1/20
Looks like no tags are added yet.
Name | Mastery | Learn | Test | Matching | Spaced |
|---|
No study sessions yet.
What happens when a string is disturbed?
Standing waves are set up in the string
Name 2 examples of Stringed Instruments
Violins
Guitars
What happens when the air inside a pipe is disturbed?
Standing waves are set up in the pipe
Name 2 examples of Wind Instruments
Harmonica
Tin Whistle
What happens when a tuning fork is held to the mouth of a pipe?
Standing waves are set up in the pipe
What effect do longer pipes have on notes?
The longer the pipe the lower frequency of the note

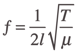
Label This Formula
Fundamental Frequency of Strings
f - fundamental frequency
l - length
T - tension
u - mass per unit length
What page of the log tables can you find the Fundamental Frequency formula?
59

Define This Frequency
Fundamental Frequency
l = lambda / 2

Define This Frequency
2nd Harmonics
l = lambda

Define This Frequency
3rd harmonic
l = 3 lambda / 2

Define these frequencies
Closed Pipes
a - funadmental frequency
b - 3rd harmonic
c - 5th harmonic
Define the length of the fundamental frequency in a closed pipe
lambda / 4
Define the length of the 3rd harmonic in an closed pipe
3lambda/4
Define the length of the 5th harmonic in an closed pipe
5 lambda/4
Name an example of a closed pipe instrument
Clarinet

Define these frequencies
Open Pipes
a - fundamental frequency
b - 2nd harmonic
c - 3rd harmonic
Define the length of the fundamental frequency in an open pipe
lambda / 2
Define the length of the 2nd harmonic in an open pipe
lambda
Define the length of the 3rd harmonic in an open pipe
3 lambda/2
Name an example of an open pipe instrument
Tin Whistle