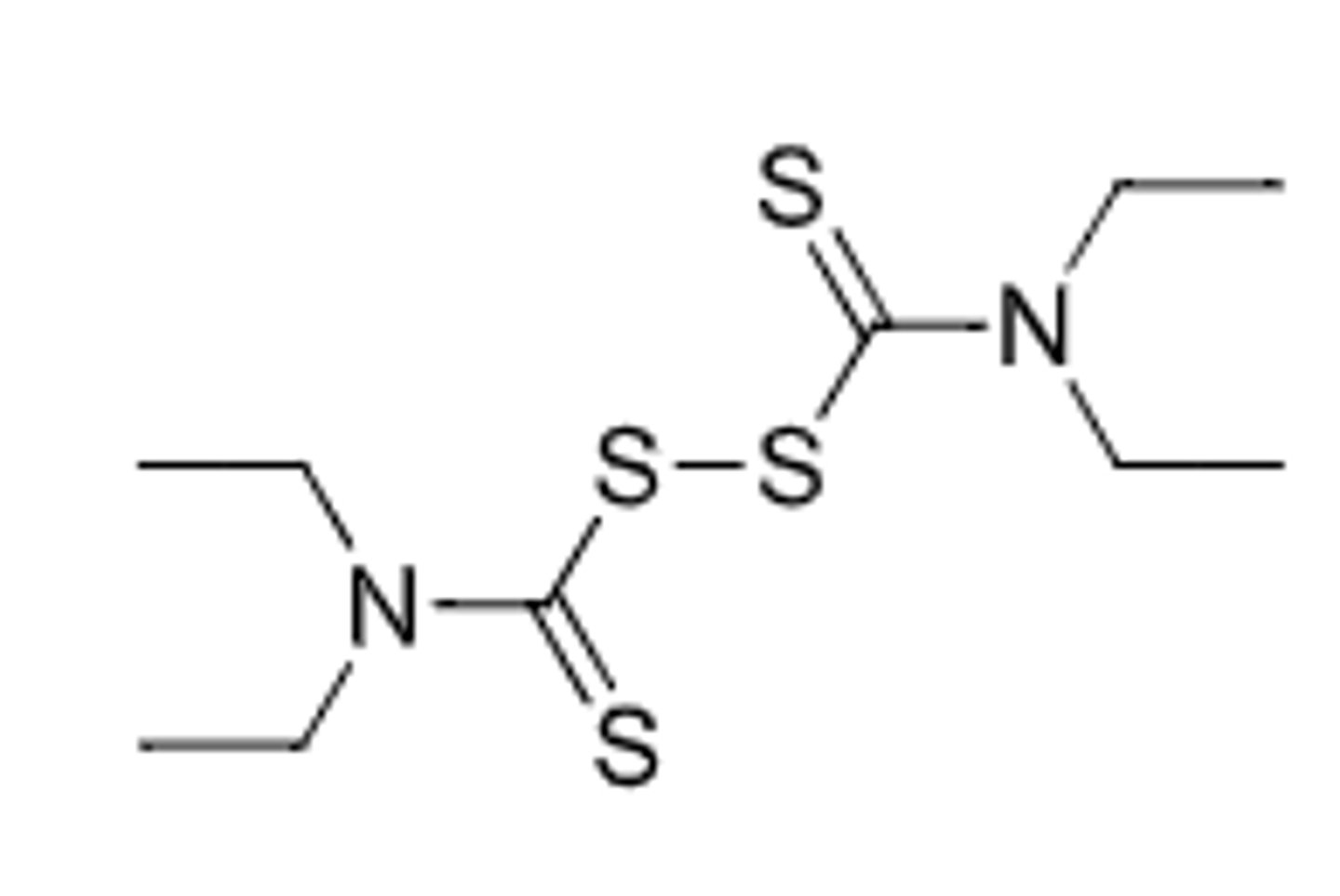
Disulfiram (inhibitor beta hydroxylase)
- alcoholverslaving

Reserpine (inhibitor vesikeltransport)
- hypertensie

Bretylium (inhibitor vrijstelling NOR)

Guanethidine (adrenerge neuronale blokker)
- hypertensie

Amfetamine (indirect sympaticomimeticum)

Efedrine (indirect sympaticomimeticum)

Tyramine

Reboxetine ( NOR reuptake inhibitor)
- depressie
Viloxazine ( NOR reuptake inhibitor)
- ADHD
