1/49
Looks like no tags are added yet.
Name | Mastery | Learn | Test | Matching | Spaced | Call with Kai |
|---|
No analytics yet
Send a link to your students to track their progress
What does the Hardy-Weinberg equilibrium predict?
HW predicts genotype frequencies in a population that is NOT evolving
When real population frequencies don’t match HW predictions, it indicates some evolutionary force is acting
When Hardy Weinberg is in place, do the allele frequencies constant or change?
They are constant
What are the assumptions of Hardy Weinberg?
Diploid organisms
Non-overlapping generations
Sexual reproduction
No evolution
What are the 5 Mechanisms of Evolution which are not acting in Hardy Weinberg?
No selection
No drift (infinite population size)
No mutation
No migration
Random Mating
4 Postulates of Natural Selection
Variation exists in a population
Variation is genetic (heritable)
Limited resources in population for differential reproduction
Who reproduces is not random
If 4 Postulates are not met, population will NOT evolve by natural selection but can evolve by a different mechanism
Give example of scenario which shows 4 postulates
Mice with different colored coats: light and dark
Population shows variation of different colored coats
Population shows genetic inheritance of offspring showing the light and dark coats
Differential reproduction as not everyone in population reproduces equally as light contribute more offspring to next generation than dark as they are able to blend in
Who reproduces is not random as certain phenotypes there is some who have a better chance of surviving
Example of a population evolving in real time through natural selection
Finches on Galapagos Island in increase in beak depth over generation
Postulate #1: Variation
Beak depth size ranges from 5-14 mm
Postulate #2: Variation is heritable
See if there is correlation between parents and offspring phenotype
Can measure heritability by plotting mid parent and mid offspring values to see relationship
Postulate #3: Differential Reproduction
Population crash due to drought year in 1977 —> shows not everybody survived and reproduced as a lot of finches were killed off
Postulate #4: Nonrandom reproduction
Look at population before drought (N=751) vs survivors after drought in 1978 (N=90)
Saw that survivors tended to have beaks were a bit bigger and beak depth averaged shifted between the 2 years
Can also plot survivorship as a function of bill depth to see bigger bills are more likely to survive
What does plot of mid parent and mid offspring values show heritability relationship?
If no relationship = heritability is 0
If some heritability, but a lot of variation = heritability between 0 and 0.99
If little variation and all heritability = heritability is 1
What can we do to see population has evolve for finches?
look at finches hatched in 1978 and observe them grown up to measure bill depth
If we see change in bill depth that means population has evolved as there is change in allele frequencies in a population overtime
Why did finches with deeper beaks survive?
Foraging and Food
Fewer seeds available during drought year and seeds that were available were large and hard
Birds with larger beak depth were able to eat the larger seeds for increased survival
Why is heritability important to natural selection?
If beak size was not heritable, offspring would have mix of big and small beaks for population to not evolve
If beak size is heritable, big beaked parents give rise to big beaked offspring in order to see shift in beak size change overtime
Narrow Sense Heritability
How much offspring resemble their parents
What evolutionary biologists care about when talking about how populations evolve
Only considers additive variability
Broad Sense Heritability
Takes into account of dominance (ex. epistasis -masking of genes) and additive variability
Includes ALL genetic variation.
Additive Variability
Variability due to additive effects of genes, result of lots of loci in genome that are making up the phenotype
Dominance variability
Variance due to interactions such as dominance
Why does only additive variation contributes to change?
Alleles stack together to produce continue range of phenotypes and selection event can select for alleles to see shift in mean population
Ex. Cross between 2 medium sized plants —> produce continuous range of heights in F2 population
If have selective event where only tall individuals survive and only tall individuals reproduce each other —> next generation will be taller
See shift in mean population
Why does overdominance not contribute to change?
Effects of alleles are dependent on each other, heterozygote has highest fitness so maintains both alleles
Ex. Tall extreme phenotype is heterozygote (Aa) and homozygote is short (AA or aa)
When selection event happens, you kill all short plants and leave only tall heterozygotes (Aa)
Breed heterozygotes together Aa x Aa to get 25% AA 50% Aa 25% aa for 50% short and 50% tall
Population did not change and still looks like original population
You cannot select recessive alleles if they hide in heterozygotes and evolution cannot use variation effectively
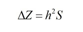
What is Fisher’s Breeder’s equation?
The response to selection (Δz) is influenced by the selection differential (S) on a trait and its heritability (h2)
h2 is heritability and measures how much a trait’s variation is due to genetics (ranges from 0 to 1)
S (selection differential) is difference between mean of survivors and mean of entire population
Δz is change in population from one generation to the next

Finch Beak Sample with Fisher’s Breeder Equation to calculate S, Δz, h2 ?
Original population mean beak depth = 9.5 mm
Survivor Finches mean = 6.5 mm
Mean of offspring of survivors = 8 mm
Selection differential (S) = 9.5 - 6.5 - 3.0 mm
Δz = 9.5 - 8 mm = 1.5 mm
h2 = 1.5/3 = 0.5
If the mean of offspring and mean of average population is the same, what would be heritability?
Heritability would be 0 and population would not evolve
Directional Selection
Individuals with extreme trait favored
Mean of population changes
Phenotypic variance decreases
Seen in variable environments
Stabilizing Selection
Individuals with mean trait favored
Mean does not change
Variance decreases
Seen in stable environments
Ex. Eurosta flies make galls which are attacked by wasps and birds, if too small attacked by wasps and too big are attacked by birds —> so flies make average sized gall to survive better
Disruptive Selection
Individuals with either extreme trait favored
Mean does not change
Variance is maintained
Can cause speciation
Ex. If small and large seeds are only available, large and small beak depth sizes will survive best
These all show stabilizing selection, which shows the strongest example of stabilizing selection?
A: shows survival rate drops very fast once get away from the mean for intense selection
Frequency Dependent Selection
Which trait is favored depends on frequency of trait in a population
Positive frequency dependent selection: as certain trait gets more common, it becomes more favorable
Mean changes and shifts toward whichever phenotype becomes common
Variance decreases
Negative frequency dependent selection: as certain trait gets more rare, it becomes more favorable
Mean does not change
Variance maintained, does not change
Negative Frequency Dependent Selection
Maintains phenotypic/genetic diversity
Variance is maintained as population never reaches a stable state where one phenotype is optimal over another
A type of balancing selection
Ex: Scale eater example where fish develop hard scales on side that is getting eaten, but cichlids will adapt to which side is developing harder scales for back and forth phenotype
How can we quantify selection?
S = selection differential
Selection Gradients (β)
What is selection gradient (β)?
β is way to measure the strength of selection based on quantitative phenotype
Measures how much your fitness changes when your phenotype changes
Second form of Breeder’s equation: △z=Gβ
Absolute fitness
# offspring an individual produces (ranges from 0 to infinity)
Relative fitness
# offspring standardized to max # produced in population (ranges from 0 to 1)
Inclusive fitness
takes into account your genes in other people’s bodies
Relative Fitness
B1B1=1
B1B2=0.75
B2B2=0.5
What do these values mean?
B₁B₁ = 1.0 → this genotype produces the most offspring (or all survive).
It’s the reference point — 100% survival/reproduction.
B₁B₂ = 0.75 → these individuals produce 75% as many offspring as B₁B₁.
(They have slightly lower fitness — maybe they survive less often or reproduce less.)
B₂B₂ = 0.5 → these individuals produce 50% as many offspring as B₁B₁.
(They’re less fit — half as successful at passing on genes.)
Selection coefficients
s = measure of the strength of selection on an allele (ranges from -1 to 1)
Positive # = beneficial
Negative $ = deleterious
Fraction that fitness is changed compared to a reference for each allele copy
How alleles change in frequency over time?
△p=spq
s = measure of strength of selection of an allele
p = frequency of allele 1
q= frequency of allele 2
Assuming heterozygotes have intermediate fitness (individuals with intermediate (middle) trait values have higher survival or reproduction)
When is allele change in frequency (△p) the fastest?
When s is big
When variation is maximized (when P and Q are both frequent)
Maximized when P and Q is 0.5
How will the frequency of A1 change, given the following genotype fitness?
A1A1=1, A1A2=0.99, A2A2=0.98
A1A1=0.98, A1A2=0.99, A2A2=1
A1A1=1, A1A2=0.75, A2A2=0.5
How will the frequency of A1 change, given the following genotype fitness?
A1A1=1, A1A2=0.99, A2A2=0.98
A1 will increase at slowish rate since s is small (not big difference between A1A1 and A1A2
Hit maximum when P and Q are 0.5 and then level off
A1A1=0.98, A1A2=0.99, A2A2=1
A1 will decrease and level off
A1A1=1, A1A2=0.75, A2A2=0.5
Linear
A1A1 is really beneficial compared to A2A2 so slope will increase
Ultimate fate of an allele in a population if selection is only thing acting in a population
Allele that is beneficial will go to fixation (frequency = 1), which means will rise until everyone in population will have it
Allele that is deleterious will go to loss (frequency = 0)
Change in allele frequencies is maximized so slope is biggest when allele frequencies are 0.5
Why does strength of selection matters?
High selection coefficient (s) = frequency of alleles is going to change very fast
Low selection coefficient (s) = frequency of alleles change very slowly
Codominant inheritance
Heterozygotes expresses both alleles
Ex: Relative fitness AA=1, AB=0.75, BB=0.5
Intermediate fitness level
Dominant Inheritance
Dominant allele is favored
Heterozygote takes on phenotype of one of the homozygotes
Ex. Relative fitness AA=1 Aa=1 aa=0.5
A = beneficial and dominant
Observe steep increase in frequency of dominant allele and level off
Takes a long time to go to fixation because deleterious allele preserved in heterozygotes
Recessive Inheritance
Recessive allele favored
Ex. Relative fitness AA=0.4 Aa =0.4 aa=1
a is recessive and beneficial
Takes long time to kickstart because beneficial allele get hidden in heterozygotes
In what order will allele go to fixation the quickest to slowest?
Codominance, Dominant allele favored, Recessive allele favored
Codominant: selection can act on heterozygotes so allele is visible to selection at all frequencies
Dominant: strong initially, slows near fixation as they are fewer recessive alleles to select against
Recessive: slow at first, faster later, heterozygotes are masked so harder for selection to see allele, once recessive becomes more common then selection can act efficiently
Heterozygote advantage
Heterozygote favored (overdominance)
Type of balancing selection
Both alleles maintained in population —> maintain diversity
Alleles reach equilibrium frequency which depends on fitness of homozygotes
Ex: Relative fitness VV=0.735, VL=1, and LL=0
Since VV is higher than LL fitness, equilibrium frequency shifted to be higher around 0.8
If both were equal, equilibrium frequency would be at 0.5
Heterozygote Disadvantage
Homozygote favored (underdominance)
Which allele goes to fixation depends on starting frequency AND strength of selection
Ex: Relative fitness: C2C2=0.25, C2N2=0, N2N2=1
Threshold starting frequency which depends on difference between 2 homozygotes
N2 is more fit than C2 so for C2 to go to fixation it has to start at high frequency, if start at low then will be lost
Adaptive Landscape
how fitness changes based on frequency of alleles in population
Codominance adaptive landscape
If allele beneficial, shows straight line and positive slope as when allele goes to fixation, population has highest fitness
If allele is deleterious, shows straight line and negative slope as when allele is loss, population has highest fitness
Overdominance adaptive landscape
Cannot get rid of deleterious alleles and going to be maintained in population
Hump shaped
If start at low frequency and once reach peak (equilibrium frequency) will not change
If start at high frequency, will decrease until reach equilibrium point
Can never reach its theoretical maximal fitness
Underdominance Adaptive Landscape
U shaped
If allele starts as common, increase in frequency until it goes to fixation
If allele starts as rare, decrease in frequency until it is lost
For selection what matters to effecting allele frequency?
Strength of selection for rate of change
Mode of inheritance
Starting Frequency
Heterozygote fitness
Natural selection generally decreases variation, except for
types of balancing selection which can maintain diversity
Negative dependent frequency selection
Overdominance (heterozygote favored/advantage)