1/83
Looks like no tags are added yet.
Name | Mastery | Learn | Test | Matching | Spaced | Call with Kai |
|---|
No analytics yet
Send a link to your students to track their progress
Two numerical ways of describing data
Measures of Location
Measures of Dispersion
Measures of Location (Central Tendency)
Pinpoint the center of a set of values.
Considering only measures of __________ can lead to erroneous conclusions; dispersion provides crucial additional context.
Measures of Dispersion (Variation/Spread)
Describe the spread or variability of the data.
Population
all the possible values or observations
Sample
a subset drawn from a population
Population Mean
The sum of all values divided by the number of values.
Population Mean Formula
μ = (ΣXᵢ) / N
where…
μ = __________
(ΣXᵢ) = sum of all X values in the population
N = number of values in the population
Parameter
any measurable characteristic of a population
ex: the mean of a population is an example of this
Parameter vs. Statistic
________ is any measurable characteristic of a population.
________ is any measurable characteristic of a sample.
Sample Mean Formula
x̄ = (ΣXᵢ) / n
where…
x̄ = ________
(ΣXᵢ) = sum of all x values in the sample
n = number of values in the sample
Statistic
Measure based on sample data
ex: mean of a sample
Properties of the Arithmetic Mean
A mean exists for every set of interval or ratio-level data.
Includes all values in computing the mean.
A mean is unique for any given data set.
The sum of deviations from the mean is always zero: Σ(X- x̄) = 0
Summation Properties

Weakness of the Mean
Unduly affected by unusually large or small values (outliers), making it potentially unrepresentative.
Weighted Mean
Used when some values are more important than others. Each value is multiplied by its corresponding weight, summed, and then divided by the sum of the weights.
Ex: calculating for grades (where some are weighted more than others)
Weighted Mean Formula
(w₁x₁ + w₂x₂ + ... + wₙxₙ) / (w₁ + w₂ + ... + wₙ) = (Σwᵢxᵢ) / (Σwᵢ)
where…
the weight (w₁) of x₁ times x₁ plus the the weight (w₂) of x₂ times x₂… divided by the sum of the weights

Median
The midpoint of the values after they have been ordered from smallest to largest or largest to smallest.
Odd number of observations: The middle observation.
Even number of observations: The mean of the two middle observations. (May not be one of the original values).
Advantage: Unaffected by outliers
Mode
The value that appears most frequently in a data set.
Disadvantages
May not exist (no value appears more than once).
May have multiple modes (bimodal, multimodal).
Less frequently used than mean or median.
Mean = Median = Mode
for a symmetric mound-shape distribution
Skewed distribution
not symmetrical
positively skewed distribution
a data distribution where most values are concentrated on the left side of the graph; skewed to the right (looks like a p)
the arithmetic mean is the largest of the three measures because the mean is influenced more than the median/mode by a few extremely high values
the median is the next largest measure in a ___________
mode is the smallest

negatively skewed distribution
a data distribution where most values are concentrated on the right side of the graph (skewed to the left)
mean is the lowest of the three measures, influenced by a few extremely low observations
median is greater than mean
mode is the largest of the three

Mode is usually used for…
nominal-level data
Median is usually used for…
ordinal-level data
Mean is usually used for…
ratio-level data
Geometric Mean
useful for finding the average of percentages, ratios, indexes, or growth rates
ex: GDP which compound or build on each other
Geometric Mean Formula 1
n is the total number of terms (X) that are being multiplied
GM ≤ Arithmetic Mean
All data values must be positive

Geometric Mean vs. Arithmetic Mean
_________ uses addition and division to find the average of a set of numbers, while _________ uses multiplication and roots to find the average, particularly for growth rates or ratios.
The AM is suitable for additive data, while the GM is better for multiplicative relationships, such as investment returns or population growth, and requires positive numbers.
Geometric Mean Formula 2
to find an average percent increase over a period of time
ex: financial economics

Why study dispersion?
Measures of location alone do not describe the spread of data.
Allows for comparison of spread between two or more distributions.
ex: tour guide said river is avg. 3ft, but dispersion can say oh you can’t walk cuz there’s a 5 ft. section
Small Dispersion Meaning
data are clustered around the mean, making the mean representative.
Large Dispersion meaning
means the mean is less reliable as a representation of the data.
Range
Largest value - smallest value
Mean Deviation
Measures the average distance of all the values from the mean.
The arithmetic mean of the absolute values of the deviations from the arithmetic mean.
x = the value of each observation
x̄ = arithmetic mean of the values
n = number of observations in the sample
| | = absolute value

Why absolute values in mean deviation
Without them, positive and negative deviations would cancel, resulting in a zero (useless) statistic.
Advantages of Mean Deviation
Uses all values, easy to understand.
Disadvantages of Mean Deviation
Use of absolute values makes it difficult to work with mathematically, less frequently used than standard deviation.
Variance
The arithmetic mean of the squared deviations from the mean.
population variance (parameter)
sample variance (statistic)
Standard Deviation
The square root of the variance. It is in the same units as the original data.
Population Standard Deviation (parameter)
Sample Standard Deviation (statistic)
Population Variance Formula
𝝈𝟐 = σ(𝑿 − 𝝁)𝟐 / 𝑵

Small variance means
populations whose values are near the mean
large variance means
population whose values are dispersed from the mean
Advantages of the variance
Uses all values, squaring deviations prevents cancellation (like absolute values but mathematically preferred). Always non-negative.
Disadvantages of the variance
Units are squared, making it difficult to interpret directly.
Sample Variance Formula
𝒔𝟐 = σ(𝑿 − ഥ𝑿)𝟐 / (𝒏 − 𝟏)

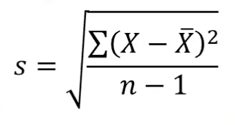
Sample standard deviation formula
𝒔 = √[σ(𝑿 − ഥ𝑿)𝟐 / (𝒏 − 𝟏)]
![<p><span>𝒔 = √[σ(𝑿 − ഥ𝑿)𝟐 / (𝒏 − 𝟏)]</span></p>](https://knowt-user-attachments.s3.amazonaws.com/f83ba689-98ec-46bc-81b3-6cdd39239773.png)
Interpretation and Uses of Standard Deviation
Commonly used to compare the spread in two or more sets of observations.
Ex: high standard deviation in index 500 funds means it’s makulit to show high risk and lower returns
low standard deviation means it’s safe and smaller, but less risky returns
Chebyshev's Theorem
determines the minimum proportion of the values that lie within a specified number of standard deviations of the mean
For any data set (any shape), the proportion of values within k standard deviations of the mean is at least 1 - (1/k²), where k is any constant greater than 1
Ex: 2 standard deviations away (plug it in to formula), means 75% of values lie 2 standard deviations away
Empirical Rule (Normal Rule)
For a symmetrical, bell-shaped distribution:
Approximately 68% of observations are within ±1 standard deviation of the mean.
Approximately 95% of observations are within ±2 standard deviations of the mean.
Practically all (99.7%) observations are within ±3 standard deviations of the mean.
Population Standard Deviation
𝝈 = √[σ(𝑿 − 𝝁)𝟐 / 𝑵]
![<p><span>𝝈 = √[σ(𝑿 − 𝝁)𝟐 / 𝑵]</span></p>](https://knowt-user-attachments.s3.amazonaws.com/58811041-61a8-45ff-9a24-7576c7849663.png)
why use n-1
the denominator provides the appropriate correction" because using 'n' "tends to underestimate the population variance.
why discuss caculation of statistical descriptions from grouped data?
published data are often available in the form of a frequency distribution (ungrouped data is hard to get sometimes)
Mean of Grouped Data
Population: 𝝁 = (∑𝑿𝐟)/N
Sample: x̄ = (∑𝑿𝐟)/n
∑𝑿𝐟 is the sum of the products obtained by multiplying each class mark by the corresponding class frequency

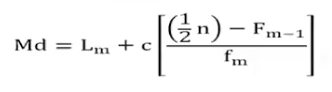
Median for Grouped Data
Md = median for grouped data
Lm = lower class boundary of the median class
c = class interval or class width
n = sample size
Fm-1 = cumulative of interval immediately preceding the median class
fm = frequency of the median class

Mode for Grouped Data
M₀ = mode for grouped data
l₁ = lower class limit of the modal class
Δ1 = difference between the frequency of the modal class and the frequency of the preceding class (ignore the sign and just take the absolute value).
Δ2 = difference between the frequency of the model class and the frequency of the succeeding class (ignore the sign and just take the absolute value).
c = class interval or class width

Grouped Data Population Variance Formula

Grouped Data Population Standard Deviation Formula

Grouped Data Sample Variance Formula

Grouped Data Sample Standard Deviation Formula

To get from “ungrouped” to “grouped”…
substitute ∑𝑿 by ∑𝑿𝐟 and ∑𝑿² by ∑𝑿²𝐟
Box Plot
chart that is a graphical display, based on quartiles, that helps us picture a set of data
Statistics needed for a box plot
minimum value
first quartile
median
third quartile
maximum value
Outlier
value that is inconsistent with the rest of the data, you need raw data
Outlier > Q₃ + 1.5(Q₃ - Q₁)
Outlier < Q₃ -1.5(Q₃ - Q₁)
skewness
lack of symmetry in a set of values
Symmetric
mean = median
data values evenly spread around these values
data values below mean and median are mirror image of those above

Positively Skewed
set of values is skewed to the right if there is a single peak and the values extend much further to the right of the peak than to the left
mean > median

Negatively skewed
there is a single peak, but the observation extend further to the left than to the right
mean < median

Bimodal
two or more peaks

Pearson’s Coefficient of Skewness
based on the difference between the mean and median
ranges from -3 to 3

value near -3 (Pearson)
considerable negative skewness
ex: -2.57
value near 3 (Pearson)
considerable positive skewness
value of 0 (Pearson)
mean = median
no skewness, symmetrical
Software Coefficient of Skewness
shows the difference between each value and the mean, divided by standard deviation
if difference is (+), the particular value is larger than the mean
if difference is (-), is it smaller than the mean
when cubed, it shows the information on the direction of the difference

Standardization
reports the difference between each value and the mean in units of the standard deviation
symmetric (Software Coefficient)
if standardized values are cubed and sum of lal the values would result to NEAR ZERO
positive skewness (Software Coefficient)
if there are several large values, clearly separate from the others, the sum of the cubed differences would be a LARGE POSITIVE VALUE
negative skewness (Software Coefficient)
several values much smaller will result in a NEGATIVE CUBED SUM
Unvariate Data
techniques to summarize the distribution of a single variable
Bivariate Data
two variables are measured for each individual or observation in the population or sample
used often by data analysts
Scatter Diagram
graphical technique to show the relationship between variables
variables in the x and y axis

Positively Related (Scatter Diagram)
points move from lower left to upper right
Negatively Related (Scatter Diagram)
from upper left to lower right
Contingency Table
table used to classify observations according to two identifiable characteristics
for studying the relationship between two variables when one or both are nominal or ordinal scale
